Suppr超能文献

真实世界证据表明,药剂师主导的过渡护理计划对急性护理后 30 天和 90 天再入院的影响。

Real-world evidence on impact of a pharmacist-led transitional care program on 30- and 90-day readmissions after acute care episodes.

机构信息

School of Pharmacy, University of Southern California, Los Angeles, CA.

Sutter Health Bay Area, Castro Valley, CA.

出版信息

Am J Health Syst Pharm. 2020 Mar 24;77(7):535-545. doi: 10.1093/ajhp/zxaa012.

Abstract

PURPOSE

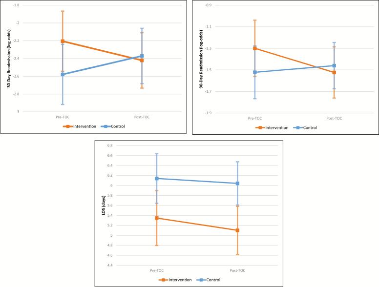
Recent evidence suggests that improving the transitional care process may reduce 30-day readmissions and hospital length of stay (LOS). The objective of this study was to evaluate the impact of a pharmacist-led transitions-of-care (TOC) program on 30- and 90-day all-cause readmissions and LOS for patients discharged from the hospital acute care setting.

METHODS

A retrospective cohort study was conducted using a difference-in-difference (DID) approach. Patients who were at least 18 years old with any of the following primary diagnoses were included: acute myocardial infarction, chronic obstructive pulmonary disease, congestive heart failure (CHF), and pneumonia. Outcome measures were all-cause 30- and 90-day readmission and LOS for the index admission.

RESULTS

From October 2013 through September 2017, 1,776 patients were discharged from the intervention site, and 2,969 patients were discharged from 3 control sites. Only 33.3% of eligible patients at the intervention site actually received the intervention. The DID analysis showed that the odds ratio (OR) for 30-day readmission was 0.65 [P = 0.035] at the intervention site following TOC program initiation. The OR for 90-day readmission was 0.75 [P = 0.070]. Among all diagnosis groups, the CHF subgroup had the highest proportion of patients who actually received the TOC intervention (57.2%). Within that CHF subgroup, the ORs for 30- and 90-day readmissions were 0.52 [P = 0.056] and 0.47 [P = 0.005], respectively. The mean LOS did not change significantly in either analysis.

CONCLUSION

This pharmacist-led transitional care intervention was associated with significantly decreased inpatient readmissions. The analysis indicates that pharmacist interventions can significantly reduce 30-day readmissions for high-risk populations and 90-day readmissions in patients with CHF.

摘要

目的

最近的证据表明,改善过渡护理过程可能会降低 30 天再入院率和住院时长(LOS)。本研究的目的是评估药剂师主导的过渡护理(TOC)计划对从医院急性护理环境出院的患者 30 天和 90 天全因再入院率和 LOS 的影响。

方法

采用差异法(DID)进行回顾性队列研究。纳入至少 18 岁且有以下任何一种主要诊断的患者:急性心肌梗死、慢性阻塞性肺疾病、充血性心力衰竭(CHF)和肺炎。结局指标为指数入院的全因 30 天和 90 天再入院率和 LOS。

结果

2013 年 10 月至 2017 年 9 月,1776 名患者从干预地点出院,2969 名患者从 3 个对照地点出院。只有 33.3%的干预地点符合条件的患者实际接受了干预。DID 分析显示,在启动 TOC 计划后,干预地点的 30 天再入院率的优势比(OR)为 0.65(P=0.035)。90 天再入院率的 OR 为 0.75(P=0.070)。在所有诊断组中,CHF 亚组实际接受 TOC 干预的患者比例最高(57.2%)。在该 CHF 亚组中,30 天和 90 天再入院的 OR 分别为 0.52(P=0.056)和 0.47(P=0.005)。两次分析中,LOS 均无显著变化。

结论

本研究中的药剂师主导的过渡护理干预与住院再入院率显著降低相关。分析表明,药剂师干预可显著降低高危人群的 30 天再入院率和 CHF 患者的 90 天再入院率。

https://cdn.ncbi.nlm.nih.gov/pmc/blobs/a175/7090882/5ec500343d9c/zxaa012f0001.jpg

文献检索

告别复杂PubMed语法,用中文像聊天一样搜索,搜遍4000万医学文献。AI智能推荐,让科研检索更轻松。

立即免费搜索

文件翻译

保留排版,准确专业,支持PDF/Word/PPT等文件格式,支持 12+语言互译。

免费翻译文档

深度研究

AI帮你快速写综述,25分钟生成高质量综述,智能提取关键信息,辅助科研写作。

立即免费体验