Suppr超能文献

膳食补充沙棘籽油对Wistar大鼠高血压性视网膜病变实验模型的影响。

Effects of Dietary Supplementation with Sea Buckthorn (Hippophae rhamnoides L.) Seed Oil on an Experimental Model of Hypertensive Retinopathy in Wistar Rats.

作者信息

Bouras Konstantinos, Kopsidas Konstantinos, Bariotakis Michael, Kitsiou Paraskevi, Kapodistria Katerina, Agrogiannis Giorgos, Vergados Ioannis, Theodossiadis Panagiotis, Perrea Despoina

机构信息

Laboratory for Experimental Surgery and Surgical Research, Athens University Medical School, Athens, Greece.

Department of Biology, University of Crete, Heraklion, Greece.

出版信息

Biomed Hub. 2017 Mar 1;2(1):1-12. doi: 10.1159/000456704. eCollection 2017 Jan-Apr.

Abstract

BACKGROUND/AIMS: Sea buckthorn ( L.) oil is a rich source of phytosterols, flavonoids, unsaturated fatty acids, and carotenoids, known for their antioxidant and neuroprotective activity. In this study, we investigated the neuroprotective and antioxidant effect of sea buckthorn oil on rat retina in hypertensive retinopathy.

METHODS

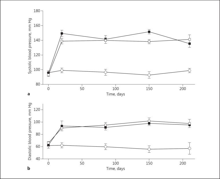
Twenty-eight male 6-month-old Wistar rats were separated into 3 groups: (1) controls, (2) unilateral nephrectomized rats receiving drinking water with 1% NaCl, (3) unilateral nephrectomized rats receiving 0.5 mL sea buckthorn oil and drinking water with 1% NaCl. Systemic pressures were being measured with the tail-cuff method. The antiapoptotic effect of sea buckthorn was determined by measuring glial fibrillary acidic protein (GFAP), cleaved caspase-3, and glutamine synthetase levels with immunohistochemistry and Western blot.

RESULTS

Nephrectomy and salt intake caused increases in both systolic and diastolic pressures. Both types of analysis showed that group 2 had statistically significant increases in the expression of GFAP and cleaved caspase-3, while group 3 showed no significant differences compared with the control group. The expression of glutamine synthetase showed no significant differences between the 3 groups.

CONCLUSIONS

Our findings suggest that sea buckthorn could notably protect the retina from damage induced by hypertensive retinopathy.

摘要

背景/目的:沙棘油富含植物甾醇、黄酮类化合物、不饱和脂肪酸和类胡萝卜素,以其抗氧化和神经保护活性而闻名。在本研究中,我们研究了沙棘油对高血压视网膜病变大鼠视网膜的神经保护和抗氧化作用。

方法

将28只6月龄雄性Wistar大鼠分为3组:(1)对照组;(2)单侧肾切除并饮用含1%氯化钠饮用水的大鼠;(3)单侧肾切除并饮用含1%氯化钠饮用水同时接受0.5 mL沙棘油的大鼠。采用尾袖法测量全身血压。通过免疫组织化学和蛋白质印迹法检测胶质纤维酸性蛋白(GFAP)、裂解的半胱天冬酶-3和谷氨酰胺合成酶水平,以确定沙棘的抗凋亡作用。

结果

肾切除和盐摄入导致收缩压和舒张压升高。两种分析均显示,第2组GFAP和裂解的半胱天冬酶-3的表达在统计学上显著增加,而第3组与对照组相比无显著差异。3组之间谷氨酰胺合成酶的表达无显著差异。

结论

我们的研究结果表明,沙棘可以显著保护视网膜免受高血压视网膜病变引起的损伤。

https://cdn.ncbi.nlm.nih.gov/pmc/blobs/5b52/6945930/edc4e166fe32/bmh-0002-0001-g01.jpg

文献AI研究员

20分钟写一篇综述,助力文献阅读效率提升50倍。

立即体验

用中文搜PubMed

大模型驱动的PubMed中文搜索引擎

马上搜索

文档翻译

学术文献翻译模型,支持多种主流文档格式。

立即体验