• 文献检索
  • 文档翻译
  • 深度研究
  • 学术资讯
  • Suppr Zotero 插件Zotero 插件
  • 邀请有礼
  • 套餐&价格
  • 历史记录
应用&插件
Suppr Zotero 插件Zotero 插件浏览器插件Mac 客户端Windows 客户端微信小程序
定价
高级版会员购买积分包购买API积分包
服务
文献检索文档翻译深度研究API 文档MCP 服务
关于我们
关于 Suppr公司介绍联系我们用户协议隐私条款
关注我们

Suppr 超能文献

核心技术专利:CN118964589B侵权必究
粤ICP备2023148730 号-1Suppr @ 2026

文献检索

告别复杂PubMed语法,用中文像聊天一样搜索,搜遍4000万医学文献。AI智能推荐,让科研检索更轻松。

立即免费搜索

文件翻译

保留排版,准确专业,支持PDF/Word/PPT等文件格式,支持 12+语言互译。

免费翻译文档

深度研究

AI帮你快速写综述,25分钟生成高质量综述,智能提取关键信息,辅助科研写作。

立即免费体验

香豆素类植物雌激素与 ER 和 ER 的相互作用:分子动力学模拟研究。

Interaction of Coumarin Phytoestrogens with ER and ER: A Molecular Dynamics Simulation Study.

机构信息

College of Chemistry and Chemical Engineering, Yantai University, Yantai 264005, China.

School of Pharmacy Lanzhou University, Lanzhou 730000, China.

出版信息

Molecules. 2020 Mar 5;25(5):1165. doi: 10.3390/molecules25051165.

DOI:10.3390/molecules25051165
PMID:32150902
原文链接:https://pmc.ncbi.nlm.nih.gov/articles/PMC7179152/
Abstract

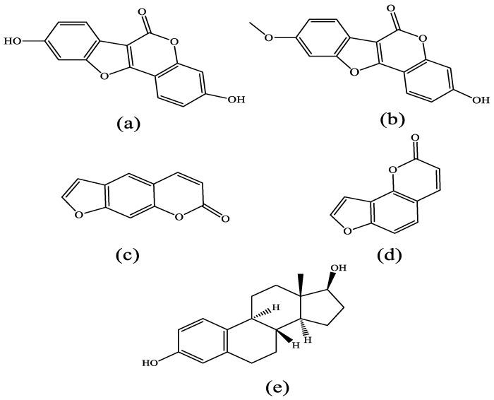
Coumarin phytoestrogens, as one of the important classes of phytoestrogens, have been proved to play an important role in various fields of human life. In this study, molecular simulation method including molecular docking and molecular dynamics methods were performed to explore the various effects between four classical coumarin phytoestrogens (coumestrol, 4-methoxycoumestrol, psoralen and isopsoralen), and estrogen receptors (ER ER), respectively. The calculated results not only proved that the four coumarin phytoestrogens have weaker affinity than 17β-estradiol to both ER and ER, but also pointed out that the selective affinity for ER is greater than ER. In addition, the binding mode indicated that the formation of hydrogen bond and hydrophobic interaction have an important effect on the stability of the complexes. Further, the calculation and decomposition of binding free energy explored the main contribution interactions to the total free energy.

摘要

香豆素类植物雌激素作为植物雌激素的重要类别之一,已被证明在人类生活的各个领域发挥着重要作用。在这项研究中,采用分子模拟方法,包括分子对接和分子动力学方法,分别研究了四种经典香豆素类植物雌激素(大豆素、4-甲氧基大豆素、补骨脂素和异补骨脂素)与雌激素受体(ERα 和 ERβ)之间的各种相互作用。计算结果不仅证明了这四种香豆素类植物雌激素与 ERα 和 ERβ 的亲和力均弱于 17β-雌二醇,还指出其对 ERα 的选择性亲和力大于 ERβ。此外,结合模式表明氢键和疏水相互作用的形成对配合物的稳定性有重要影响。进一步通过结合自由能的计算和分解,探讨了对总自由能有主要贡献的相互作用。

https://cdn.ncbi.nlm.nih.gov/pmc/blobs/ea93/7179152/f0062e7c724b/molecules-25-01165-g008.jpg
https://cdn.ncbi.nlm.nih.gov/pmc/blobs/ea93/7179152/e3de6f271bf9/molecules-25-01165-g001.jpg
https://cdn.ncbi.nlm.nih.gov/pmc/blobs/ea93/7179152/e27baf42c473/molecules-25-01165-g002.jpg
https://cdn.ncbi.nlm.nih.gov/pmc/blobs/ea93/7179152/4eef4d94069f/molecules-25-01165-g003.jpg
https://cdn.ncbi.nlm.nih.gov/pmc/blobs/ea93/7179152/f1ba629f8f99/molecules-25-01165-g004.jpg
https://cdn.ncbi.nlm.nih.gov/pmc/blobs/ea93/7179152/fa57be09d68d/molecules-25-01165-g005a.jpg
https://cdn.ncbi.nlm.nih.gov/pmc/blobs/ea93/7179152/92638e524dd3/molecules-25-01165-g006a.jpg
https://cdn.ncbi.nlm.nih.gov/pmc/blobs/ea93/7179152/cf3757570d5a/molecules-25-01165-g007.jpg
https://cdn.ncbi.nlm.nih.gov/pmc/blobs/ea93/7179152/f0062e7c724b/molecules-25-01165-g008.jpg
https://cdn.ncbi.nlm.nih.gov/pmc/blobs/ea93/7179152/e3de6f271bf9/molecules-25-01165-g001.jpg
https://cdn.ncbi.nlm.nih.gov/pmc/blobs/ea93/7179152/e27baf42c473/molecules-25-01165-g002.jpg
https://cdn.ncbi.nlm.nih.gov/pmc/blobs/ea93/7179152/4eef4d94069f/molecules-25-01165-g003.jpg
https://cdn.ncbi.nlm.nih.gov/pmc/blobs/ea93/7179152/f1ba629f8f99/molecules-25-01165-g004.jpg
https://cdn.ncbi.nlm.nih.gov/pmc/blobs/ea93/7179152/fa57be09d68d/molecules-25-01165-g005a.jpg
https://cdn.ncbi.nlm.nih.gov/pmc/blobs/ea93/7179152/92638e524dd3/molecules-25-01165-g006a.jpg
https://cdn.ncbi.nlm.nih.gov/pmc/blobs/ea93/7179152/cf3757570d5a/molecules-25-01165-g007.jpg
https://cdn.ncbi.nlm.nih.gov/pmc/blobs/ea93/7179152/f0062e7c724b/molecules-25-01165-g008.jpg

相似文献

1
Interaction of Coumarin Phytoestrogens with ER and ER: A Molecular Dynamics Simulation Study.香豆素类植物雌激素与 ER 和 ER 的相互作用:分子动力学模拟研究。
Molecules. 2020 Mar 5;25(5):1165. doi: 10.3390/molecules25051165.
2
The Interaction of Isoflavone Phytoestrogens with ER and ER by Molecular Docking and Molecular Dynamics Simulations.通过分子对接和分子动力学模拟研究异黄酮植物雌激素与雌激素受体α和雌激素受体β的相互作用
Curr Comput Aided Drug Des. 2021;17(5):655-665. doi: 10.2174/1573409916666200712140245.
3
Receptor mediated biological activities of phytoestrogens.植物雌激素的受体介导的生物学活性。
Int J Biol Macromol. 2024 Oct;278(Pt 2):134320. doi: 10.1016/j.ijbiomac.2024.134320. Epub 2024 Jul 30.
4
Phytoestrogenic Activity of Blackcurrant Anthocyanins Is Partially Mediated through Estrogen Receptor Beta.黑加仑花色苷的植物雌激素活性部分通过雌激素受体β介导。
Molecules. 2017 Dec 29;23(1):74. doi: 10.3390/molecules23010074.
5
3D models of human ERα and ERβ complexed with coumestrol.与香豆雌酚复合的人雌激素受体α和雌激素受体β的3D模型。
Steroids. 2014 Feb;80:37-43. doi: 10.1016/j.steroids.2013.11.019. Epub 2013 Dec 5.
6
Use of binding energy in comparative molecular field analysis of isoform selective estrogen receptor ligands.结合能在亚型选择性雌激素受体配体的比较分子场分析中的应用。
J Mol Graph Model. 2004 Sep;23(1):23-38. doi: 10.1016/j.jmgm.2004.03.002.
7
Phytoestrogens modulate binding response of estrogen receptors alpha and beta to the estrogen response element.植物雌激素调节雌激素受体α和β与雌激素反应元件的结合反应。
J Agric Food Chem. 2003 Dec 17;51(26):7632-5. doi: 10.1021/jf034427b.
8
Phytoestrogens and their human metabolites show distinct agonistic and antagonistic properties on estrogen receptor alpha (ERalpha) and ERbeta in human cells.植物雌激素及其人体代谢产物在人体细胞中对雌激素受体α(ERα)和雌激素受体β(ERβ)表现出不同的激动和拮抗特性。
Toxicol Sci. 2004 Jul;80(1):14-25. doi: 10.1093/toxsci/kfh147. Epub 2004 Apr 14.
9
3D models of human ERα and ERβ complexed with 5-androsten-3β,17β-diol.与人 ERα 和 ERβ 复合物的 5-雄烯-3β,17β-二醇的 3D 模型。
Steroids. 2012 Oct;77(12):1192-7. doi: 10.1016/j.steroids.2012.07.014. Epub 2012 Aug 13.
10
Design and synthesis of azaisoflavone analogs as phytoestrogen mimetics.氮杂异黄酮类似物作为植物雌激素模拟物的设计与合成。
Eur J Med Chem. 2014 Oct 6;85:107-18. doi: 10.1016/j.ejmech.2014.07.030. Epub 2014 Jul 15.

引用本文的文献

1
Integrative metabolomics and system pharmacology reveal the antioxidant blueprint of Psoralea corylifolia.整合代谢组学与系统药理学揭示补骨脂的抗氧化蓝图。
Sci Rep. 2025 Aug 5;15(1):28632. doi: 10.1038/s41598-025-14469-z.
2
A review of L.: a valuable plant with profound biological significance.对L.的综述:一种具有深远生物学意义的珍贵植物。
Front Pharmacol. 2025 Jan 20;15:1521040. doi: 10.3389/fphar.2024.1521040. eCollection 2024.
3
Coumarin: A natural solution for alleviating inflammatory disorders.香豆素:缓解炎症性疾病的天然解决方案。

本文引用的文献

1
Structure Based Multitargeted Molecular Docking Analysis of Selected Furanocoumarins against Breast Cancer.基于结构的几种呋喃香豆素类化合物对乳腺癌的多靶点分子对接分析。
Sci Rep. 2019 Oct 31;9(1):15743. doi: 10.1038/s41598-019-52162-0.
2
Quantitative structure-activity relationship for estrogenic flavonoids from Psoralea corylifolia.香豆素类雌激素黄酮定量构效关系。
J Pharm Biomed Anal. 2018 Nov 30;161:129-135. doi: 10.1016/j.jpba.2018.08.040. Epub 2018 Aug 22.
3
Estrogen receptor-based fluorescence polarization assay for bisphenol analogues and molecular modeling study of their complexation mechanism.
Curr Res Pharmacol Drug Discov. 2024 Sep 25;7:100202. doi: 10.1016/j.crphar.2024.100202. eCollection 2024.
4
The Natural HASPIN Inhibitor Coumestrol Suppresses Intestinal Polyp Development, Cachexia, and Hypogonadism in a Mouse Model of Familial Adenomatous Polyposis ().天然HASPIN抑制剂香豆雌酚在家族性腺瘤性息肉病小鼠模型中可抑制肠息肉发展、恶病质和性腺功能减退。
Biology (Basel). 2024 Sep 20;13(9):736. doi: 10.3390/biology13090736.
5
Antidepressant- and Anxiolytic-like Effects of Pomegranate: Is It Acting by Common or Well-Known Mechanisms of Action?石榴的抗抑郁和抗焦虑样作用:其作用机制是常见的还是已知的?
Plants (Basel). 2024 Aug 9;13(16):2205. doi: 10.3390/plants13162205.
6
Isopsoralen Improves Glucocorticoid-induced Osteoporosis by Regulating Purine Metabolism and Promoting cGMP/PKG Pathway-mediated Osteoblast Differentiation.异补骨脂素通过调节嘌呤代谢和促进 cGMP/PKG 通路介导的成骨细胞分化改善糖皮质激素诱导的骨质疏松症。
Curr Drug Metab. 2024;25(4):288-297. doi: 10.2174/0113892002308141240628071541.
7
Nutraceuticals known to promote hair growth do not interfere with the inhibitory action of tamoxifen in MCF7, T47D and BT483 breast cancer cell lines.已知具有促进头发生长作用的营养保健品不会干扰他莫昔芬在 MCF7、T47D 和 BT483 乳腺癌细胞系中的抑制作用。
PLoS One. 2024 Feb 26;19(2):e0297080. doi: 10.1371/journal.pone.0297080. eCollection 2024.
8
From Plants to Therapies: Exploring the Pharmacology of Coumestrol for Neurological Conditions.从植物到疗法:探索香豆雌酚治疗神经疾病的药理学。
Curr Med Chem. 2024;31(41):6855-6870. doi: 10.2174/0109298673250784231011094322.
9
Protective Effects of Coumestrol on Metabolic Dysfunction and Its Estrogen Receptor-Mediated Action in Ovariectomized Mice.香豆雌酚对去卵巢小鼠代谢功能障碍的保护作用及其雌激素受体介导作用。
Nutrients. 2023 Feb 14;15(4):954. doi: 10.3390/nu15040954.
10
Ingestion of Soybean Sprouts Containing a HASPIN Inhibitor Improves Condition in a Mouse Model of Alzheimer's Disease.摄入含有HASPIN抑制剂的豆芽可改善阿尔茨海默病小鼠模型的状况。
Biology (Basel). 2023 Feb 16;12(2):320. doi: 10.3390/biology12020320.
基于雌激素受体的荧光偏振分析方法用于双酚类似物,并对其结合机制进行分子建模研究。
Anal Chim Acta. 2018 Nov 22;1032:107-113. doi: 10.1016/j.aca.2018.05.034. Epub 2018 May 12.
4
The promiscuous estrogen receptor: Evolution of physiological estrogens and response to phytochemicals and endocrine disruptors.混杂的雌激素受体:生理雌激素的演化以及对植物化学物质和内分泌干扰物的反应。
J Steroid Biochem Mol Biol. 2018 Nov;184:29-37. doi: 10.1016/j.jsbmb.2018.07.001. Epub 2018 Jul 20.
5
Dietary intake of isoflavones and coumestrol and the risk of prostate cancer in the Prostate, Lung, Colorectal and Ovarian Cancer Screening Trial.植物雌激素和香豆雌酚的饮食摄入与前列腺癌在前列腺癌、肺癌、结直肠癌和卵巢癌筛查试验中的风险。
Int J Cancer. 2018 Feb 15;142(4):719-728. doi: 10.1002/ijc.31095. Epub 2017 Nov 8.
6
Dietary isoflavone intake and all-cause mortality in breast cancer survivors: The Breast Cancer Family Registry-methodological issues.乳腺癌幸存者的膳食异黄酮摄入量与全因死亡率:乳腺癌家族登记处——方法学问题
Cancer. 2017 Sep 15;123(18):3638-3639. doi: 10.1002/cncr.30852. Epub 2017 Jun 16.
7
Assessment of the potential activity of major dietary compounds as selective estrogen receptor modulators in two distinct cell models for proliferation and differentiation.在两种用于增殖和分化的不同细胞模型中评估主要膳食化合物作为选择性雌激素受体调节剂的潜在活性。
Toxicol Appl Pharmacol. 2017 Jun 15;325:61-70. doi: 10.1016/j.taap.2017.04.005. Epub 2017 Apr 7.
8
Prediction of Absolute Solvation Free Energies using Molecular Dynamics Free Energy Perturbation and the OPLS Force Field.使用分子动力学自由能微扰和OPLS力场预测绝对溶剂化自由能
J Chem Theory Comput. 2010 May 11;6(5):1509-19. doi: 10.1021/ct900587b. Epub 2010 Apr 14.
9
MMPBSA.py: An Efficient Program for End-State Free Energy Calculations.MMPBSA.py:用于终态自由能计算的高效程序。
J Chem Theory Comput. 2012 Sep 11;8(9):3314-21. doi: 10.1021/ct300418h. Epub 2012 Aug 16.
10
PTRAJ and CPPTRAJ: Software for Processing and Analysis of Molecular Dynamics Trajectory Data.PTRAJ和CPPTRAJ:用于处理和分析分子动力学轨迹数据的软件。
J Chem Theory Comput. 2013 Jul 9;9(7):3084-95. doi: 10.1021/ct400341p. Epub 2013 Jun 25.