Suppr超能文献

血清维生素D水平与哮喘之间的关系。

The relationship between serum vitamin D level and asthma.

作者信息

Ozkars Mehmet Yasar, Keskin Ozlem, Almacioglu Mehmet, Kucukosmanoglu Ercan, Keskin Mehmet, Balci Onur

机构信息

Department of Pediatric Immunulogy and Allergy, Gaziantep University Faculty of Medicine, Gaziantep, Turkey.

Department of Pediatrics, Gaziantep University Faculty of Medicine, Gaziantep, Turkey.

出版信息

North Clin Istanb. 2019 Jul 4;6(4):334-340. doi: 10.14744/nci.2019.82195. eCollection 2019.

Abstract

OBJECTIVE

Several studies have established a relationship between low serum vitamin D levels and the onset of asthma in childhood. In this study, we aim to assess the relationship between vitamin D and asthma.

METHODS

This study included 29 mild and 30 moderate persistent asthma and 38 healthy control group. Evaluation of the three groups was carried out in respect of serum vitamin D levels, Respiratory Function Test (RFT), and Exercise Provocation Test (EPT). The two asthma groups were also examined using the Asthma Control Test (ACT) and Nitric Oxide in Exhaled Breath (FeNO) level.

RESULTS

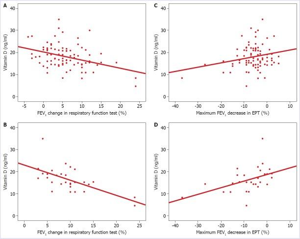
The vitamin D levels of the mild and the moderate persistent asthma groups were determined to be lower than the vitamin D levels of the control group (p=0.007). A significant negative correlation was determined in all cases between the vitamin D levels and the broncho-reversibility percentage (p=0.0002). The negative correlation between the vitamin D levels and the broncho-reversibility percentage was more evident in the moderate persistent asthma group (p=0.0001). In the moderate persistent asthma group, a significant positive correlation was determined between the lowness of the maximum forced expiratory volume in EPT and a low vitamin D level (p=0.009). The ACT scores were lower, and the FeNO levels were higher in the moderate asthma group compared to the mild asthma group (p=0.0001).

CONCLUSION

The findings showed that low serum vitamin D levels were observed more often in children with asthma, and there was a correlation with increased broncho-reversibility in the RFT and increased bronchial hyper-reactivity in the EPT.

摘要

目的

多项研究已证实儿童血清维生素D水平低与哮喘发病之间存在关联。在本研究中,我们旨在评估维生素D与哮喘之间的关系。

方法

本研究纳入了29例轻度和30例中度持续性哮喘患儿以及38例健康对照组。对三组进行血清维生素D水平、呼吸功能测试(RFT)和运动激发试验(EPT)评估。对两个哮喘组还使用哮喘控制测试(ACT)和呼出气一氧化氮(FeNO)水平进行检查。

结果

轻度和中度持续性哮喘组的维生素D水平低于对照组(p = 0.007)。在所有病例中,维生素D水平与支气管可逆性百分比之间存在显著负相关(p = 0.0002)。维生素D水平与支气管可逆性百分比之间的负相关在中度持续性哮喘组中更为明显(p = 0.0001)。在中度持续性哮喘组中,EPT中最大用力呼气量降低与维生素D水平低之间存在显著正相关(p = 0.009)。与轻度哮喘组相比,中度哮喘组的ACT评分较低,FeNO水平较高(p = 0.0001)。

结论

研究结果表明,哮喘患儿中血清维生素D水平低的情况更为常见,且与RFT中支气管可逆性增加和EPT中支气管高反应性增加相关。

https://cdn.ncbi.nlm.nih.gov/pmc/blobs/2e16/6936938/3eed7540ffbf/NCI-6-334-g001.jpg

文献AI研究员

20分钟写一篇综述,助力文献阅读效率提升50倍。

立即体验

用中文搜PubMed

大模型驱动的PubMed中文搜索引擎

马上搜索

文档翻译

学术文献翻译模型,支持多种主流文档格式。

立即体验