Suppr超能文献

杜氏肌营养不良症和贝克肌营养不良症中三种微小RNA的纵向研究

Longitudinal Study of Three microRNAs in Duchenne Muscular Dystrophy and Becker Muscular Dystrophy.

作者信息

Trifunov Selena, Natera-de Benito Daniel, Exposito Escudero Jesica Maria, Ortez Carlos, Medina Julita, Cuadras Daniel, Badosa Carmen, Carrera Laura, Nascimento Andres, Jimenez-Mallebrera Cecilia

机构信息

Neuromuscular Unit, Neuropaediatrics Department, Institut de Recerca Sant Joan de Déu, Hospital Sant Joan de Déu, Barcelona, Spain.

Rehabilitation and Physical Unit Department, Hospital Sant Joan de Deu, Barcelona, Spain.

出版信息

Front Neurol. 2020 Apr 21;11:304. doi: 10.3389/fneur.2020.00304. eCollection 2020.

Abstract

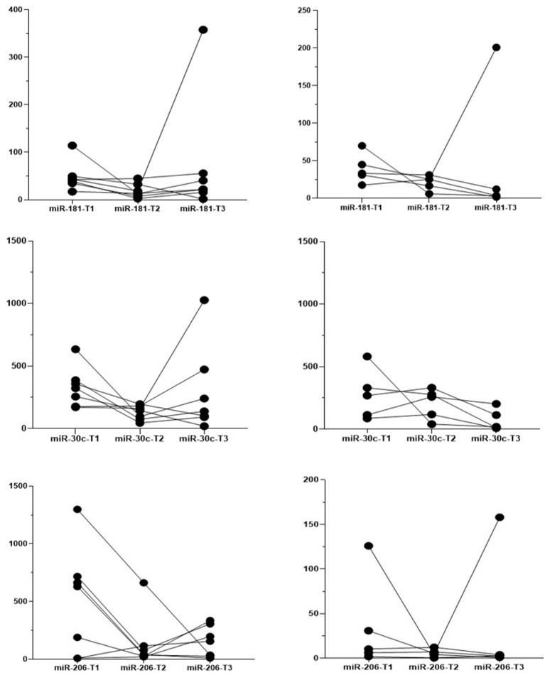
Our objective was to investigate the potential of three microRNAs, miR-181a-5p, miR-30c-5p, and miR-206 as prognostic biomarkers for long-term follow up of Duchenne muscular dystrophy (DMD) and Becker muscular dystrophy (BMD) patients. We analyzed the expression of three microRNAs in serum of 18 patients (DMD 13, BMD 5) and 13 controls using droplet digital PCR. Over 4 years a minimum of two and a maximum of three measurements were performed at different time points in the same patient. Correlations between microRNA serum levels, age, and functional outcome measures were analyzed. We show the individual evolution of the levels of the three microRNAs in 12 patients and also the effect of corticosteroid treatment on microRNAs expression. We measure the expression of three microRNAs in the muscle of six DMD patients and also the expression of target genes for miR-30c. We found that levels of miR-30c and miR-206 remained significantly elevated in DMD patients relative to controls over the entire study length. The introduction of the corticosteroid treatment did not significantly influence the levels of these microRNAs. We report a trend for microRNA levels to decrease with age. Moreover, miR-206 expression levels are capable to distinguish DMD from BMD patients according to ROC analysis. We found miR-30c expression decreased in the muscle of DMD patients and marked upregulation of the target genes for this microRNA. MiR-30c and miR-206 represent sensitive biomarkers for DMD, while miR-206 may have an additional value to distinguish the DMD and BMD phenotype. This may be particularly relevant to assess the effectiveness of treatments aimed at converting the DMD to the less-severe BMD like phenotype.

摘要

我们的目标是研究三种微小RNA,即miR-181a-5p、miR-30c-5p和miR-206作为杜氏肌营养不良症(DMD)和贝克肌营养不良症(BMD)患者长期随访预后生物标志物的潜力。我们使用液滴数字PCR分析了18例患者(13例DMD、5例BMD)和13例对照血清中三种微小RNA的表达。在4年多的时间里,对同一患者在不同时间点进行了至少两次、最多三次测量。分析了微小RNA血清水平、年龄和功能结局指标之间的相关性。我们展示了12例患者中三种微小RNA水平的个体变化,以及皮质类固醇治疗对微小RNA表达的影响。我们测量了6例DMD患者肌肉中三种微小RNA的表达以及miR-30c靶基因的表达。我们发现,在整个研究期间,DMD患者中miR-30c和miR-206的水平相对于对照组仍显著升高。皮质类固醇治疗的引入并未显著影响这些微小RNA的水平。我们报告了微小RNA水平随年龄下降的趋势。此外,根据ROC分析,miR-206表达水平能够区分DMD和BMD患者。我们发现DMD患者肌肉中miR-30c表达下降,且该微小RNA的靶基因显著上调。miR-30c和miR-206是DMD的敏感生物标志物,而miR-206可能在区分DMD和BMD表型方面具有额外价值。这对于评估旨在将DMD转化为较轻的BMD样表型的治疗效果可能特别相关。

https://cdn.ncbi.nlm.nih.gov/pmc/blobs/df06/7186470/7d67cb442ab0/fneur-11-00304-g0001.jpg

文献AI研究员

20分钟写一篇综述,助力文献阅读效率提升50倍。

立即体验

用中文搜PubMed

大模型驱动的PubMed中文搜索引擎

马上搜索

文档翻译

学术文献翻译模型,支持多种主流文档格式。

立即体验