Suppr超能文献

孟加拉国已婚妇女剖宫产的相关因素及其个体贡献:对孟加拉国人口与健康调查数据的分析。

Associated factors and their individual contributions to caesarean delivery among married women in Bangladesh: analysis of Bangladesh demographic and health survey data.

机构信息

Health Research Group, Department of Statistics, University of Rajshahi, Rajshahi, 6205, Bangladesh.

出版信息

BMC Pregnancy Childbirth. 2019 Nov 21;19(1):433. doi: 10.1186/s12884-019-2588-9.

Abstract

BACKGROUND

Caesarean section (CS) delivery has a significant effect on maternal and neonatal health especially in a developing country like Bangladesh. The aim of the study was to determine the risk factors and their individual contribution to CS delivery among Bangladeshi married women in reproductive age.

METHODS

The cross sectional secondary data was used in this study. Data was extracted from Bangladesh Demographic and Health Survey (BDHS), 2014 dataset. BDHS-2014 collected data from all over Bangladesh. Stepwise logistic regression analysis and population attributable fractions (PAF) were utilized in this study.

RESULTS

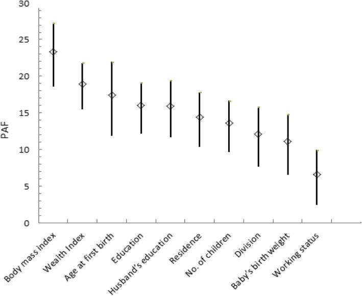
A total number of 4422 married Bangladeshi women having at least one child (age ≤ 5 years) were considered in this study. The prevalence of CS delivery among Bangladeshi women was 23.94%. The stepwise logistic regression model showed that location (division), type of residence, education of respondent and her husband, working status, age at first birth, number of children, wealth index and baby's birth weight were most important predictors of CS delivery among Bangladeshi mothers. PAF demonstrated that overweight or obese women had highest contribution (23.36%) among the risk factors of CS delivery, followed by age at first birth (age >  20 years) (18.97%), highest wealth quintile (17.39%), higher education (15.93%), living in urban environment (14.39%), having lower number of ever born children (1-2 children) (13.58%), living in Dhaka division (12.11%), delivering large size of child at birth (11.13%) and housewife (6.55%).

CONCLUSIONS

In the present study, we have identified the important risk factors and their individual contribution to CS delivery in Bangladesh. Consequently, these factors can be considered for reducing the rate of CS delivery in Bangladesh.

摘要

背景

剖宫产分娩对母婴健康有重大影响,尤其是在像孟加拉国这样的发展中国家。本研究旨在确定孟加拉已婚育龄妇女剖宫产分娩的风险因素及其对剖宫产分娩的单独贡献。

方法

本研究使用了横断面二次数据。数据取自 2014 年孟加拉国人口与健康调查(BDHS)数据集。BDHS-2014 从孟加拉国各地收集数据。本研究采用逐步逻辑回归分析和人群归因分数(PAF)。

结果

本研究共纳入 4422 名至少育有一名(年龄≤5 岁)孩子的已婚孟加拉国妇女。孟加拉国妇女剖宫产分娩的患病率为 23.94%。逐步逻辑回归模型显示,地点(分区)、居住类型、受访者及其丈夫的教育程度、工作状况、初产年龄、子女数量、财富指数和婴儿出生体重是孟加拉国母亲剖宫产分娩的最重要预测因素。PAF 表明,超重或肥胖妇女在剖宫产分娩的风险因素中贡献最高(23.36%),其次是初产年龄(>20 岁)(18.97%)、最高财富五分位数(17.39%)、较高教育程度(15.93%)、居住在城市环境(14.39%)、生育子女数量较少(1-2 个孩子)(13.58%)、居住在达卡分区(12.11%)、分娩的孩子出生时较大(11.13%)和家庭主妇(6.55%)。

结论

在本研究中,我们确定了剖宫产分娩的重要风险因素及其对孟加拉国剖宫产分娩的单独贡献。因此,可以考虑这些因素来降低孟加拉国的剖宫产分娩率。

https://cdn.ncbi.nlm.nih.gov/pmc/blobs/dd56/6873680/c350f1bbcd17/12884_2019_2588_Fig1_HTML.jpg

文献检索

告别复杂PubMed语法,用中文像聊天一样搜索,搜遍4000万医学文献。AI智能推荐,让科研检索更轻松。

立即免费搜索

文件翻译

保留排版,准确专业,支持PDF/Word/PPT等文件格式,支持 12+语言互译。

免费翻译文档

深度研究

AI帮你快速写综述,25分钟生成高质量综述,智能提取关键信息,辅助科研写作。

立即免费体验