Suppr超能文献

基于深度学习的行人导航实时人体活动识别。

Deep Learning-Based Human Activity Real-Time Recognition for Pedestrian Navigation.

机构信息

College of Geology Engineering and Geomantic, Chang'an University, 710054 Xi'an , Shanxi, China.

Department of Land Surveying and Geo-Informatics, Hong Kong Polytechnic University, 999077 Hong Kong, China.

出版信息

Sensors (Basel). 2020 Apr 30;20(9):2574. doi: 10.3390/s20092574.

Abstract

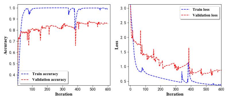
Several pedestrian navigation solutions have been proposed to date, and most of them are based on smartphones. Real-time recognition of pedestrian mode and smartphone posture is a key issue in navigation. Traditional ML (Machine Learning) classification methods have drawbacks, such as insufficient recognition accuracy and poor timing. This paper presents a real-time recognition scheme for comprehensive human activities, and this scheme combines deep learning algorithms and MEMS (Micro-Electro-Mechanical System) sensors' measurements. In this study, we performed four main experiments, namely pedestrian motion mode recognition, smartphone posture recognition, real-time comprehensive pedestrian activity recognition, and pedestrian navigation. In the procedure of recognition, we designed and trained deep learning models using LSTM (Long Short-Term Memory) and CNN (Convolutional Neural Network) networks based on Tensorflow framework. The accuracy of traditional ML classification methods was also used for comparison. Test results show that the accuracy of motion mode recognition was improved from 89 . 9 % , which was the highest accuracy and obtained by SVM (Support Vector Machine), to 90 . 74 % (LSTM) and 91 . 92 % (CNN); the accuracy of smartphone posture recognition was improved from 81 . 60 % , which is the highest accuracy and obtained by NN (Neural Network), to 93 . 69 % (LSTM) and 95 . 55 % (CNN). We give a model transformation procedure based on the trained CNN network model, and then obtain the converted . t f l i t e model, which can be run in Android devices for real-time recognition. Real-time recognition experiments were performed in multiple scenes, a recognition model trained by the CNN network was deployed in a Huawei Mate20 smartphone, and the five most used pedestrian activities were designed and verified. The overall accuracy was up to 89 . 39 % . Overall, the improvement of recognition capability based on deep learning algorithms was significant. Therefore, the solution was helpful to recognize comprehensive pedestrian activities during navigation. On the basis of the trained model, a navigation test was performed; mean bias was reduced by more than 1.1 m. Accordingly, the positioning accuracy was improved obviously, which is meaningful to apply DL in the area of pedestrian navigation to make improvements.

摘要

目前已经提出了几种行人导航解决方案,其中大多数都是基于智能手机的。实时识别行人模式和智能手机姿态是导航中的关键问题。传统的机器学习 (ML) 分类方法存在识别精度不足和实时性差等缺点。本文提出了一种实时综合人体活动识别方案,该方案结合了深度学习算法和微机电系统 (MEMS) 传感器的测量。在本研究中,我们进行了四项主要实验,即行人运动模式识别、智能手机姿态识别、实时综合行人活动识别和行人导航。在识别过程中,我们使用基于 Tensorflow 框架的 LSTM (长短期记忆) 和 CNN (卷积神经网络) 网络设计和训练了深度学习模型。还比较了传统 ML 分类方法的准确性。测试结果表明,运动模式识别的准确率从 SVM (支持向量机) 获得的最高准确率 89.9%提高到 90.74% (LSTM) 和 91.92% (CNN);智能手机姿态识别的准确率从神经网络获得的最高准确率 81.60%提高到 93.69% (LSTM) 和 95.55% (CNN)。我们给出了一种基于训练好的 CNN 网络模型的模型转换过程,然后得到转换后的.tflite 模型,可以在 Android 设备上运行进行实时识别。在多个场景中进行了实时识别实验,在华为 Mate20 智能手机上部署了经过 CNN 网络训练的识别模型,并设计和验证了五个最常用的行人活动。整体准确率达到 89.39%。总体而言,基于深度学习算法的识别能力的提高是显著的。因此,该解决方案有助于在导航过程中识别综合行人活动。在此基础上进行了导航测试,平均偏差减少了 1.1 米以上。因此,定位精度明显提高,这对于将 DL 应用于行人导航领域以进行改进具有重要意义。

https://cdn.ncbi.nlm.nih.gov/pmc/blobs/ddab/7248737/34aa43b70ffb/sensors-20-02574-g001.jpg

文献AI研究员

20分钟写一篇综述,助力文献阅读效率提升50倍。

立即体验

用中文搜PubMed

大模型驱动的PubMed中文搜索引擎

马上搜索

文档翻译

学术文献翻译模型,支持多种主流文档格式。

立即体验