Suppr超能文献

武汉成人 COVID-19 住院患者严重程度和死亡率的危险因素。

Risk factors for severity and mortality in adult COVID-19 inpatients in Wuhan.

机构信息

Department of Pulmonary and Critical Care Medicine, Tongji Hospital, Tongji Medical College, Huazhong University of Science and Technology, Wuhan, China; Key Laboratory of Respiratory Diseases, National Ministry of Health of the People's Republic of China and National Clinical Research Center for Respiratory Disease, Wuhan, China.

United Imaging Healthcare Co Ltd, Wuhan, China.

出版信息

J Allergy Clin Immunol. 2020 Jul;146(1):110-118. doi: 10.1016/j.jaci.2020.04.006. Epub 2020 Apr 12.

Abstract

BACKGROUND

In December 2019, the coronavirus disease 2019 (COVID-19) outbreak occurred in Wuhan. Data on the clinical characteristics and outcomes of patients with severe COVID-19 are limited.

OBJECTIVE

We sought to evaluate the severity on admission, complications, treatment, and outcomes of patients with COVID-19.

METHODS

Patients with COVID-19 admitted to Tongji Hospital from January 26, 2020, to February 5, 2020, were retrospectively enrolled and followed-up until March 3, 2020. Potential risk factors for severe COVID-19 were analyzed by a multivariable binary logistic model. Cox proportional hazard regression model was used for survival analysis in severe patients.

RESULTS

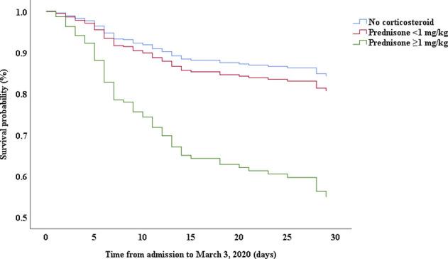
We identified 269 (49.1%) of 548 patients as severe cases on admission. Older age, underlying hypertension, high cytokine levels (IL-2R, IL-6, IL-10, and TNF-α), and high lactate dehydrogenase level were significantly associated with severe COVID-19 on admission. The prevalence of asthma in patients with COVID-19 was 0.9%, markedly lower than that in the adult population of Wuhan. The estimated mortality was 1.1% in nonsevere patients and 32.5% in severe cases during the average 32 days of follow-up period. Survival analysis revealed that male sex, older age, leukocytosis, high lactate dehydrogenase level, cardiac injury, hyperglycemia, and high-dose corticosteroid use were associated with death in patients with severe COVID-19.

CONCLUSIONS

Patients with older age, hypertension, and high lactate dehydrogenase level need careful observation and early intervention to prevent the potential development of severe COVID-19. Severe male patients with heart injury, hyperglycemia, and high-dose corticosteroid use may have a high risk of death.

摘要

背景

2019 年 12 月,新型冠状病毒病 2019(COVID-19)疫情在武汉爆发。关于重症 COVID-19 患者的临床特征和结局的数据有限。

目的

我们旨在评估 COVID-19 患者入院时的严重程度、并发症、治疗和结局。

方法

回顾性纳入 2020 年 1 月 26 日至 2020 年 2 月 5 日期间因 COVID-19 入住同济医院的患者,并进行随访,直至 2020 年 3 月 3 日。采用多变量二项逻辑模型分析重症 COVID-19 的潜在危险因素。采用 Cox 比例风险回归模型对重症患者进行生存分析。

结果

我们发现 548 例患者中有 269 例(49.1%)入院时为重症。高龄、基础高血压、高细胞因子水平(IL-2R、IL-6、IL-10 和 TNF-α)和高乳酸脱氢酶水平与入院时重症 COVID-19 显著相关。COVID-19 患者中哮喘的患病率为 0.9%,明显低于武汉市成年人的患病率。非重症患者的估计死亡率为 1.1%,重症患者在平均 32 天的随访期间的死亡率为 32.5%。生存分析显示,男性、高龄、白细胞增多、高乳酸脱氢酶水平、心脏损伤、高血糖和大剂量皮质类固醇的使用与重症 COVID-19 患者的死亡相关。

结论

对于高龄、高血压和高乳酸脱氢酶水平的患者,需要密切观察和早期干预,以防止重症 COVID-19 的潜在发展。有心脏损伤、高血糖和大剂量皮质类固醇使用的严重男性患者可能有较高的死亡风险。

https://cdn.ncbi.nlm.nih.gov/pmc/blobs/4385/7152876/7f54db7f1c7d/gr1_lrg.jpg

文献检索

告别复杂PubMed语法,用中文像聊天一样搜索,搜遍4000万医学文献。AI智能推荐,让科研检索更轻松。

立即免费搜索

文件翻译

保留排版,准确专业,支持PDF/Word/PPT等文件格式,支持 12+语言互译。

免费翻译文档

深度研究

AI帮你快速写综述,25分钟生成高质量综述,智能提取关键信息,辅助科研写作。

立即免费体验