• 文献检索
  • 文档翻译
  • 深度研究
  • 学术资讯
  • Suppr Zotero 插件Zotero 插件
  • 邀请有礼
  • 套餐&价格
  • 历史记录
应用&插件
Suppr Zotero 插件Zotero 插件浏览器插件Mac 客户端Windows 客户端微信小程序
定价
高级版会员购买积分包购买API积分包
服务
文献检索文档翻译深度研究API 文档MCP 服务
关于我们
关于 Suppr公司介绍联系我们用户协议隐私条款
关注我们

Suppr 超能文献

核心技术专利:CN118964589B侵权必究
粤ICP备2023148730 号-1Suppr @ 2026

文献检索

告别复杂PubMed语法,用中文像聊天一样搜索,搜遍4000万医学文献。AI智能推荐,让科研检索更轻松。

立即免费搜索

文件翻译

保留排版,准确专业,支持PDF/Word/PPT等文件格式,支持 12+语言互译。

免费翻译文档

深度研究

AI帮你快速写综述,25分钟生成高质量综述,智能提取关键信息,辅助科研写作。

立即免费体验

渗透调节周质葡聚糖通过Rcs磷酸化信号转导途径在……中传递外部信号 。 (原文结尾处不完整,有信息缺失)

Osmoregulated Periplasmic Glucans Transmit External Signals Through Rcs Phosphorelay Pathway in .

作者信息

Meng Jiao, Huang Can, Huang Xiaoning, Liu Dingyu, Han Beizhong, Chen Jingyu

机构信息

Beijing Laboratory for Food Quality and Safety, College of Food Science and Nutritional Engineering, China Agricultural University, Beijing, China.

Beijing Advanced Innovation Center for Food Nutrition and Human Health, College of Food Science and Nutritional Engineering, China Agricultural University, Beijing, China.

出版信息

Front Microbiol. 2020 Feb 5;11:122. doi: 10.3389/fmicb.2020.00122. eCollection 2020.

DOI:10.3389/fmicb.2020.00122
PMID:32117145
原文链接:https://pmc.ncbi.nlm.nih.gov/articles/PMC7013093/
Abstract

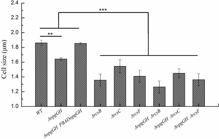
Fast response to environmental changes plays a key role in the transmission and pathogenesis of . Osmoregulated periplasmic glucans (OPGs) are known to be involved in environmental perception of several pathogens; however, the biological function of OPGs in is still unclear. In this study, we investigated the role of OPGs in by deleting the operon encoding enzymes responsible for OPGs biosynthesis. Complete loss of OPGs in the Δ mutant resulted in decreased motility, c-di-GMP production, biofilm formation and smaller cell size, whereas the overproduction of OPGs through restoration of expression promoted c-di-GMP/biofilm production and increased antibiotic resistance of . Gene expression analysis revealed that deletion reduced transcription of , , and genes regulated by the Rcs phosphorelay system, whereas additional deletion of family genes (, , or ) reversed this effect and restored motility and c-di-GMP/biofilm production but further reduced cell size. Furthermore, disruption of the Rcs phosphorelay increased the motility and promoted the induction of biofilm and c-di-GMP production regulated by OPGs through upregulating the expression of , , and . However, deletion of genes encoding the EnvZ/OmpR phosphorelay downregulated the , and expression, leading to the decreased motility and prevented the induction of biofilm and c-di-GMP production regulated by OPGs. These results indicated that Rcs phosphorelay had the effect on OPGs-mediated functional responses in . Our findings disclose part of the biological role of OPGs and the underlying molecular mechanisms associated with Rcs system in the regulation of the pathogenic phenotype in

摘要

对环境变化的快速反应在……的传播和发病机制中起关键作用。已知渗透调节周质葡聚糖(OPGs)参与多种病原体的环境感知;然而,OPGs在……中的生物学功能仍不清楚。在本研究中,我们通过删除编码负责OPGs生物合成的酶的操纵子来研究OPGs在……中的作用。Δ突变体中OPGs的完全缺失导致运动性降低、环二鸟苷酸(c-di-GMP)产生减少、生物膜形成减少以及细胞尺寸变小,而通过恢复……表达来过量产生OPGs则促进了c-di-GMP/生物膜的产生,并增加了……的抗生素抗性。基因表达分析表明,……缺失降低了由Rcs磷酸化信号转导系统调控的……、……、……和……基因的转录,而额外缺失……家族基因(……、……或……)则逆转了这种效应,恢复了运动性和c-di-GMP/生物膜的产生,但进一步减小了细胞尺寸。此外,Rcs磷酸化信号转导的破坏增加了运动性,并通过上调……、……和……的表达促进了由OPGs调控的生物膜诱导和c-di-GMP产生。然而,缺失编码EnvZ/OmpR磷酸化信号转导的基因下调了……、……和……的表达,导致运动性降低,并阻止了由OPGs调控的生物膜诱导和c-di-GMP产生。这些结果表明,Rcs磷酸化信号转导对……中OPGs介导的功能反应有影响。我们的研究结果揭示了OPGs的部分生物学作用以及与Rcs系统相关的潜在分子机制在调节……致病表型中的作用

https://cdn.ncbi.nlm.nih.gov/pmc/blobs/5e7b/7013093/c7e21fe3e51a/fmicb-11-00122-g009.jpg
https://cdn.ncbi.nlm.nih.gov/pmc/blobs/5e7b/7013093/81f8e0991e8e/fmicb-11-00122-g001.jpg
https://cdn.ncbi.nlm.nih.gov/pmc/blobs/5e7b/7013093/0d364c6b27cd/fmicb-11-00122-g002.jpg
https://cdn.ncbi.nlm.nih.gov/pmc/blobs/5e7b/7013093/5d59518259b4/fmicb-11-00122-g003.jpg
https://cdn.ncbi.nlm.nih.gov/pmc/blobs/5e7b/7013093/3ca3677fed61/fmicb-11-00122-g004.jpg
https://cdn.ncbi.nlm.nih.gov/pmc/blobs/5e7b/7013093/c5e70a3ce29d/fmicb-11-00122-g005.jpg
https://cdn.ncbi.nlm.nih.gov/pmc/blobs/5e7b/7013093/cf380234a647/fmicb-11-00122-g006.jpg
https://cdn.ncbi.nlm.nih.gov/pmc/blobs/5e7b/7013093/b34b5010d264/fmicb-11-00122-g007.jpg
https://cdn.ncbi.nlm.nih.gov/pmc/blobs/5e7b/7013093/8b7ad01aebbf/fmicb-11-00122-g008.jpg
https://cdn.ncbi.nlm.nih.gov/pmc/blobs/5e7b/7013093/c7e21fe3e51a/fmicb-11-00122-g009.jpg
https://cdn.ncbi.nlm.nih.gov/pmc/blobs/5e7b/7013093/81f8e0991e8e/fmicb-11-00122-g001.jpg
https://cdn.ncbi.nlm.nih.gov/pmc/blobs/5e7b/7013093/0d364c6b27cd/fmicb-11-00122-g002.jpg
https://cdn.ncbi.nlm.nih.gov/pmc/blobs/5e7b/7013093/5d59518259b4/fmicb-11-00122-g003.jpg
https://cdn.ncbi.nlm.nih.gov/pmc/blobs/5e7b/7013093/3ca3677fed61/fmicb-11-00122-g004.jpg
https://cdn.ncbi.nlm.nih.gov/pmc/blobs/5e7b/7013093/c5e70a3ce29d/fmicb-11-00122-g005.jpg
https://cdn.ncbi.nlm.nih.gov/pmc/blobs/5e7b/7013093/cf380234a647/fmicb-11-00122-g006.jpg
https://cdn.ncbi.nlm.nih.gov/pmc/blobs/5e7b/7013093/b34b5010d264/fmicb-11-00122-g007.jpg
https://cdn.ncbi.nlm.nih.gov/pmc/blobs/5e7b/7013093/8b7ad01aebbf/fmicb-11-00122-g008.jpg
https://cdn.ncbi.nlm.nih.gov/pmc/blobs/5e7b/7013093/c7e21fe3e51a/fmicb-11-00122-g009.jpg

相似文献

1
Osmoregulated Periplasmic Glucans Transmit External Signals Through Rcs Phosphorelay Pathway in .渗透调节周质葡聚糖通过Rcs磷酸化信号转导途径在……中传递外部信号 。 (原文结尾处不完整,有信息缺失)
Front Microbiol. 2020 Feb 5;11:122. doi: 10.3389/fmicb.2020.00122. eCollection 2020.
2
The role of osmoregulated periplasmic glucans in the biofilm antibiotic resistance of Yersinia enterocolitica.渗透压调节周质聚糖在肠侵袭性大肠杆菌生物膜抗生素耐药性中的作用。
Microb Pathog. 2020 Oct;147:104284. doi: 10.1016/j.micpath.2020.104284. Epub 2020 May 31.
3
Differential regulation of physiological activities by RcsB and OmpR in Yersinia enterocolitica.RcsB 和 OmpR 对肠侵袭性大肠杆菌生理活性的差异调控。
FEMS Microbiol Lett. 2019 Sep 1;366(17). doi: 10.1093/femsle/fnz210.
4
An Osmoregulatory Mechanism Operating through OmpR and LrhA Controls the Motile-Sessile Switch in the Plant Growth-Promoting Bacterium .一种通过 OmpR 和 LrhA 作用的渗透调节机制控制植物促生菌的运动-静止转换。
Appl Environ Microbiol. 2019 May 2;85(10). doi: 10.1128/AEM.00077-19. Print 2019 May 15.
5
Transcriptomic analysis reveals the role of RcsB in suppressing bacterial chemotaxis, flagellar assembly and infection in Yersinia enterocolitica.转录组分析揭示了 RcsB 在抑制肠侵袭性大肠杆菌的细菌趋化性、鞭毛组装和感染中的作用。
Curr Genet. 2020 Oct;66(5):971-988. doi: 10.1007/s00294-020-01083-x. Epub 2020 Jun 3.
6
Evaluation of the Role of the opgGH Operon in Yersinia pseudotuberculosis and Its Deletion during the Emergence of Yersinia pestis.opgGH操纵子在假结核耶尔森菌中的作用及其在鼠疫耶尔森菌出现过程中的缺失评估。
Infect Immun. 2015 Sep;83(9):3638-47. doi: 10.1128/IAI.00482-15. Epub 2015 Jul 6.
7
Differential regulation of the hmsCDE operon in Yersinia pestis and Yersinia pseudotuberculosis by the Rcs phosphorelay system.Rcs磷酸化信号转导系统对鼠疫耶尔森菌和假结核耶尔森菌中hmsCDE操纵子的差异调控
Sci Rep. 2015 Feb 12;5:8412. doi: 10.1038/srep08412.
8
Motility revertants of opgGH mutants of Salmonella enterica serovar Typhimurium remain defective in mice virulence.肠沙门氏菌 Typhimurium opgGH 突变体的运动回变体在小鼠毒力方面仍然存在缺陷。
Curr Microbiol. 2009 Dec;59(6):641-5. doi: 10.1007/s00284-009-9486-8. Epub 2009 Aug 29.
9
The virulence of a Dickeya dadantii 3937 mutant devoid of osmoregulated periplasmic glucans is restored by inactivation of the RcsCD-RcsB phosphorelay.丧失渗透压调节周质聚糖的戴氏迪克海菌 3937 突变体的毒力可通过失活 RcsCD-RcsB 磷酸传递系统得到恢复。
J Bacteriol. 2010 Jul;192(13):3484-90. doi: 10.1128/JB.00143-10. Epub 2010 Apr 23.
10
Concentration of osmoregulated periplasmic glucans (OPGs) modulates the activation level of the RcsCD RcsB phosphorelay in the phytopathogen bacteria Dickeya dadantii.渗透压调节周质聚糖(OPGs)的浓度调节植物病原菌食酸菌 Dickeya dadantii 中 RcsCD RcsB 磷酸传递系统的激活水平。
Environ Microbiol. 2013 Mar;15(3):881-94. doi: 10.1111/1462-2920.12054. Epub 2012 Dec 16.

引用本文的文献

1
The implication of viability and pathogenicity by truncated lipopolysaccharide in Yersinia enterocolitica.小肠结肠炎耶尔森菌中截短脂多糖的生存能力和致病性的影响
Appl Microbiol Biotechnol. 2023 Dec;107(23):7165-7180. doi: 10.1007/s00253-023-12785-w. Epub 2023 Sep 20.
2
Transcriptomic Analysis Reveals Key Roles of (p)ppGpp and DksA in Regulating Metabolism and Chemotaxis in .转录组分析揭示了 (p)ppGpp 和 DksA 在调节. 代谢和趋化作用中的关键作用
Int J Mol Sci. 2023 Apr 20;24(8):7612. doi: 10.3390/ijms24087612.
3
-Derived Outer Membrane Vesicles Inhibit Initial Stage of Biofilm Formation.

本文引用的文献

1
Differential regulation of physiological activities by RcsB and OmpR in Yersinia enterocolitica.RcsB 和 OmpR 对肠侵袭性大肠杆菌生理活性的差异调控。
FEMS Microbiol Lett. 2019 Sep 1;366(17). doi: 10.1093/femsle/fnz210.
2
An Osmoregulatory Mechanism Operating through OmpR and LrhA Controls the Motile-Sessile Switch in the Plant Growth-Promoting Bacterium .一种通过 OmpR 和 LrhA 作用的渗透调节机制控制植物促生菌的运动-静止转换。
Appl Environ Microbiol. 2019 May 2;85(10). doi: 10.1128/AEM.00077-19. Print 2019 May 15.
3
The EnvZ-OmpR Two-Component Signaling System Is Inactivated in a Mutant Devoid of Osmoregulated Periplasmic Glucans in .
来源于细菌的外膜囊泡抑制生物膜形成的初始阶段。
Microorganisms. 2022 Nov 29;10(12):2357. doi: 10.3390/microorganisms10122357.
4
Similar and Divergent Roles of Stringent Regulator (p)ppGpp and DksA on Pleiotropic Phenotype of Yersinia enterocolitica. stringent 调控因子 (p)ppGpp 和 DksA 在肠侵袭性大肠杆菌多效表型中的相似和不同作用。
Microbiol Spectr. 2022 Dec 21;10(6):e0205522. doi: 10.1128/spectrum.02055-22. Epub 2022 Nov 21.
5
The Rcs System Contributes to the Motility Defects of the Twin-Arginine Translocation System Mutant of Extraintestinal Pathogenic Escherichia coli.Rcs 系统有助于肠外致病性大肠杆菌双精氨酸易位系统突变体的运动缺陷。
J Bacteriol. 2022 Apr 19;204(4):e0061221. doi: 10.1128/jb.00612-21. Epub 2022 Mar 21.
6
The Role of the Two-Component System PhoP/PhoQ in Intrinsic Resistance of to Polymyxin.双组分系统PhoP/PhoQ在对多粘菌素的固有抗性中的作用
Front Microbiol. 2022 Feb 10;13:758571. doi: 10.3389/fmicb.2022.758571. eCollection 2022.
7
The Rcs System in : Envelope Stress Responses and Virulence Regulation.Rcs系统:包膜应激反应与毒力调节
Front Microbiol. 2021 Feb 15;12:627104. doi: 10.3389/fmicb.2021.627104. eCollection 2021.
8
Rcs Phosphorelay Responses to Truncated Lipopolysaccharide-Induced Cell Envelope Stress in .Rcs 磷酸接力反应对截断脂多糖诱导的细胞包膜应激的响应。
Molecules. 2020 Dec 3;25(23):5718. doi: 10.3390/molecules25235718.
9
Fur Represses Biofilm Formation Direct Regulation of , , , and Transcription.Fur抑制生物膜形成,对,,,和转录的直接调控。
Front Microbiol. 2020 Oct 22;11:587159. doi: 10.3389/fmicb.2020.587159. eCollection 2020.
EnvZ-OmpR双组分信号系统在缺乏渗透调节周质葡聚糖的突变体中失活。
Front Microbiol. 2018 Oct 30;9:2459. doi: 10.3389/fmicb.2018.02459. eCollection 2018.
4
The Complex Rcs Regulatory Cascade.复杂的 Rcs 调控级联反应。
Annu Rev Microbiol. 2018 Sep 8;72:111-139. doi: 10.1146/annurev-micro-090817-062640. Epub 2018 Jun 13.
5
A pH-gated conformational switch regulates the phosphatase activity of bifunctional HisKA-family histidine kinases.pH 门控构象开关调节双功能 HisKA 家族组氨酸激酶的磷酸酶活性。
Nat Commun. 2017 Dec 13;8(1):2104. doi: 10.1038/s41467-017-02310-9.
6
New Insights into the Non-orthodox Two Component Rcs Phosphorelay System.非正统双组分Rcs磷酸化信号转导系统的新见解
Front Microbiol. 2017 Oct 17;8:2014. doi: 10.3389/fmicb.2017.02014. eCollection 2017.
7
Osmoregulated Periplasmic Glucans.渗透调节周质葡聚糖
EcoSal Plus. 2017 Jun;7(2). doi: 10.1128/ecosalplus.ESP-0001-2017.
8
Involvement of Two-Component Signaling on Bacterial Motility and Biofilm Development.双组分信号传导在细菌运动性和生物膜形成中的作用
J Bacteriol. 2017 Aug 22;199(18). doi: 10.1128/JB.00259-17. Print 2017 Sep 15.
9
High-yield anaerobic succinate production by strategically regulating multiple metabolic pathways based on stoichiometric maximum in Escherichia coli.通过基于化学计量学最大值在大肠杆菌中策略性地调控多种代谢途径实现高产厌氧琥珀酸生产。
Microb Cell Fact. 2016 Aug 12;15(1):141. doi: 10.1186/s12934-016-0536-1.
10
The Rcs regulon in Proteus mirabilis: implications for motility, biofilm formation, and virulence.奇异变形杆菌中的Rcs调控子:对运动性、生物膜形成及毒力的影响
Curr Genet. 2016 Nov;62(4):775-789. doi: 10.1007/s00294-016-0579-1. Epub 2016 Mar 2.