Suppr超能文献

基于加权基因共表达网络分析鉴定与食管鳞状细胞癌发生相关的关键基因和通路

Identification of key genes and pathways associated with esophageal squamous cell carcinoma development based on weighted gene correlation network analysis.

作者信息

Shao Mingrui, Li Wenya, Wang Shiyang, Liu Zhenghua

机构信息

Department of Thoracic Surgery, The First Affiliated Hospital of China Medical University, Shenyang, Liaoning Province, China.

Department of Geriatric Surgery, The First Affiliated Hospital of China Medical University, Shenyang, Liaoning Province, China.

出版信息

J Cancer. 2020 Jan 13;11(6):1393-1402. doi: 10.7150/jca.30699. eCollection 2020.

Abstract

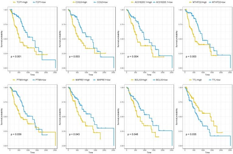
: As one of the most aggressive malignancies, esophageal squamous cell carcinoma(ESCC) remains one of the leading causes of cancer related death worldwide. The majority of ESCCs are diagnosed at advanced stages with poor five-year survival rate, making it urgent to identify specific genes and pathways associated with its initiation and prognosis. : The differentially expressed genes in TCGA were analysed to construct a co-expression network by WGCNA. Gene ontology (GO) terms and Kyoto Encyclopedia of Genes and Genomes (KEGG) pathways analysis were performed for the selected genes. Module-clinical trait relationships were analyzed to explore the genes and pathways that associated with clinicopathological parameters of ESCC. Log-rank tests and COX regression were used to identify the prognosis-related genes. : The brown module containing 716 genes which most significantly contributed to ESCC. GO analysis suggested enrichment of adaptive immune response, cyclin-dependent protein serine, regeneration and mRNA metabolic process. KEGG analysis indicated pathways including Cellular senescence, Ribosome biogenesis, Proteasome, Base excision repair and p53 signaling pathway. Clinical stage was associated with cyan module; clinical M was associated with grey60 module; clinical T was associated with darkturquoise module; while clinical N, histological type and cancer location were associated with turquoise module. Key genes of TCP1, COQ3, PTMA and MAPRE1 might be potential prognostic markers for ESCC. : Differentially expressed genes and key modules contributing to initiation and progression in ESCC were identified by WGCNA. These findings provide novel insights into the mechanisms underlying the initiation, prognosis and treatment of ESCC.

摘要

作为最具侵袭性的恶性肿瘤之一,食管鳞状细胞癌(ESCC)仍是全球癌症相关死亡的主要原因之一。大多数ESCC在晚期被诊断出来,五年生存率低,因此迫切需要确定与其发生和预后相关的特定基因和通路。

通过加权基因共表达网络分析(WGCNA)分析了癌症基因组图谱(TCGA)中的差异表达基因,以构建共表达网络。对选定的基因进行了基因本体论(GO)术语和京都基因与基因组百科全书(KEGG)通路分析。分析了模块与临床特征的关系,以探索与ESCC临床病理参数相关的基因和通路。使用对数秩检验和COX回归来确定预后相关基因。

包含716个基因的棕色模块对ESCC的贡献最为显著。GO分析表明适应性免疫反应、细胞周期蛋白依赖性蛋白丝氨酸、再生和mRNA代谢过程得到富集。KEGG分析表明相关通路包括细胞衰老、核糖体生物发生、蛋白酶体、碱基切除修复和p53信号通路。临床分期与青色模块相关;临床M与灰色60模块相关;临床T与暗绿松石色模块相关;而临床N、组织学类型和癌症位置与绿松石色模块相关。TCP1、COQ3、PTMA和MAPRE1等关键基因可能是ESCC潜在的预后标志物。

通过WGCNA确定了ESCC发生和进展过程中的差异表达基因和关键模块。这些发现为ESCC的发生、预后和治疗机制提供了新的见解。

https://cdn.ncbi.nlm.nih.gov/pmc/blobs/36c5/6995384/9feae646469b/jcav11p1393g001.jpg

文献AI研究员

20分钟写一篇综述,助力文献阅读效率提升50倍。

立即体验

用中文搜PubMed

大模型驱动的PubMed中文搜索引擎

马上搜索

文档翻译

学术文献翻译模型,支持多种主流文档格式。

立即体验