Suppr超能文献

保护揭示了鱼类种群中的密度依赖动态:以地中海中部为例。

Protection reveals density-dependent dynamics in fish populations: A case study in the central Mediterranean.

机构信息

Dipartimento di Elettronica, Informazione e Bioingegneria, Politecnico di Milano, Milano, Italy.

Dipartimento Ecologia Marina Integrata, Sede Interdipartimentale della Sicilia, Stazione Zoologica Anton Dohrn, Lungomare Cristoforo Colombo (complesso Roosevelt), Palermo, Italy.

出版信息

PLoS One. 2020 Feb 3;15(2):e0228604. doi: 10.1371/journal.pone.0228604. eCollection 2020.

Abstract

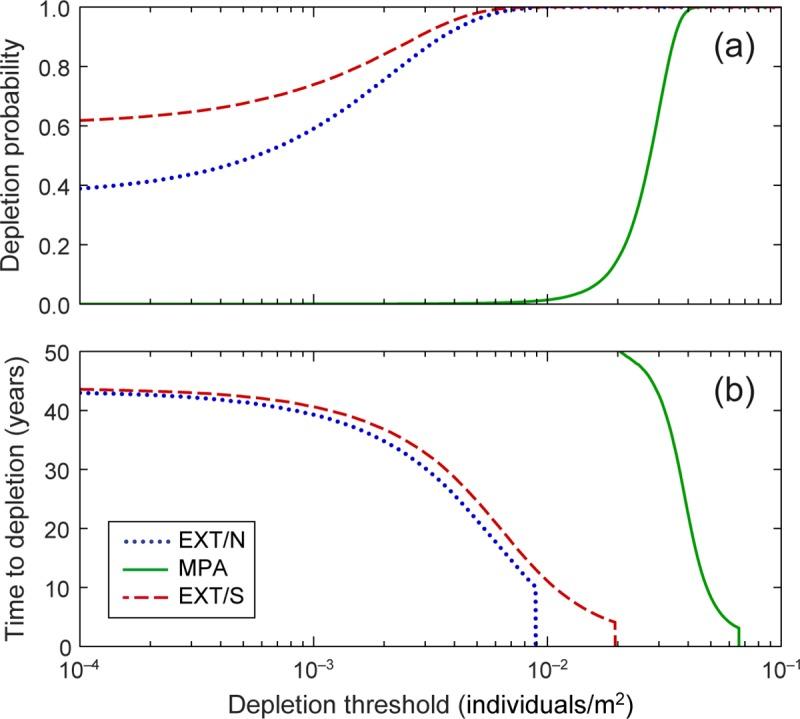
Casting light on how the interaction between protection and density dependence affects fish population dynamics is critical for understanding the effectiveness of marine protected areas (MPAs). We developed a framework based on nonparametric statistics, model selection and multi-model inference to contrast alternative hypotheses about the effect of density dependence on demographic dynamics under protected and unprotected conditions. We trialed it using a 12-year long time series of white seabream (Diplodus sargus sargus) population density within the no-take zone of Torre Guaceto MPA (Italy) and at two nearby unprotected locations. Then, we showed how the demographic models obtained can be used to assess the consequences of protection on population viability. Population dynamics were significantly influenced by fish density within the MPA and at one of the unprotected locations, where demography is possibly driven by directional recruitment subsidy from the MPA. The comparison of population growth rates within and outside the MPA suggests that in unprotected conditions the fishery may remove a fraction between 40 and 70% of the population each year. The population viability analysis pointed out that, while the probability that the population becomes depleted (i.e. undergoes a local, temporary quasi-extinction) is high in unprotected locations, it is negligible within the no-take zone of the MPA.

摘要

揭示保护与密度制约相互作用如何影响鱼类种群动态,对于理解海洋保护区 (MPA) 的有效性至关重要。我们基于非参数统计、模型选择和多模型推断,开发了一个框架,以对比在受保护和不受保护条件下,密度制约对人口动态影响的替代假设。我们在意大利 Torre Guaceto MPA 的禁渔区和两个附近的未受保护地点,使用了为期 12 年的白鲷 (Diplodus sargus sargus) 种群密度的时间序列进行了试验。然后,我们展示了如何使用人口统计学模型来评估保护对种群生存力的影响。人口动态受到 MPA 内和一个未受保护地点的鱼类密度的显著影响,在该地点,人口统计学可能受到来自 MPA 的定向补充的影响。在 MPA 内外的种群增长率的比较表明,在未受保护的条件下,每年渔业可能会捕捞种群的 40%至 70%。种群生存力分析指出,在未受保护的地点,种群枯竭(即发生局部、暂时的准灭绝)的可能性很高,而在 MPA 的禁渔区则可以忽略不计。

https://cdn.ncbi.nlm.nih.gov/pmc/blobs/12f2/6996820/abd35a5d1f92/pone.0228604.g001.jpg

文献检索

告别复杂PubMed语法,用中文像聊天一样搜索,搜遍4000万医学文献。AI智能推荐,让科研检索更轻松。

立即免费搜索

文件翻译

保留排版,准确专业,支持PDF/Word/PPT等文件格式,支持 12+语言互译。

免费翻译文档

深度研究

AI帮你快速写综述,25分钟生成高质量综述,智能提取关键信息,辅助科研写作。

立即免费体验