• 文献检索
  • 文档翻译
  • 深度研究
  • 学术资讯
  • Suppr Zotero 插件Zotero 插件
  • 邀请有礼
  • 套餐&价格
  • 历史记录
应用&插件
Suppr Zotero 插件Zotero 插件浏览器插件Mac 客户端Windows 客户端微信小程序
定价
高级版会员购买积分包购买API积分包
服务
文献检索文档翻译深度研究API 文档MCP 服务
关于我们
关于 Suppr公司介绍联系我们用户协议隐私条款
关注我们

Suppr 超能文献

核心技术专利:CN118964589B侵权必究
粤ICP备2023148730 号-1Suppr @ 2026

文献检索

告别复杂PubMed语法,用中文像聊天一样搜索,搜遍4000万医学文献。AI智能推荐,让科研检索更轻松。

立即免费搜索

文件翻译

保留排版,准确专业,支持PDF/Word/PPT等文件格式,支持 12+语言互译。

免费翻译文档

深度研究

AI帮你快速写综述,25分钟生成高质量综述,智能提取关键信息,辅助科研写作。

立即免费体验

美国睾丸癌的种族差异:描述性流行病学。

Racial differences in testicular cancer in the United States: descriptive epidemiology.

机构信息

Center for Applied Statistics, Renmin University of China, Beijing, China.

School of Statistics, Renmin University of China, Beijing, China.

出版信息

BMC Cancer. 2020 Apr 6;20(1):284. doi: 10.1186/s12885-020-06789-2.

DOI:10.1186/s12885-020-06789-2
PMID:32252689
原文链接:https://pmc.ncbi.nlm.nih.gov/articles/PMC7137202/
Abstract

BACKGROUND

Testicular cancer (TC) is the most common malignancy in young adult men, and in many countries the incidence rates of testicular cancer have been increasing since the middle of the twentieth century. Since disease presentation and tumor progression patterns are often heterogeneous across racial groups, there may be important racial differences in recent TC trends.

METHODS

In this study, Surveillance, Epidemiology, and End Results (SEER) data on TC patients diagnosed between 1973 and 2015 were analyzed, including the following racial/ethnic groups: non-Hispanic whites (NHW), Hispanic whites (HW), blacks, and Asians and Pacific Islanders (API). Patient characteristics, age-adjusted incidence rates, and survival were compared across racial groups. A multivariate Cox model was used to analyze the survival data of TC patients, in order to evaluate racial differences across several relevant factors, including marital status, age group, histologic type, treatment, stage, and tumor location.

RESULTS

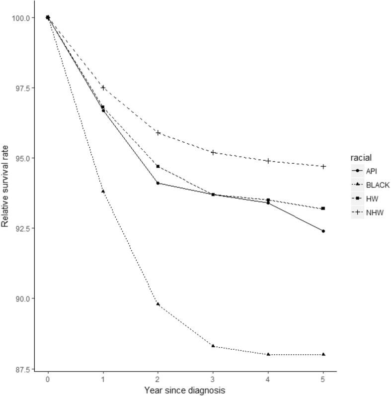
NHWs had the highest incidence rates, followed by blacks, HWs, and APIs. There were significant survival differences among the racial groups, with NHWs having the highest survival rates and blacks having the lowest.

CONCLUSION

An analysis of SEER data showed that racial differences existed among TC patients in the United States with respect to patient characteristics, incidence, and survival. The results can be useful to stakeholders interested in reducing the burden of TC morbidity and mortality.

摘要

背景

睾丸癌(TC)是青年男性中最常见的恶性肿瘤,在许多国家,自 20 世纪中叶以来,睾丸癌的发病率一直在上升。由于疾病表现和肿瘤进展模式在不同种族群体中往往存在异质性,因此最近 TC 趋势可能存在重要的种族差异。

方法

本研究分析了 1973 年至 2015 年间诊断的 TC 患者的监测、流行病学和最终结果(SEER)数据,包括以下种族/族裔群体:非西班牙裔白人(NHW)、西班牙裔白人(HW)、黑人和亚洲及太平洋岛民(API)。比较了不同种族组之间的患者特征、年龄调整发病率和生存率。使用多变量 Cox 模型分析 TC 患者的生存数据,以评估几个相关因素(包括婚姻状况、年龄组、组织学类型、治疗、分期和肿瘤位置)的种族差异。

结果

NHW 的发病率最高,其次是黑人、HW 和 API。不同种族组之间的生存率存在显著差异,NHW 的生存率最高,黑人的生存率最低。

结论

对 SEER 数据的分析表明,美国 TC 患者在患者特征、发病率和生存率方面存在种族差异。研究结果可用于对降低 TC 发病率和死亡率负担感兴趣的利益相关者。

https://cdn.ncbi.nlm.nih.gov/pmc/blobs/a752/7137202/40f5846e1a22/12885_2020_6789_Fig1_HTML.jpg
https://cdn.ncbi.nlm.nih.gov/pmc/blobs/a752/7137202/40f5846e1a22/12885_2020_6789_Fig1_HTML.jpg
https://cdn.ncbi.nlm.nih.gov/pmc/blobs/a752/7137202/40f5846e1a22/12885_2020_6789_Fig1_HTML.jpg

相似文献

1
Racial differences in testicular cancer in the United States: descriptive epidemiology.美国睾丸癌的种族差异:描述性流行病学。
BMC Cancer. 2020 Apr 6;20(1):284. doi: 10.1186/s12885-020-06789-2.
2
Racial differences in Urinary Bladder Cancer in the United States.美国膀胱癌的种族差异。
Sci Rep. 2018 Aug 21;8(1):12521. doi: 10.1038/s41598-018-29987-2.
3
Adult Glioma Incidence and Survival by Race or Ethnicity in the United States From 2000 to 2014.美国 2000 年至 2014 年按种族或族裔划分的成人脑胶质瘤发病率和生存率。
JAMA Oncol. 2018 Sep 1;4(9):1254-1262. doi: 10.1001/jamaoncol.2018.1789.
4
Future of testicular germ cell tumor incidence in the United States: Forecast through 2026.美国睾丸生殖细胞肿瘤发病率的未来:至2026年的预测
Cancer. 2017 Jun 15;123(12):2320-2328. doi: 10.1002/cncr.30597. Epub 2017 Feb 27.
5
Testicular cancer incidence trends in the USA (1975-2004): plateau or shifting racial paradigm?美国睾丸癌发病率趋势(1975 - 2004年):趋于平稳还是种族模式转变?
Public Health. 2008 Sep;122(9):862-72. doi: 10.1016/j.puhe.2007.10.010. Epub 2008 Jun 13.
6
Racial and ethnic variations in the incidence of cancers of the uterine corpus, United States, 2001-2003.2001 - 2003年美国子宫体癌发病率的种族和民族差异
J Womens Health (Larchmt). 2009 Mar;18(3):285-94. doi: 10.1089/jwh.2008.1171.
7
Racial differences in three major NHL subtypes: descriptive epidemiology.三种主要非霍奇金淋巴瘤亚型的种族差异:描述性流行病学
Cancer Epidemiol. 2015 Feb;39(1):8-13. doi: 10.1016/j.canep.2014.12.001. Epub 2015 Jan 2.
8
Racial/ethnicity disparities in invasive breast cancer among younger and older women: An analysis using multiple measures of population health.年轻女性和老年女性浸润性乳腺癌的种族/族裔差异:一项使用多种人群健康指标的分析
Cancer Epidemiol. 2016 Dec;45:112-118. doi: 10.1016/j.canep.2016.10.013. Epub 2016 Oct 25.
9
Thyroid cancer incidence patterns in the United States by histologic type, 1992-2006.美国 1992-2006 年按组织学类型划分的甲状腺癌发病模式。
Thyroid. 2011 Feb;21(2):125-34. doi: 10.1089/thy.2010.0021. Epub 2010 Dec 27.
10
Incidence of testicular cancer in the United States, 1999-2004.1999-2004 年美国睾丸癌发病率。
Am J Mens Health. 2010 Dec;4(4):353-60. doi: 10.1177/1557988309356101. Epub 2009 Dec 22.

引用本文的文献

1
Tracking and analysis of testicular cancer burden in adolescents and young adults globally in Asia and in China: 1990-2021 epidemiological trends.1990 - 2021年全球、亚洲及中国青少年和青年睾丸癌负担的追踪与分析:流行病学趋势
Transl Androl Urol. 2025 Jul 30;14(7):2075-2088. doi: 10.21037/tau-2025-394. Epub 2025 Jul 25.
2
A review of the carcinogenic potential of human papillomavirus (HPV) in urological cancers.人乳头瘤病毒(HPV)在泌尿系统癌症中的致癌潜力综述。
Virol J. 2025 Feb 28;22(1):53. doi: 10.1186/s12985-025-02682-1.
3
Use of inpatient palliative care in metastatic testicular cancer patients undergoing critical care therapy: insights from the national inpatient sample.

本文引用的文献

1
Cancer statistics, 2019.癌症统计数据,2019 年。
CA Cancer J Clin. 2019 Jan;69(1):7-34. doi: 10.3322/caac.21551. Epub 2019 Jan 8.
2
Racial differences in Urinary Bladder Cancer in the United States.美国膀胱癌的种族差异。
Sci Rep. 2018 Aug 21;8(1):12521. doi: 10.1038/s41598-018-29987-2.
3
Racial differences in six major subtypes of melanoma: descriptive epidemiology.黑色素瘤六种主要亚型的种族差异:描述性流行病学
重症监护治疗的转移性睾丸癌患者住院姑息治疗的应用:来自全国住院患者样本的见解
Sci Rep. 2025 Jan 6;15(1):967. doi: 10.1038/s41598-024-83545-7.
4
Trends in incidence and demographics of testicular cancer in California, 2000-2020.2000 - 2020年加利福尼亚州睾丸癌的发病率及人口统计学趋势
BJUI Compass. 2024 Oct 30;5(12):1249-1251. doi: 10.1002/bco2.451. eCollection 2024 Dec.
5
Comparative analysis of testicular and nontesticular choriocarcinoma: a population-based study.睾丸绒毛膜癌与非睾丸绒毛膜癌的比较分析:一项基于人群的研究。
Ann Med Surg (Lond). 2024 Oct 25;86(12):6951-6959. doi: 10.1097/MS9.0000000000002702. eCollection 2024 Dec.
6
Striving for Equity: Examining Health Disparities in Urologic Oncology.追求公平:审视泌尿肿瘤学中的健康差异。
Cancers (Basel). 2024 Oct 22;16(21):3559. doi: 10.3390/cancers16213559.
7
Disparities in Testicular Cancer: A Review of the Literature.睾丸癌的差异:文献综述
Cancers (Basel). 2024 Oct 10;16(20):3433. doi: 10.3390/cancers16203433.
8
Humor-Based Messaging in Testicular Cancer Awareness Campaigns: A Comparative Critical Review.基于幽默的睾丸癌宣传活动信息传递:一项比较性批判性评论。
Am J Mens Health. 2023 Nov-Dec;17(6):15579883231215343. doi: 10.1177/15579883231215343.
9
Incidence and Survival of Testicular Cancers in a Province in Northern Italy and Their Association with Second Tumors.意大利北部某省睾丸癌的发病率、生存率及其与二次肿瘤的关联。
Biology (Basel). 2023 Nov 9;12(11):1409. doi: 10.3390/biology12111409.
10
Impact of pain and adverse health outcomes on long-term US testicular cancer survivors.疼痛和不良健康结局对长期美国睾丸癌幸存者的影响。
J Natl Cancer Inst. 2024 Mar 7;116(3):455-467. doi: 10.1093/jnci/djad236.
BMC Cancer. 2016 Aug 30;16(1):691. doi: 10.1186/s12885-016-2747-6.
4
A prospective study of dietary patterns and cancer mortality among Blacks and Whites in the REGARDS cohort.REGARDS队列中黑人和白人饮食模式与癌症死亡率的前瞻性研究。
Int J Cancer. 2016 Nov 15;139(10):2221-31. doi: 10.1002/ijc.30287. Epub 2016 Aug 9.
5
Cannabis exposure and risk of testicular cancer: a systematic review and meta-analysis.大麻暴露与睾丸癌风险:一项系统评价和荟萃分析。
BMC Cancer. 2015 Nov 11;15:897. doi: 10.1186/s12885-015-1905-6.
6
Incidence of testicular germ cell tumors among US men by census region.按人口普查区域划分的美国男性睾丸生殖细胞肿瘤发病率。
Cancer. 2015 Dec 1;121(23):4181-9. doi: 10.1002/cncr.29643. Epub 2015 Aug 17.
7
Prospectively Identified Incident Testicular Cancer Risk in a Familial Testicular Cancer Cohort.家族性睾丸癌队列中前瞻性确定的偶发性睾丸癌风险
Cancer Epidemiol Biomarkers Prev. 2015 Oct;24(10):1614-21. doi: 10.1158/1055-9965.EPI-14-1240. Epub 2015 Aug 11.
8
Trends in Testicular Cancer Survival: A Large Population-based Analysis.睾丸癌生存率趋势:一项基于大人群的分析。
Urology. 2015 Jun;85(6):1394-8. doi: 10.1016/j.urology.2015.03.022.
9
Global trends in testicular cancer incidence and mortality.全球睾丸癌发病率和死亡率趋势。
Eur Urol. 2011 Aug;60(2):374-9. doi: 10.1016/j.eururo.2011.05.004. Epub 2011 May 17.
10
Increased mortality among Hispanic testis cancer patients independent of neighborhood socioeconomic status: a SEER study.西班牙裔睾丸癌患者的死亡率升高与社区社会经济地位无关:一项 SEER 研究。
J Immigr Minor Health. 2011 Oct;13(5):818-24. doi: 10.1007/s10903-010-9419-4.