Central Laboratory, Affiliated Haikou Hospital of Xiangya Medical College, Central South University, Haikou 570208, China.
Biosci Rep. 2019 Dec 20;39(12). doi: 10.1042/BSR20192892.
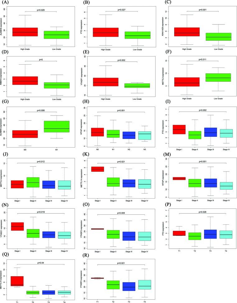
N6-methyladenosine (m6A) is the most common form of messenger RNA (mRNA) modification. An increasing number of studies have proven that m6A RNA methylation regulators are overexpressed in many cancers and participate in the development of cancer through the dynamic regulation of m6A RNA methylation regulators. However, the prognostic role of m6A RNA methylation regulators in bladder cancer (BC) is poorly understood. In the present study, we downloaded the mRNA expression data from The Cancer Genome Atlas (TCGA) database and the corresponding clinical and prognostic information. The relationship between m6A RNA methylation regulators and clinicopathological variables of BC patients was assessed by the Kolmogorov-Smirnov test. The expression of the m6A RNA methylation regulators was differentially associated with different clinicopathological variables of BC patients. The least absolute shrinkage and selection operator (LASSO) Cox regression model was then applied to identify three m6A RNA methylation regulators. The risk signature was constructed as follows: 0.164FTO - (0.081YTHDC1+0.032WTAP). Based on the risk signature, the risk score of each patient was calculated, and the patients were divided into a high-risk group and a low-risk group. The overall survival (OS) rate of the high-risk group was significantly lower than that of the low-risk group. The risk signature was not only an independent prognostic marker for BC patients but also a predictor of clinicopathological variables. In conclusion, m6A RNA methylation regulators can participate in the malignant progression of BC, and a risk signature with three selected m6A RNA methylation regulators may be a promising prognostic biomarker to guide personalized treatment for BC patients.
N6-甲基腺苷(m6A)是信使 RNA(mRNA)修饰中最常见的形式。越来越多的研究证明,m6A RNA 甲基化调节剂在许多癌症中过表达,并通过动态调节 m6A RNA 甲基化调节剂参与癌症的发展。然而,m6A RNA 甲基化调节剂在膀胱癌(BC)中的预后作用尚不清楚。在本研究中,我们从癌症基因组图谱(TCGA)数据库中下载了 mRNA 表达数据以及相应的临床和预后信息。通过 Kolmogorov-Smirnov 检验评估 m6A RNA 甲基化调节剂与 BC 患者临床病理变量之间的关系。m6A RNA 甲基化调节剂的表达与 BC 患者不同临床病理变量差异相关。然后应用最小绝对收缩和选择算子(LASSO)Cox 回归模型来识别三个 m6A RNA 甲基化调节剂。风险特征如下构建:0.164FTO-(0.081YTHDC1+0.032WTAP)。基于风险特征,计算每位患者的风险评分,并将患者分为高风险组和低风险组。高风险组的总生存率(OS)明显低于低风险组。风险特征不仅是 BC 患者的独立预后标志物,也是临床病理变量的预测因子。总之,m6A RNA 甲基化调节剂可以参与 BC 的恶性进展,具有三个选定的 m6A RNA 甲基化调节剂的风险特征可能是指导 BC 患者个体化治疗的有前途的预后生物标志物。