• 文献检索
  • 文档翻译
  • 深度研究
  • 学术资讯
  • Suppr Zotero 插件Zotero 插件
  • 邀请有礼
  • 套餐&价格
  • 历史记录
应用&插件
Suppr Zotero 插件Zotero 插件浏览器插件Mac 客户端Windows 客户端微信小程序
定价
高级版会员购买积分包购买API积分包
服务
文献检索文档翻译深度研究API 文档MCP 服务
关于我们
关于 Suppr公司介绍联系我们用户协议隐私条款
关注我们

Suppr 超能文献

核心技术专利:CN118964589B侵权必究
粤ICP备2023148730 号-1Suppr @ 2026

文献检索

告别复杂PubMed语法,用中文像聊天一样搜索,搜遍4000万医学文献。AI智能推荐,让科研检索更轻松。

立即免费搜索

文件翻译

保留排版,准确专业,支持PDF/Word/PPT等文件格式,支持 12+语言互译。

免费翻译文档

深度研究

AI帮你快速写综述,25分钟生成高质量综述,智能提取关键信息,辅助科研写作。

立即免费体验

带电荷基团对硫醇-烯点击共聚聚(2-恶唑啉)水凝胶的交联效率及客体分子释放的影响。

Influence of charged groups on the cross-linking efficiency and release of guest molecules from thiol-ene cross-linked poly(2-oxazoline) hydrogels.

机构信息

Department of Functional Materials in Medicine and Dentistry and Bavarian Polymer Institute (BPI), University of Würzburg, Pleicherwall 2, 97070 Würzburg, Germany.

出版信息

J Mater Chem B. 2019 Mar 14;7(10):1782-1794. doi: 10.1039/c8tb02575d. Epub 2019 Feb 13.

DOI:10.1039/c8tb02575d
PMID:32254920
原文链接:https://pmc.ncbi.nlm.nih.gov/articles/PMC6592217/
Abstract

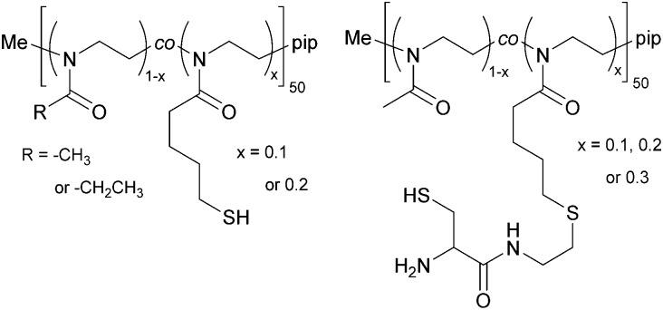
We describe the preparation of hydrogels using highly functionalized poly(oxazoline) based polymeric precursors and cross-linking via UV mediated radical thiol-ene chemistry. Random copolymers were synthesized based on the combination of the more hydrophilic 2-methyl-2-oxazoline or the less hydrophilic monomer 2-ethyl-2-oxazoline with 2-(3-butenyl)-2-oxazoline. These copolymers were functionalized via a post-polymerization technique with thiol or cysteine functionality at the side chain. Hence, hydrogels were obtained, for which the thermo-responsive behavior, network density and correlated properties such as swelling and mechanics, as well as the possibility of electrostatic interaction, can be tuned. Cell culture tests demonstrated good cytocompatibility of the synthesized copolymers and hydrogels. A study with two low molecular weight substances, methylene blue and fluorescein sodium, was performed to investigate how the thermo-responsive behavior or the positive charge incorporated by cysteine could influence the interaction with the compounds. It was found that the interaction with the hydrogel network was strongly influenced by the chemical properties of the dye. A hydrophilic and positively charged hydrogel network was shown to be a promising candidate for the uptake and prolonged release of negatively charged low molecular weight substances.

摘要

我们描述了使用高度官能化的聚恶唑啉基聚合物前体通过 UV 介导的自由基硫醇-烯反应交联制备水凝胶。基于更亲水的 2-甲基-2-恶唑啉或疏水性较小的单体 2-乙基-2-恶唑啉与 2-(3-丁烯基)-2-恶唑啉的组合合成了无规共聚物。这些共聚物通过后聚合技术用侧链上的巯基或半胱氨酸官能团进行功能化。因此,获得了水凝胶,其热响应行为、网络密度和相关性质(如溶胀和力学性能)以及静电相互作用的可能性可以进行调节。细胞培养测试表明合成共聚物和水凝胶具有良好的细胞相容性。对两种低分子量物质亚甲蓝和荧光素钠进行了研究,以研究半胱氨酸引入的热响应行为或正电荷如何影响与化合物的相互作用。结果发现,与水凝胶网络的相互作用强烈受到染料化学性质的影响。具有亲水性和正电荷的水凝胶网络有望成为吸收和延长释放带负电荷的低分子量物质的有前途的候选物。

https://cdn.ncbi.nlm.nih.gov/pmc/blobs/34da/6592217/a9ba6961e671/c8tb02575d-f9.jpg
https://cdn.ncbi.nlm.nih.gov/pmc/blobs/34da/6592217/885b4f5735b2/c8tb02575d-f1.jpg
https://cdn.ncbi.nlm.nih.gov/pmc/blobs/34da/6592217/510ab6654858/c8tb02575d-f2.jpg
https://cdn.ncbi.nlm.nih.gov/pmc/blobs/34da/6592217/b7065e1403d0/c8tb02575d-f3.jpg
https://cdn.ncbi.nlm.nih.gov/pmc/blobs/34da/6592217/f65d791a6688/c8tb02575d-f4.jpg
https://cdn.ncbi.nlm.nih.gov/pmc/blobs/34da/6592217/e07f7ffe5a8c/c8tb02575d-f5.jpg
https://cdn.ncbi.nlm.nih.gov/pmc/blobs/34da/6592217/628c58b63e5a/c8tb02575d-f6.jpg
https://cdn.ncbi.nlm.nih.gov/pmc/blobs/34da/6592217/4adb0f7ca377/c8tb02575d-f7.jpg
https://cdn.ncbi.nlm.nih.gov/pmc/blobs/34da/6592217/fbb18f7c2b9f/c8tb02575d-f8.jpg
https://cdn.ncbi.nlm.nih.gov/pmc/blobs/34da/6592217/a9ba6961e671/c8tb02575d-f9.jpg
https://cdn.ncbi.nlm.nih.gov/pmc/blobs/34da/6592217/885b4f5735b2/c8tb02575d-f1.jpg
https://cdn.ncbi.nlm.nih.gov/pmc/blobs/34da/6592217/510ab6654858/c8tb02575d-f2.jpg
https://cdn.ncbi.nlm.nih.gov/pmc/blobs/34da/6592217/b7065e1403d0/c8tb02575d-f3.jpg
https://cdn.ncbi.nlm.nih.gov/pmc/blobs/34da/6592217/f65d791a6688/c8tb02575d-f4.jpg
https://cdn.ncbi.nlm.nih.gov/pmc/blobs/34da/6592217/e07f7ffe5a8c/c8tb02575d-f5.jpg
https://cdn.ncbi.nlm.nih.gov/pmc/blobs/34da/6592217/628c58b63e5a/c8tb02575d-f6.jpg
https://cdn.ncbi.nlm.nih.gov/pmc/blobs/34da/6592217/4adb0f7ca377/c8tb02575d-f7.jpg
https://cdn.ncbi.nlm.nih.gov/pmc/blobs/34da/6592217/fbb18f7c2b9f/c8tb02575d-f8.jpg
https://cdn.ncbi.nlm.nih.gov/pmc/blobs/34da/6592217/a9ba6961e671/c8tb02575d-f9.jpg

相似文献

1
Influence of charged groups on the cross-linking efficiency and release of guest molecules from thiol-ene cross-linked poly(2-oxazoline) hydrogels.带电荷基团对硫醇-烯点击共聚聚(2-恶唑啉)水凝胶的交联效率及客体分子释放的影响。
J Mater Chem B. 2019 Mar 14;7(10):1782-1794. doi: 10.1039/c8tb02575d. Epub 2019 Feb 13.
2
Poly(2-oxazoline) hydrogels for controlled fibroblast attachment.聚(2-恶唑啉)水凝胶用于控制成纤维细胞黏附。
Biomacromolecules. 2013 Aug 12;14(8):2724-32. doi: 10.1021/bm400518h. Epub 2013 Jul 29.
3
Side-chain cysteine-functionalized poly(2-oxazoline)s for multiple peptide conjugation by native chemical ligation.用于通过天然化学连接进行多肽共轭的侧链半胱氨酸功能化聚(2-恶唑啉)
Biomacromolecules. 2015 Apr 13;16(4):1088-94. doi: 10.1021/bm501697t. Epub 2015 Mar 20.
4
Poly(2-oxazoline) hydrogel monoliths via thiol-ene coupling.通过硫醇-烯点击反应制备聚(2-恶唑啉)水凝胶整体材料。
Macromol Rapid Commun. 2012 Oct 15;33(19):1695-700. doi: 10.1002/marc.201200249. Epub 2012 Aug 7.
5
Synthesis of poly(2-oxazoline)-based hydrogels with tailor-made swelling degrees capable of stimuli-triggered compound release.合成具有定制溶胀度的聚(2-恶唑啉)水凝胶,能够触发化合物的释放。
Macromol Rapid Commun. 2011 Nov 15;32(22):1815-9. doi: 10.1002/marc.201100409. Epub 2011 Sep 20.
6
Matrix supported poly(2-oxazoline)-based hydrogels for DNA catch and release.用于DNA捕获和释放的基质支撑的聚(2-恶唑啉)基水凝胶。
Biomacromolecules. 2014 Jun 9;15(6):1970-8. doi: 10.1021/bm500236y. Epub 2014 May 5.
7
Design and Synthesis of Hybrid Thermo-Responsive Hydrogels Based on Poly(2-oxazoline) and Gelatin Derivatives.基于聚(2-恶唑啉)和明胶衍生物的混合热响应水凝胶的设计与合成
Gels. 2022 Jan 18;8(2):64. doi: 10.3390/gels8020064.
8
Synthesis, characterization and biocompatibility of poly(2-ethyl-2-oxazoline)-poly(D,L-lactide)-poly(2-ethyl-2-oxazoline) hydrogels.聚(2-乙基-2-恶唑啉)-聚(D,L-丙交酯)-聚(2-乙基-2-恶唑啉)水凝胶的合成、表征及生物相容性。
Acta Biomater. 2011 Dec;7(12):4149-59. doi: 10.1016/j.actbio.2011.07.011. Epub 2011 Jul 14.
9
Cross-linking and degradation of step-growth hydrogels formed by thiol-ene photoclick chemistry.巯基-烯光点击化学形成的逐步增长水凝胶的交联和降解。
Biomacromolecules. 2012 Jul 9;13(7):2003-12. doi: 10.1021/bm300752j. Epub 2012 Jun 22.
10
Bone-Adhesive Hydrogels Based on Dual Crosslinked Poly(2-oxazoline)s.基于双交联聚(2-恶唑啉)的骨粘合剂水凝胶
Macromol Biosci. 2021 Dec;21(12):e2100257. doi: 10.1002/mabi.202100257. Epub 2021 Oct 5.

引用本文的文献

1
Polymers and Bioactive Compounds with a Macrophage Modulation Effect for the Rational Design of Hydrogels for Skin Regeneration.具有巨噬细胞调节作用的聚合物和生物活性化合物用于皮肤再生水凝胶的合理设计
Pharmaceutics. 2023 Jun 5;15(6):1655. doi: 10.3390/pharmaceutics15061655.
2
Injectable Hydrogel Based on Protein-Polyester Microporous Network as an Implantable Niche for Active Cell Recruitment.基于蛋白质-聚酯微孔网络的可注射水凝胶作为用于主动细胞招募的可植入微环境
Pharmaceutics. 2022 Mar 26;14(4):709. doi: 10.3390/pharmaceutics14040709.
3
Determination of the Degree of Crystallinity of Poly(2-methyl-2-oxazoline).

本文引用的文献

1
Covalently cross-linked poly(2-oxazoline) materials for biomedical applications - from hydrogels to self-assembled and templated structures.用于生物医学应用的共价交联聚(2-恶唑啉)材料——从水凝胶到自组装和模板化结构
J Mater Chem B. 2015 Jan 28;3(4):526-538. doi: 10.1039/c4tb01660b. Epub 2014 Dec 10.
2
A Thermogelling Supramolecular Hydrogel with Sponge-Like Morphology as a Cytocompatible Bioink.一种具有海绵状形态的热凝胶超分子水凝胶作为细胞相容性生物墨水。
Biomacromolecules. 2017 Jul 10;18(7):2161-2171. doi: 10.1021/acs.biomac.7b00481. Epub 2017 Jun 27.
3
UV-mediated thiol-ene click reactions for the synthesis of drug-loadable and degradable gels based on copoly(2-oxazoline)s.
聚(2-甲基-2-恶唑啉)结晶度的测定
Polymers (Basel). 2021 Dec 13;13(24):4356. doi: 10.3390/polym13244356.
4
Thiol-Substituted Poly(2-oxazoline)s with Photolabile Protecting Groups-Tandem Network Formation by Light.带有光不稳定保护基团的硫醇取代聚(2-恶唑啉)——通过光形成串联网络
Polymers (Basel). 2020 Aug 7;12(8):1767. doi: 10.3390/polym12081767.
5
Hydrogels Based Drug Delivery Synthesis, Characterization and Administration.基于水凝胶的药物递送:合成、表征与给药
Pharmaceutics. 2019 Aug 23;11(9):432. doi: 10.3390/pharmaceutics11090432.
基于聚(2-恶唑啉)的用于合成可载药和可降解凝胶的紫外线介导的硫醇-烯点击反应
Eur Polym J. 2017 Apr;88:701-712. doi: 10.1016/j.eurpolymj.2016.08.012. Epub 2016 Aug 20.
4
Impact of the Molecular Environment on Thiol-Ene Coupling For Biofunctionalization and Conjugation.分子环境对用于生物功能化和共轭的硫醇-烯偶联反应的影响。
Bioconjug Chem. 2016 Sep 21;27(9):2111-23. doi: 10.1021/acs.bioconjchem.6b00349. Epub 2016 Aug 23.
5
A high capacity polymeric micelle of paclitaxel: Implication of high dose drug therapy to safety and in vivo anti-cancer activity.一种高容量的紫杉醇聚合物胶束:高剂量药物治疗对安全性及体内抗癌活性的影响。
Biomaterials. 2016 Sep;101:296-309. doi: 10.1016/j.biomaterials.2016.06.002. Epub 2016 Jun 4.
6
Thiol-ene Clickable Poly(glycidol) Hydrogels for Biofabrication.用于生物制造的硫醇-烯可点击聚缩水甘油水凝胶
Ann Biomed Eng. 2017 Jan;45(1):273-285. doi: 10.1007/s10439-016-1633-3. Epub 2016 May 13.
7
Side-chain cysteine-functionalized poly(2-oxazoline)s for multiple peptide conjugation by native chemical ligation.用于通过天然化学连接进行多肽共轭的侧链半胱氨酸功能化聚(2-恶唑啉)
Biomacromolecules. 2015 Apr 13;16(4):1088-94. doi: 10.1021/bm501697t. Epub 2015 Mar 20.
8
Poly(2-oxazoline) based micelles with high capacity for 3rd generation taxoids: preparation, in vitro and in vivo evaluation.基于聚(2-恶唑啉)的、对第三代紫杉烷类具有高载药量的胶束:制备、体外和体内评价
J Control Release. 2015 Jun 28;208:67-75. doi: 10.1016/j.jconrel.2015.02.024. Epub 2015 Feb 26.
9
Cysteine-functional polymers via thiol-ene conjugation.通过硫醇-烯共轭反应制备的含半胱氨酸功能聚合物。
Macromol Rapid Commun. 2015 Mar;36(5):472-6. doi: 10.1002/marc.201400703. Epub 2015 Jan 21.
10
Poly(2-oxazoline) hydrogels for controlled fibroblast attachment.聚(2-恶唑啉)水凝胶用于控制成纤维细胞黏附。
Biomacromolecules. 2013 Aug 12;14(8):2724-32. doi: 10.1021/bm400518h. Epub 2013 Jul 29.