Suppr超能文献

头颈部癌症 N1 期接受调强放疗联合手术获益:一项基于人群的关于最新进展的研究。

Benefit from surgery with additional radiotherapy in N1 head and neck cancer at the time of IMRT: A population-based study on recent developments.

机构信息

Medical Faculty, Martin Luther University Halle-Wittenberg, Halle (Saale), Saxony-Anhalt, Germany.

Department of Radiation Oncology, University Hospital Leipzig, Leipzig, Saxony, Germany.

出版信息

PLoS One. 2020 Feb 26;15(2):e0229266. doi: 10.1371/journal.pone.0229266. eCollection 2020.

Abstract

BACKGROUND

Currently, the role of adjuvant irradiation in head and neck cancer (HNC) patients with N1-lymph node status is not clarified.

OBJECTIVES

To assess the population-based effect of recent developments in radiotherapy such as intensity-modulated radiotherapy (IMRT) in relation to overall survival (OS) together with surgery in N1 HNC patients.

MATERIALS AND METHODS

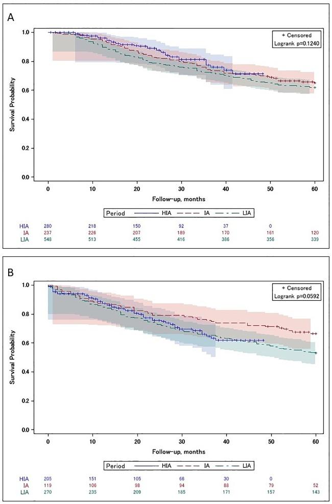
We used 9,318 HNC cases with pT1/2 N0/1 disease from German cancer registries. Time of diagnosis ranged from January 2000 to December 2014, which we divided into three periods: (low [LIA] vs intermediate [IA] vs high [HIA] IMRT availability period) based on usage of IMRT in Germany. For each period, we examined a possible association between treatment (surgery vs. surgery and radiotherapy) in terms of OS. Statistical analyses included Kaplan-Meier and multivariate Cox regression (models adjusted for HPV-related cancer site).

RESULTS

Temporal analysis revealed increasing usage of IMRT in Germany. In patients with N1 tumours, a comparison of patients treated with and without radiotherapy during the HIA period showed a superiority of the combined treatment as opposed to surgery alone (HR 0.54, 95%CI: 0.35-0.85, p = 0.003). The survival analyses related to treatments in terms of period underlined the superiority of surgery plus radiotherapy between periods IA and HIA (p = 0.03).

CONCLUSION

The advent of IMRT, additional radiotherapy may present a survival advantage in patients with N1 HNC when combined with surgery.

摘要

背景

目前,辅助放疗在颈部淋巴结状态为 N1 的头颈部癌症(HNC)患者中的作用尚不清楚。

目的

评估放射治疗的最新进展(如调强放疗(IMRT))在 N1 HNC 患者中的总体生存率(OS)与手术结合的人群效果。

材料和方法

我们使用了来自德国癌症登记处的 9318 例 pT1/2 N0/1 疾病的 HNC 病例。诊断时间范围为 2000 年 1 月至 2014 年 12 月,我们根据德国 IMRT 的使用情况将其分为三个时期:(低 [LIA]、中 [IA] 和高 [HIA] IMRT 可用期)。对于每个时期,我们都根据 OS 检查了治疗(手术与手术和放疗)之间的可能关联。统计分析包括 Kaplan-Meier 和多变量 Cox 回归(模型根据 HPV 相关癌症部位进行调整)。

结果

时间分析显示德国 IMRT 的使用不断增加。在 N1 肿瘤患者中,HIA 期接受放疗和未接受放疗的患者比较显示,联合治疗优于单纯手术(HR 0.54,95%CI:0.35-0.85,p = 0.003)。基于时期的治疗生存分析强调了 IA 和 HIA 时期手术加放疗的优越性(p = 0.03)。

结论

当与手术联合使用时,IMRT 的出现可能为 N1 HNC 患者提供生存优势,可增加额外的放疗。

https://cdn.ncbi.nlm.nih.gov/pmc/blobs/7306/7043743/089615e324ef/pone.0229266.g001.jpg

文献检索

告别复杂PubMed语法,用中文像聊天一样搜索,搜遍4000万医学文献。AI智能推荐,让科研检索更轻松。

立即免费搜索

文件翻译

保留排版,准确专业,支持PDF/Word/PPT等文件格式,支持 12+语言互译。

免费翻译文档

深度研究

AI帮你快速写综述,25分钟生成高质量综述,智能提取关键信息,辅助科研写作。

立即免费体验