Suppr超能文献

孕期补充维生素 D 对健康女性循环中生长因子和免疫介质浓度的影响。

Effects of vitamin D supplementation on circulating concentrations of growth factors and immune-mediators in healthy women during pregnancy.

机构信息

Department of Public Health Sciences, Medical University of South Carolina, Charleston, SC, 29425, USA.

Department of Otolaryngology - Head & Neck Surgery, Medical University of South Carolina, Charleston, SC, 29425, USA.

出版信息

Pediatr Res. 2021 Feb;89(3):554-562. doi: 10.1038/s41390-020-0885-7. Epub 2020 Apr 20.

Abstract

BACKGROUND

For the second aim of the Kellogg Foundation grant, this double-blind RCT investigated the impact of plasma vitamin D metabolite 25-hydroxyvitamin D (25(OH)D) on plasma immune-mediators during pregnancy. We hypothesized that higher 25(OH)D concentrations would associate with reduced pro-inflammatory and increased tolerogenic immune-mediator concentrations.

METHODS

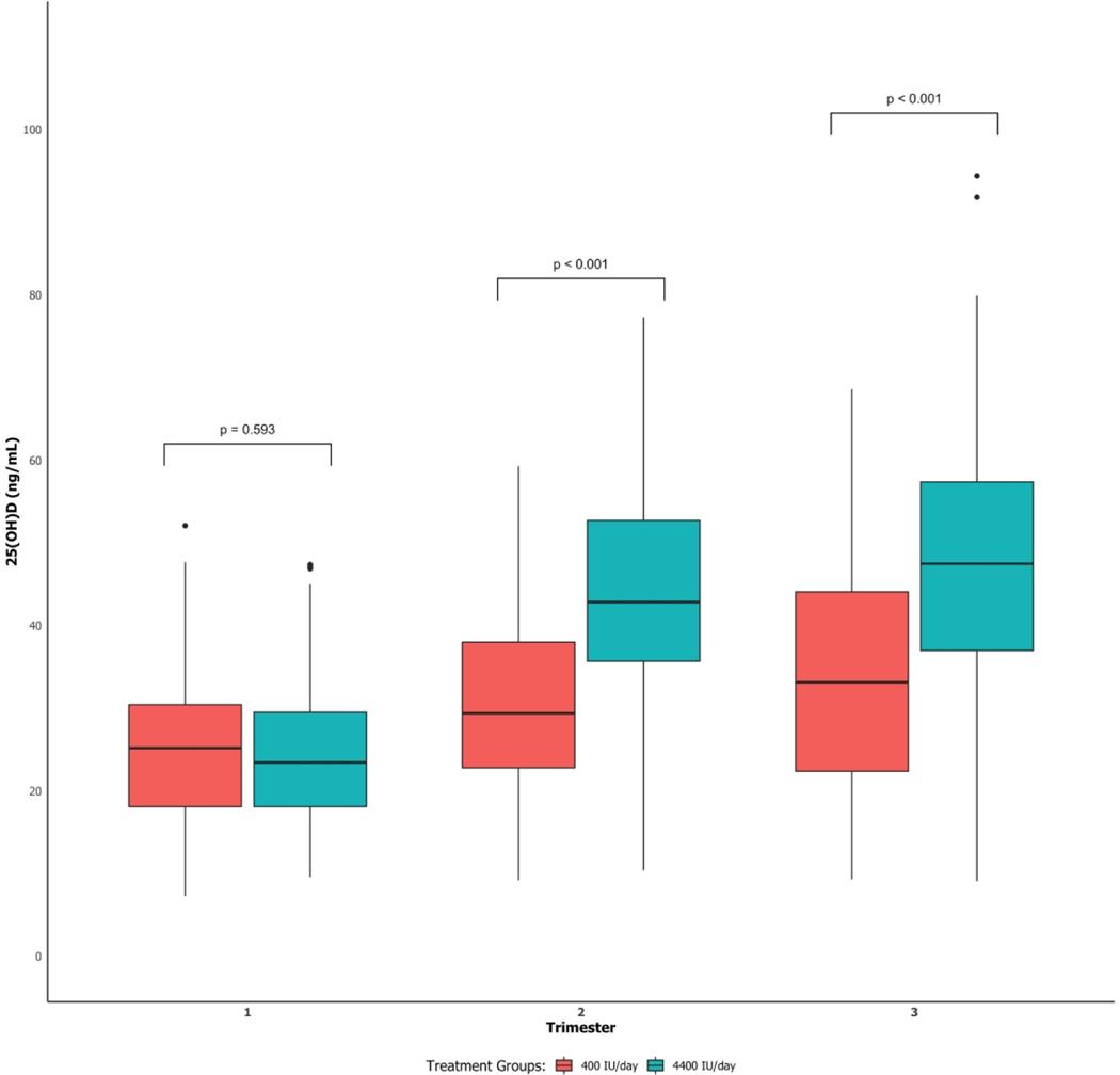
Pregnant women enrolled at 10-14 weeks gestation were randomized to 400 or 4400 IU vitamin D/day. Data on health, safety, circulating 25(OH)D, and 9 immune-mediators were collected at each trimester. Associations between immune-mediators and 25(OH)D at baseline and at second and third trimesters were examined.

RESULTS

Baseline TGF-β and second and third trimesters IFN-γ and IL-2 were associated with baseline 25(OH)D. Baseline immune-mediators were associated with immune-mediators at second and third trimesters for all immune-mediators except IL-5 and IL-10. Race was associated with baseline TGF-β, VEGF and IL-10 and with IL-10 at second and third trimesters.

CONCLUSIONS

Both treatment groups had increased 25(OH)D at second and third trimesters, greatest in the 4400 IU group. Though associations between baseline 25(OH)D and baseline TGF-β and second and third trimester IFN-γ and IL-2 were noted, vitamin D supplementation throughout pregnancy did not impact immune-mediators at later trimesters. Supplementing with vitamin D before conception conceivably influences immune-mediator responses during pregnancy.

IMPACT

In this vitamin D supplementation clinical trial, baseline (first trimester) but not increasing plasma 25(OH)D concentration impacted select plasma immune-mediator profiles in pregnant women. Baseline 25(OH)D was associated with baseline TGF-β and with IFN-γ and IL-2 at second and third trimesters. Baseline IFN-γ, CRP, TGF-β, TNF-α, VEGF, IL-2, and IL-4 were associated with concentrations at second and third trimesters for respective immune-mediators; however, 25(OH)D concentration at second and third trimesters were not. Some racial differences existed in immune-mediator concentrations at baseline and at second and third trimesters. This study assesses the impact of vitamin D supplementation on multiple immune-mediators in pregnant women of different racial/ethnic groups using longitudinal data from a relatively large randomized controlled trial. This study found that race was associated with baseline TGF-β, VEGF, and IL-10 and with IL-10 at second and third trimesters, a novel finding that sheds light where relationships were less well defined. The results of this study suggest that vitamin D supplementation before conception or early in pregnancy, rather than during pregnancy, may be necessary to significantly impact immune-mediator response. This study sets premise for future clinical trials to evaluate the effect of vitamin D supplementation before conception or prior to pregnancy.

摘要

背景

为了实现凯洛格基金会资助的第二个目标,本项双盲 RCT 研究了血浆维生素 D 代谢产物 25-羟维生素 D(25(OH)D)在孕期对血浆免疫调节剂的影响。我们假设较高的 25(OH)D 浓度与减少促炎和增加耐受免疫调节剂浓度相关。

方法

在妊娠 10-14 周时招募入组的孕妇被随机分配至每天接受 400 或 4400IU 维生素 D。在每个孕期均收集健康、安全、循环 25(OH)D 和 9 种免疫调节剂的数据。检查基线和第二和第三孕期 25(OH)D 与免疫调节剂之间的相关性。

结果

基线 TGF-β和第二和第三孕期 IFN-γ和 IL-2 与基线 25(OH)D 相关。除 IL-5 和 IL-10 外,所有免疫调节剂的基线免疫调节剂与第二和第三孕期的免疫调节剂相关。种族与基线 TGF-β、VEGF 和 IL-10 以及第二和第三孕期的 IL-10 相关。

结论

两组孕妇在第二和第三孕期的 25(OH)D 均增加,4400IU 组增加最显著。虽然注意到基线 25(OH)D 与基线 TGF-β以及第二和第三孕期 IFN-γ和 IL-2 之间存在相关性,但在整个孕期补充维生素 D 并未影响后期孕期的免疫调节剂。在受孕前补充维生素 D 可能会影响怀孕期间的免疫调节剂反应。

影响

在这项维生素 D 补充临床试验中,基线(第一孕期)而非增加的血浆 25(OH)D 浓度影响了孕妇的部分血浆免疫调节剂特征。基线 25(OH)D 与基线 TGF-β以及第二和第三孕期的 IFN-γ和 IL-2 相关。基线 IFN-γ、CRP、TGF-β、TNF-α、VEGF、IL-2 和 IL-4 与各自的免疫调节剂的第二和第三孕期浓度相关;然而,第二和第三孕期的 25(OH)D 浓度与免疫调节剂浓度不相关。在基线和第二和第三孕期,一些种族的免疫调节剂浓度存在差异。本研究使用来自相对较大的随机对照试验的纵向数据,评估了不同种族/族裔群体孕妇的维生素 D 补充对多种免疫调节剂的影响。本研究发现,种族与基线 TGF-β、VEGF 和 IL-10 以及第二和第三孕期的 IL-10 相关,这是一个新发现,阐明了之前关系不太明确的地方。本研究结果表明,在受孕前或孕早期而非孕期补充维生素 D 可能对免疫调节剂反应产生显著影响。本研究为未来评估受孕前或妊娠前补充维生素 D 的效果的临床试验奠定了基础。

https://cdn.ncbi.nlm.nih.gov/pmc/blobs/128a/8715366/597fa36ddda9/nihms-1579887-f0001.jpg

文献AI研究员

20分钟写一篇综述,助力文献阅读效率提升50倍。

立即体验

用中文搜PubMed

大模型驱动的PubMed中文搜索引擎

马上搜索

文档翻译

学术文献翻译模型,支持多种主流文档格式。

立即体验