Suppr超能文献

在7T磁场下使用长TE半激光序列在视觉刺激期间测量脑乳酸。

Measurement of brain lactate during visual stimulation using a long TE semi-LASER sequence at 7 T.

作者信息

Fernandes Carolina C, Lanz Bernard, Chen Chen, Morris Peter G

机构信息

Sir Peter Mansfield Imaging Centre, University of Nottingham, Nottingham, NG7 2RD, Nottinghamshire, United Kingdom.

出版信息

NMR Biomed. 2020 Apr;33(4):e4223. doi: 10.1002/nbm.4223. Epub 2020 Jan 29.

Abstract

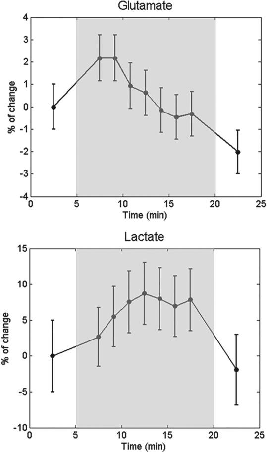
Estimation of metabolic changes during neuronal activation represents a challenge for in vivo MRS, especially for metabolites with low concentration and signal overlap, such as lactate. In this work, we aimed to evaluate the feasibility of detecting lactate during brain activation using a long (144 ms) semi-LASER sequence at 7 T. spectra were acquired on healthy volunteers ( ) during a paradigm with 15 min of visual stimulation. Outer-volume signals were further attenuated by the use of saturation slabs, and macromolecular signals in the vicinity of the inverted lactate peak were individually fitted with simulated Lorentzian peaks. All spectra were free of artefacts and highly reproducible across subjects. Lactate was accurately quantified with an average Cramér-Rao lower bound of 8%. Statistically significant ( , one-tailed -test) increases in lactate ( 10%) and glutamate ( 3%) levels during stimulation were detected in the visual cortex. Lactate and glutamate changes were consistent with previous measurements. We demonstrated that quantification of a clear and non-contaminated lactate peak obtained with a long TE sequence has the potential of improving the accuracy of functional MRS studies targeting non-oxidative reaction pathways.

摘要

估计神经元激活过程中的代谢变化对活体磁共振波谱(MRS)来说是一项挑战,尤其是对于低浓度且信号重叠的代谢物,如乳酸。在这项研究中,我们旨在评估使用7T场强下的长(144毫秒)半激光序列在脑激活期间检测乳酸的可行性。在15分钟视觉刺激范式期间,对健康志愿者采集光谱。通过使用饱和带进一步减弱外周容积信号,并且对倒置乳酸峰附近的大分子信号分别用模拟的洛伦兹峰进行拟合。所有光谱均无伪影且在各受试者之间具有高度可重复性。乳酸被准确量化,平均克莱姆 - 拉奥下限为8%。在视觉皮层中检测到刺激期间乳酸(增加10%)和谷氨酸(增加3%)水平有统计学显著(P<0.05,单尾t检验)升高。乳酸和谷氨酸的变化与先前测量结果一致。我们证明,用长回波时间序列获得清晰且未受污染的乳酸峰进行定量,有可能提高针对非氧化反应途径的功能磁共振波谱研究的准确性。

https://cdn.ncbi.nlm.nih.gov/pmc/blobs/370c/7079106/fcda18c13a58/NBM-33-e4223-g001.jpg

文献检索

告别复杂PubMed语法,用中文像聊天一样搜索,搜遍4000万医学文献。AI智能推荐,让科研检索更轻松。

立即免费搜索

文件翻译

保留排版,准确专业,支持PDF/Word/PPT等文件格式,支持 12+语言互译。

免费翻译文档

深度研究

AI帮你快速写综述,25分钟生成高质量综述,智能提取关键信息,辅助科研写作。

立即免费体验