Suppr超能文献

表面纹理分析中的逆向问题——基于加工或磨损后测量的双过程轮廓的单过程轮廓建模。

Reverse Problem in Surface Texture Analysis-One-Process Profile Modeling on the Basis of Measured Two-Process Profile after Machining or Wear.

作者信息

Pawlus Pawel, Reizer Rafal, Wieczorowski Michal

机构信息

Faculty of Mechanical Engineering and Aeronautics, Rzeszow University of Technology, Powstancow Warszawy 8 Street, 35-959 Rzeszow, Poland.

College of Natural Sciences, University of Rzeszow, Pigonia Street 1, 35-310 Rzeszow, Poland.

出版信息

Materials (Basel). 2019 Dec 12;12(24):4169. doi: 10.3390/ma12244169.

Abstract

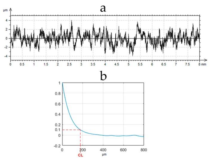
The method of the base (valley) one-process profile modeling on the basis of the measured two-process profile was developed. The base one-process random profile of the Gaussian ordinate distribution is characterized by the standard deviation of the profile height and the correlation length. The problem of estimation of the correlation length of this one-process profile exists. In the procedure of the correlation length estimation, information about the averaged shape of the autocorrelation functions of many one-process profiles after the same type of machining is required. The correlation length of the base one-process profile can be obtained on the basis of the vertical truncation of the measured two-process profile. The average error of the correlation length estimation was not higher than 7%, while the maximum error was not larger than 14%. This method can be extended to simulate the one-process texture of 3D (areal) surface topography.

摘要

基于测量得到的双过程轮廓,开发了基(谷)单过程轮廓建模方法。高斯纵坐标分布的基单过程随机轮廓由轮廓高度的标准差和相关长度表征。存在估计该单过程轮廓相关长度的问题。在相关长度估计过程中,需要关于同一类型加工后多个单过程轮廓的自相关函数平均形状的信息。基单过程轮廓的相关长度可通过对测量的双过程轮廓进行垂直截断得到。相关长度估计的平均误差不高于7%,而最大误差不大于14%。该方法可扩展用于模拟三维(面状)表面形貌的单过程纹理。

https://cdn.ncbi.nlm.nih.gov/pmc/blobs/3467/6947491/26e067cc4c62/materials-12-04169-g001.jpg

文献AI研究员

20分钟写一篇综述,助力文献阅读效率提升50倍。

立即体验

用中文搜PubMed

大模型驱动的PubMed中文搜索引擎

马上搜索

文档翻译

学术文献翻译模型,支持多种主流文档格式。

立即体验