Suppr超能文献

含精油的甲基纤维素水凝胶作为口腔念珠菌病的潜在治疗方法

Methylcellulose Hydrogel with Essential Oil as a Potential Treatment for Oral Candidiasis.

作者信息

Serra Elisa, Saubade Fabien, Ligorio Cosimo, Whitehead Kathryn, Sloan Alastair, Williams David W, Hidalgo-Bastida Araida, Verran Joanna, Malic Sladjana

机构信息

Microbiology at Interfaces, Faculty of Science and Engineering, Manchester Metropolitan University, Manchester M1 5GD, UK.

Department of Materials, School of Natural Sciences, The University of Manchester, Manchester M13 9PL, UK.

出版信息

Microorganisms. 2020 Feb 6;8(2):215. doi: 10.3390/microorganisms8020215.

Abstract

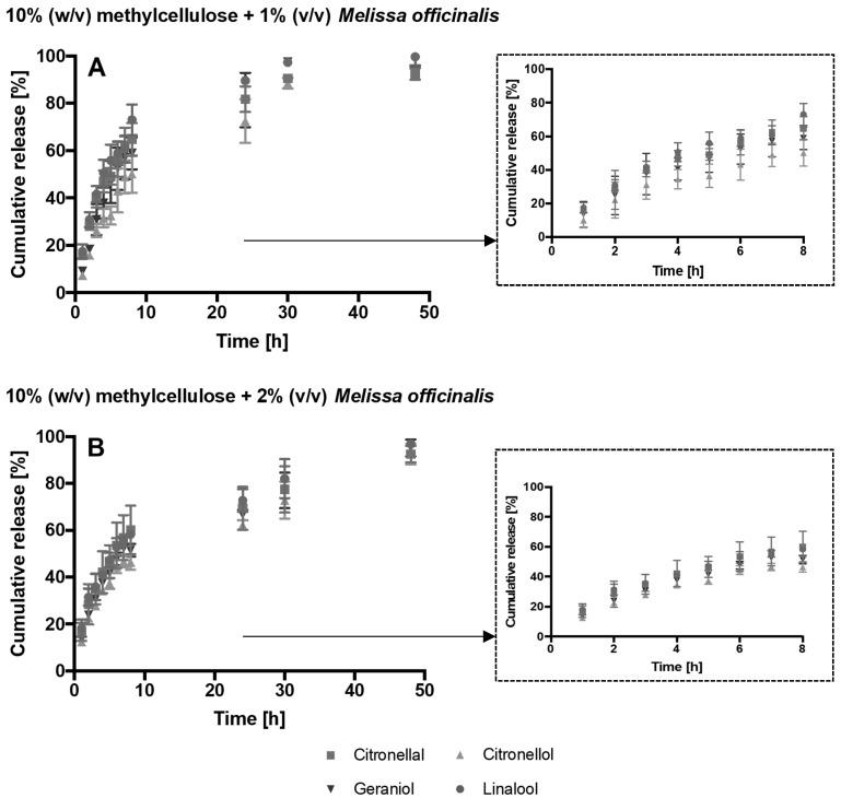
spp. are the most prevalent fungi of the human microbiota and are opportunistic pathogens that can cause oral candidiasis. Management of such infections is limited due to the low number of antifungal drugs available, their relatively high toxicity and the emergence of antifungal resistance. Therefore, much interest in the antimicrobial potential of natural compounds has recently been evident. The use of hydrogels in the delivery of biocides has been explored due to their biocompatibility, ease with drug encapsulation, and due to their potential to confer mechanical and structural properties similar to biological tissue. Methylcellulose hydrogels (10% (/)) with 1% (/) and 2% (/) oil were synthesised. The rheological properties and gelation time of the hydrogels were evaluated. Antimicrobial action, the antifungal potential and ability to displace were determined. Rheological tests revealed that the hydrogel jellified in three minutes at 37 °C. Loaded hydrogels successfully inhibited growth as evident by zone of inhibition and time-kill assays. A significant reduction in retained was demonstrated with the hydrogel at 2% concentration. This work demonstrated that an essential oil-loaded hydrogel had the potential to provide a novel antimicrobial therapy for the treatment of oral candidiasis.

摘要

念珠菌属是人类微生物群中最普遍的真菌,是可引起口腔念珠菌病的机会致病菌。由于可用抗真菌药物数量少、毒性相对较高以及抗真菌耐药性的出现,此类感染的治疗受到限制。因此,最近人们对天然化合物的抗菌潜力表现出极大兴趣。由于水凝胶具有生物相容性、易于药物包封以及具有赋予类似于生物组织的机械和结构特性的潜力,因此已探索了其在杀菌剂递送中的应用。合成了含1%(/)和2%(/)油的10%(/)甲基纤维素水凝胶。评估了水凝胶的流变学性质和凝胶化时间。测定了抗菌作用、抗真菌潜力和置换能力。流变学测试表明,水凝胶在37℃下三分钟内胶凝。通过抑菌圈和时间-杀菌试验表明,负载水凝胶成功抑制了念珠菌生长。在2%浓度下,水凝胶使残留念珠菌显著减少。这项工作表明,负载精油的水凝胶有可能为口腔念珠菌病的治疗提供一种新型抗菌疗法。

https://cdn.ncbi.nlm.nih.gov/pmc/blobs/5e3c/7074814/12d43227a082/microorganisms-08-00215-g001.jpg

文献AI研究员

20分钟写一篇综述,助力文献阅读效率提升50倍。

立即体验

用中文搜PubMed

大模型驱动的PubMed中文搜索引擎

马上搜索

文档翻译

学术文献翻译模型,支持多种主流文档格式。

立即体验