Suppr超能文献

再生聚丙烯纤维作为基于波特兰水泥的混凝土制备添加剂的特性

Characteristics of Recycled Polypropylene Fibers as an Addition to Concrete Fabrication Based on Portland Cement.

作者信息

Małek Marcin, Jackowski Mateusz, Łasica Waldemar, Kadela Marta

机构信息

Faculty of Civil Engineering and Geodesy, Military University of Technology in Warsaw, ul. Gen. Sylwestra Kaliskiego 2, 01-476 Warsaw, Poland.

Building Research Institute (ITB), ul. Filtrowa 1, 00-611 Warsaw, Poland.

出版信息

Materials (Basel). 2020 Apr 13;13(8):1827. doi: 10.3390/ma13081827.

Abstract

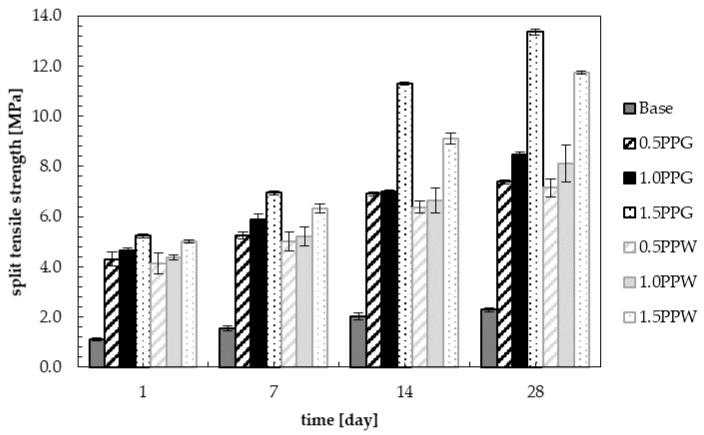
High-performance concrete has low tensile strength and brittle failure. In order to improve these properties of unreinforced concrete, the effects of adding recycled polypropylene fibers on the mechanical properties of concrete were investigated. The polypropylene fibers used were made from recycled plastic packaging for environmental reasons (long degradation time). The compressive, flexural and split tensile strengths after 1, 7, 14 and 28 days were tested. Moreover, the initial and final binding times were determined. This experimental work has included three different contents (0.5, 1.0 and 1.5 wt.% of cement) for two types of recycled polypropylene fibers. The addition of fibers improves the properties of concrete. The highest values of mechanical properties were obtained for concrete with 1.0% of polypropylene fibers for each type of fiber. The obtained effect of an increase in mechanical properties with the addition of recycled fibers compared to unreinforced concrete is unexpected and unparalleled for polypropylene fiber-reinforced concrete (69.7% and 39.4% increase in compressive strength for green polypropylene fiber (PPG) and white polypropylene fiber (PPW) respectively, 276.0% and 162.4% increase in flexural strength for PPG and PPW respectively, and 269.4% and 254.2% increase in split tensile strength for PPG and PPW respectively).

摘要

高性能混凝土具有较低的抗拉强度且易发生脆性破坏。为改善无筋混凝土的这些性能,研究了添加回收聚丙烯纤维对混凝土力学性能的影响。出于环保原因(降解时间长),所使用的聚丙烯纤维由回收塑料包装制成。测试了1天、7天、14天和28天后的抗压强度、抗折强度和劈裂抗拉强度。此外,还测定了初凝时间和终凝时间。本试验工作针对两种类型的回收聚丙烯纤维包括了三种不同的含量(水泥重量的0.5%、1.0%和1.5%)。纤维的添加改善了混凝土的性能。对于每种类型的纤维,含1.0%聚丙烯纤维的混凝土获得了最高的力学性能值。与无筋混凝土相比,添加回收纤维后力学性能提高的效果对于聚丙烯纤维增强混凝土来说是意想不到且无与伦比的(绿色聚丙烯纤维(PPG)和白色聚丙烯纤维(PPW)的抗压强度分别提高了69.7%和39.4%,PPG和PPW的抗折强度分别提高了276.0%和162.4%,PPG和PPW的劈裂抗拉强度分别提高了269.4%和254.2%)。

https://cdn.ncbi.nlm.nih.gov/pmc/blobs/a126/7216011/744b7142b964/materials-13-01827-g001.jpg

文献检索

告别复杂PubMed语法,用中文像聊天一样搜索,搜遍4000万医学文献。AI智能推荐,让科研检索更轻松。

立即免费搜索

文件翻译

保留排版,准确专业,支持PDF/Word/PPT等文件格式,支持 12+语言互译。

免费翻译文档

深度研究

AI帮你快速写综述,25分钟生成高质量综述,智能提取关键信息,辅助科研写作。

立即免费体验