Suppr超能文献

通过在野生狒狒中进行操作性条件反射任务来探索联想学习能力的个体差异。

Exploring individual variation in associative learning abilities through an operant conditioning task in wild baboons.

机构信息

Department of Anthropology, University College London, London, England, United Kingdom.

The Institute of Zoology, Zoological Society of London, London, England, United Kingdom.

出版信息

PLoS One. 2020 Apr 6;15(4):e0230810. doi: 10.1371/journal.pone.0230810. eCollection 2020.

Abstract

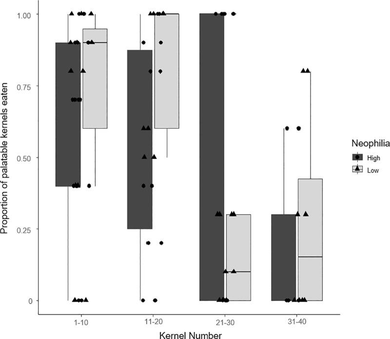
Cognitive abilities underpin many of the behavioural decisions of animals. However, we still have very little understanding of how and why cognitive abilities vary between individuals of the same species in wild populations. In this study, we assessed the associative learning abilities of wild chacma baboons (Papio ursinus) across two troops in Namibia with a simple operant conditioning task. We evaluated the ability of individuals to correctly associate a particular colour of corn kernels with a distasteful flavour through repeated presentations of two small piles of corn dyed different colours, one of which had been treated with a non-toxic bitter substance. We also assessed whether individual variation in learning ability was associated with particular phenotypic traits (sex, social rank and neophilia) and states (age and prior vigilance). We found no evidence of learning the association either within each trial or across trials, nor any variation based on individuals' phenotypes. This appeared to be due to a high tolerance for bitter foods leading to similar acceptance of both palatable and unpalatable kernels. Earlier avoidance of the bitter kernels during pilot trials suggests this higher tolerance may have been largely driven by a drought during the experiments. Overall, our findings highlight the potential influence of current environmental challenges associated with conducting cognitive tests of animals in the wild.

摘要

认知能力是动物做出许多行为决策的基础。然而,我们仍然非常不了解为什么同种野生动物个体之间的认知能力会存在差异,以及这种差异是如何产生的。在这项研究中,我们通过一个简单的操作性条件反射任务,评估了纳米比亚两个狒狒群体中的野生南非大狒狒的联想学习能力。我们评估了个体通过反复呈现两种不同颜色的玉米粒小堆,正确地将特定颜色的玉米粒与一种难吃的味道联系起来的能力,其中一堆玉米粒被染上了一种无毒的苦味物质。我们还评估了学习能力的个体差异是否与特定的表型特征(性别、社会等级和新奇事物偏好)和状态(年龄和先前的警惕性)有关。我们没有发现个体在每次试验或跨试验中学习关联的证据,也没有发现任何基于个体表型的变化。这似乎是由于对苦味食物的高容忍度导致对可口和不可口的玉米粒有相似的接受度。在初步试验中,个体对苦味玉米粒的早期回避表明,这种更高的容忍度可能主要是由实验期间的干旱所驱动。总的来说,我们的研究结果强调了当前与在野外进行动物认知测试相关的环境挑战的潜在影响。

https://cdn.ncbi.nlm.nih.gov/pmc/blobs/589f/7135308/ef7b192bb69a/pone.0230810.g001.jpg

文献AI研究员

20分钟写一篇综述,助力文献阅读效率提升50倍。

立即体验

用中文搜PubMed

大模型驱动的PubMed中文搜索引擎

马上搜索

文档翻译

学术文献翻译模型,支持多种主流文档格式。

立即体验