Suppr超能文献

提高啤酒中蛇麻草衍生苦味酸对认知功能的改善作用:迷走神经刺激的新策略。

Improving Effects of Hop-Derived Bitter Acids in Beer on Cognitive Functions: A New Strategy for Vagus Nerve Stimulation.

机构信息

Research Laboratories for Health Science & Food Technologies, Kirin Company Ltd., 1-13-5 Fukuura Kanazawa-ku, Yokohama-shi, Kanagawa 236-0004, Japan.

出版信息

Biomolecules. 2020 Jan 13;10(1):131. doi: 10.3390/biom10010131.

Abstract

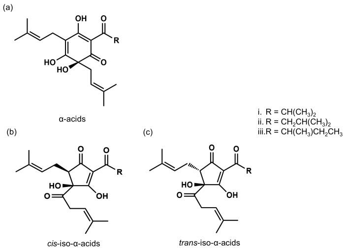
Dementia and cognitive decline are global public health problems. Moderate consumption of alcoholic beverages reduces the risk of dementia and cognitive decline. For instance, resveratrol, a polyphenolic compound found in red wine, has been well studied and reported to prevent dementia and cognitive decline. However, the effects of specific beer constituents on cognitive function have not been investigated in as much detail. In the present review, we discuss the latest reports on the effects and underlying mechanisms of hop-derived bitter acids found in beer. Iso-α-acids (IAAs), the main bitter components of beer, enhance hippocampus-dependent memory and prefrontal cortex-associated cognitive function via dopamine neurotransmission activation. Matured hop bitter acids (MHBAs), oxidized components with β-carbonyl moieties derived from aged hops, also enhance memory functions via norepinephrine neurotransmission-mediated mechanisms. Furthermore, the effects of both IAAs and MHBAs are attenuated by vagotomy, suggesting that these bitter acids enhance cognitive function via vagus nerve stimulation. Moreover, supplementation with IAAs attenuates neuroinflammation and cognitive impairments in various rodent models of neurodegeneration including Alzheimer's disease. Daily supplementation with hop-derived bitter acids (e.g., 35 mg/day of MHBAs) may be a safe and effective strategy to stimulate the vagus nerve and thus enhance cognitive function.

摘要

痴呆和认知能力下降是全球公共卫生问题。适量饮酒可降低痴呆和认知能力下降的风险。例如,白藜芦醇是一种存在于红酒中的多酚化合物,已被广泛研究并报道可预防痴呆和认知能力下降。然而,啤酒中特定啤酒成分对认知功能的影响尚未得到详细研究。在本综述中,我们讨论了啤酒中发现的源自啤酒花的苦味酸的最新报告,探讨了其作用和潜在机制。异-α-酸(IAAs)是啤酒的主要苦味成分,通过多巴胺神经递质的激活,增强海马依赖性记忆和前额叶皮质相关的认知功能。成熟的啤酒花苦味酸(MHBAs)是由陈化啤酒花衍生的β-羰基的氧化成分,也通过去甲肾上腺素神经递质介导的机制增强记忆功能。此外,IAAs 和 MHBAs 的作用都被迷走神经切断术减弱,这表明这些苦味酸通过刺激迷走神经来增强认知功能。此外,IAAs 的补充可减轻各种神经退行性疾病(包括阿尔茨海默病)的啮齿动物模型中的神经炎症和认知障碍。每日补充源自啤酒花的苦味酸(例如,每天 35 毫克的 MHBAs)可能是一种安全有效的刺激迷走神经的策略,从而增强认知功能。

https://cdn.ncbi.nlm.nih.gov/pmc/blobs/63ac/7022854/2af9490f38e1/biomolecules-10-00131-g001.jpg

文献AI研究员

20分钟写一篇综述,助力文献阅读效率提升50倍。

立即体验

用中文搜PubMed

大模型驱动的PubMed中文搜索引擎

马上搜索

文档翻译

学术文献翻译模型,支持多种主流文档格式。

立即体验