• 文献检索
  • 文档翻译
  • 深度研究
  • 学术资讯
  • Suppr Zotero 插件Zotero 插件
  • 邀请有礼
  • 套餐&价格
  • 历史记录
应用&插件
Suppr Zotero 插件Zotero 插件浏览器插件Mac 客户端Windows 客户端微信小程序
定价
高级版会员购买积分包购买API积分包
服务
文献检索文档翻译深度研究API 文档MCP 服务
关于我们
关于 Suppr公司介绍联系我们用户协议隐私条款
关注我们

Suppr 超能文献

核心技术专利:CN118964589B侵权必究
粤ICP备2023148730 号-1Suppr @ 2026

文献检索

告别复杂PubMed语法,用中文像聊天一样搜索,搜遍4000万医学文献。AI智能推荐,让科研检索更轻松。

立即免费搜索

文件翻译

保留排版,准确专业,支持PDF/Word/PPT等文件格式,支持 12+语言互译。

免费翻译文档

深度研究

AI帮你快速写综述,25分钟生成高质量综述,智能提取关键信息,辅助科研写作。

立即免费体验

炎症性肠病患儿缺铁的诊断中生物标志物和血液学指标的应用

Biomarkers and Hematological Indices in the Diagnosis of Iron Deficiency in Children with Inflammatory Bowel Disease.

机构信息

Department of Pediatrics and Gastroenterology, Medical University of Lublin, Al. Racławickie 1, 20-059 Lublin, Poland.

出版信息

Nutrients. 2020 May 9;12(5):1358. doi: 10.3390/nu12051358.

DOI:10.3390/nu12051358
PMID:32397525
原文链接:https://pmc.ncbi.nlm.nih.gov/articles/PMC7284745/
Abstract

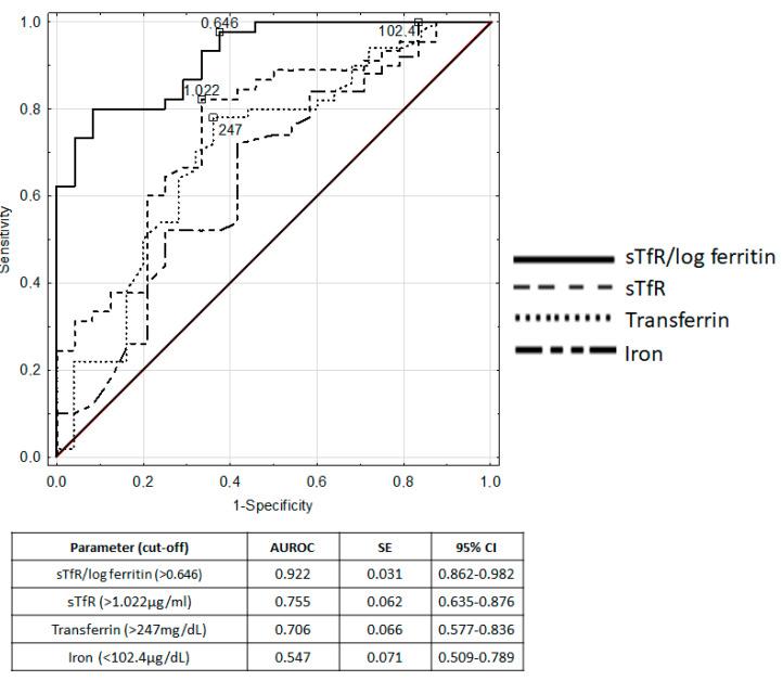
Inflammation may affect many routinely available parameters of iron homeostasis. Thus, the recognition of iron deficiency in inflammatory bowel disease (IBD) remains a diagnostic challenge in a clinical routine. The aim of the study was to detect the most efficient marker of iron deficiency in IBD children. In a group of 75 IBD children, we evaluated the sensitivity, specificity, accuracy, and positive and negative predictive values of erythrocytes' indices, including MCV, MCH, MCHC and RDW, and biochemical markers, including iron, transferrin, sTfR and sTfR/log ferritin, for identifying iron deficiency. Receiver operating characteristic (ROC) analysis was used to compare the ability of these parameters to detect iron deficiency. The best predictors of iron deficiency were sTfR/log ferritin, with accuracy 0.86, sensitivity 0.98, specificity 0.63, positive predictive value 0.83 and negative predictive value 0.94, and sTfR, with accuracy 0.77, sensitivity 0.82, specificity 0.67, positive predictive value 0.82 and negative predictive value 0.67. Moreover, sTfR/log ferritin exhibited the largest area under ROC (0.922), followed by sTfR (0.755) and MCH (0.720). The sTfR/log ferritin index appears to be the most efficient marker of iron depletion in pediatric IBD, and it may give an added value in the management of IBD patients.

摘要

炎症可能会影响铁稳态的许多常规参数。因此,在临床常规中,识别炎症性肠病 (IBD) 中的缺铁仍然是一个诊断挑战。本研究的目的是检测 IBD 儿童缺铁的最有效标志物。在 75 名 IBD 儿童的组中,我们评估了红细胞指数(包括 MCV、MCH、MCHC 和 RDW)和生化标志物(包括铁、转铁蛋白、sTfR 和 sTfR/铁蛋白)的灵敏度、特异性、准确性、阳性和阴性预测值,用于识别缺铁。使用受试者工作特征 (ROC) 分析比较这些参数识别缺铁的能力。sTfR/log 铁蛋白是缺铁的最佳预测指标,准确性为 0.86,灵敏度为 0.98,特异性为 0.63,阳性预测值为 0.83,阴性预测值为 0.94,sTfR 的准确性为 0.77,灵敏度为 0.82,特异性为 0.67,阳性预测值为 0.82,阴性预测值为 0.67。此外,sTfR/log 铁蛋白的 ROC 曲线下面积最大(0.922),其次是 sTfR(0.755)和 MCH(0.720)。sTfR/log 铁蛋白指数似乎是小儿 IBD 缺铁的最有效标志物,它可能为 IBD 患者的管理提供附加价值。

https://cdn.ncbi.nlm.nih.gov/pmc/blobs/8295/7284745/698652418248/nutrients-12-01358-g002.jpg
https://cdn.ncbi.nlm.nih.gov/pmc/blobs/8295/7284745/ab71ded8b1e7/nutrients-12-01358-g001.jpg
https://cdn.ncbi.nlm.nih.gov/pmc/blobs/8295/7284745/698652418248/nutrients-12-01358-g002.jpg
https://cdn.ncbi.nlm.nih.gov/pmc/blobs/8295/7284745/ab71ded8b1e7/nutrients-12-01358-g001.jpg
https://cdn.ncbi.nlm.nih.gov/pmc/blobs/8295/7284745/698652418248/nutrients-12-01358-g002.jpg

相似文献

1
Biomarkers and Hematological Indices in the Diagnosis of Iron Deficiency in Children with Inflammatory Bowel Disease.炎症性肠病患儿缺铁的诊断中生物标志物和血液学指标的应用
Nutrients. 2020 May 9;12(5):1358. doi: 10.3390/nu12051358.
2
Association between thrombocytosis and iron deficiency anemia in inflammatory bowel disease.血小板增多与炎症性肠病中铁缺乏性贫血的关系。
Eur J Gastroenterol Hepatol. 2013 Oct;25(10):1212-6. doi: 10.1097/MEG.0b013e328363e354.
3
Comparative accuracy of ferritin, transferrin saturation and soluble transferrin receptor for the diagnosis of iron deficiency in inflammatory bowel disease.铁蛋白、转铁蛋白饱和度和可溶性转铁蛋白受体在炎症性肠病中铁缺乏症诊断中的比较准确性。
Aliment Pharmacol Ther. 2020 Jun;51(11):1087-1095. doi: 10.1111/apt.15739. Epub 2020 Apr 22.
4
Soluble transferrin receptor and soluble transferrin receptor/log ferritin index in diagnosis of iron deficiency anemia in pediatric inflammatory bowel disease.可溶性转铁蛋白受体和可溶性转铁蛋白受体/铁蛋白指数在儿科炎症性肠病缺铁性贫血诊断中的应用。
Dig Liver Dis. 2019 Mar;51(3):352-357. doi: 10.1016/j.dld.2018.11.012. Epub 2018 Nov 22.
5
Use of Reticulocyte Hemoglobin Content in the Assessment of Iron Deficiency in Children With Inflammatory Bowel Disease.网织红细胞血红蛋白含量在炎症性肠病患儿缺铁评估中的应用
J Pediatr Gastroenterol Nutr. 2017 May;64(5):713-720. doi: 10.1097/MPG.0000000000001335.
6
Serum transferrin receptor in children and adolescents with inflammatory bowel disease.患有炎症性肠病的儿童和青少年的血清转铁蛋白受体
Eur J Pediatr. 2000 Aug;159(8):585-9. doi: 10.1007/s004310000491.
7
Serum transferrin receptor in children: usefulness for determinating the nature of anemia in infection.儿童血清转铁蛋白受体:对确定感染性贫血性质的作用
J Pediatr Hematol Oncol. 2006 Dec;28(12):809-15. doi: 10.1097/MPH.0b013e31802d751a.
8
The soluble transferrin receptor (sTfR)-ferritin index is a potential predictor of celiac disease in children with refractory iron deficiency anemia.可溶性转铁蛋白受体(sTfR)-铁蛋白指数是难治性缺铁性贫血患儿乳糜泻的潜在预测指标。
Clin Chem Lab Med. 2005;43(1):38-42. doi: 10.1515/CCLM.2005.005.
9
The usefulness of reticulocyte haemoglobin content, serum transferrin receptor and the sTfR-ferritin index to identify iron deficiency in healthy children aged 1-16 years.网织红细胞血红蛋白含量、血清转铁蛋白受体和 sTfR-铁蛋白指数在识别 1-16 岁健康儿童缺铁中的作用。
Eur J Pediatr. 2019 Jan;178(1):41-49. doi: 10.1007/s00431-018-3257-0. Epub 2018 Sep 27.
10
Utility of Access Soluble Transferrin Receptor (sTfR) and sTfR/log Ferritin Index in Diagnosing Iron Deficiency Anemia.可溶性转铁蛋白受体(sTfR)及sTfR/铁蛋白指数在诊断缺铁性贫血中的应用价值
Ann Clin Lab Sci. 2015 Summer;45(4):396-402.

引用本文的文献

1
Treatment targeting pediatric inflammatory bowel disease-associated anemia: experience from a single tertiary center.针对儿童炎症性肠病相关性贫血的治疗:来自单一三级中心的经验
Clin Exp Pediatr. 2025 Sep;68(9):722-731. doi: 10.3345/cep.2025.00640. Epub 2025 Jun 10.
2
Effect of Iron Deficiency on Short-Term Response to Treatment in Cats With Chronic Enteropathies.缺铁对患有慢性肠病的猫短期治疗反应的影响。
J Vet Intern Med. 2025 May-Jun;39(3):e70131. doi: 10.1111/jvim.70131.
3
Diagnostic Accuracy of Hemoglobin Levels and Red Blood Cell Parameters for Iron Deficiency in Adolescents: A Cross-Sectional Study.

本文引用的文献

1
Evaluation of Iron Status in Patients of Chronic Kidney Disease - A Study to Assess the Best Indicators Including Serum Transferrin Receptor Assay.慢性肾脏病患者铁状态评估——一项评估包括血清转铁蛋白受体检测在内的最佳指标的研究
Indian J Nephrol. 2019 Jul-Aug;29(4):248-253. doi: 10.4103/ijn.IJN_159_18.
2
Soluble transferrin receptor and soluble transferrin receptor/log ferritin index in diagnosis of iron deficiency anemia in pediatric inflammatory bowel disease.可溶性转铁蛋白受体和可溶性转铁蛋白受体/铁蛋白指数在儿科炎症性肠病缺铁性贫血诊断中的应用。
Dig Liver Dis. 2019 Mar;51(3):352-357. doi: 10.1016/j.dld.2018.11.012. Epub 2018 Nov 22.
3
青少年缺铁时血红蛋白水平和红细胞参数的诊断准确性:一项横断面研究。
Glob Pediatr Health. 2024 Dec 8;11:2333794X241304642. doi: 10.1177/2333794X241304642. eCollection 2024.
4
Prevalence and Factors Associated with Iron Deficiency Anaemia among Children Aged 6-23 Months in Southwestern Uganda.乌干达西南部6至23个月大儿童缺铁性贫血的患病率及相关因素
Int J Pediatr. 2024 Mar 4;2024:6663774. doi: 10.1155/2024/6663774. eCollection 2024.
5
Iron Status of Preadolescents Without Clinical Pallor Attending a Tertiary Care Hospital in South India- A Cross-Sectional Analytical Study.印度南部一家三级保健医院就诊的无临床苍白症状的青春期前儿童的铁状态-一项横断面分析研究。
Indian J Pediatr. 2024 Aug;91(8):788-793. doi: 10.1007/s12098-023-04773-9. Epub 2023 Aug 10.
6
Performance of Machine Learning Algorithms for Predicting Disease Activity in Inflammatory Bowel Disease.机器学习算法在预测炎症性肠病疾病活动中的性能。
Inflammation. 2023 Aug;46(4):1561-1574. doi: 10.1007/s10753-023-01827-0. Epub 2023 May 12.
7
Implication of asymptomatic and clinical Plasmodium falciparum infections on biomarkers of iron status among school-aged children in Malawi.无症状和临床疟原虫感染对马拉维学龄儿童铁状态生物标志物的影响。
Malar J. 2022 Oct 1;21(1):278. doi: 10.1186/s12936-022-04297-1.
8
Prevalence of Anemia, Iron Deficiency, Iron Deficiency Anemia and Diagnostic Performance of Hematologic and Biochemical Markers of Sideropenia in 1- to 5-Year-Old Children in Thrace Greece.希腊色雷斯地区1至5岁儿童贫血、缺铁、缺铁性贫血的患病率及缺铁性贫血血液学和生化标志物的诊断性能
Mediterr J Hematol Infect Dis. 2022 Jul 1;14(1):e2022054. doi: 10.4084/MJHID.2022.054. eCollection 2022.
9
Nutritional Aspects of Pediatric Gastrointestinal Diseases.儿科胃肠病学的营养问题。
Nutrients. 2021 Jun 19;13(6):2109. doi: 10.3390/nu13062109.
10
Dermatological Manifestations in Pediatric Inflammatory Bowel Disease.儿科炎症性肠病的皮肤表现。
Medicina (Kaunas). 2020 Aug 23;56(9):425. doi: 10.3390/medicina56090425.
Limitations of Serum Ferritin in Diagnosing Iron Deficiency in Inflammatory Conditions.
血清铁蛋白在诊断炎症性疾病中铁缺乏症方面的局限性。
Int J Chronic Dis. 2018 Mar 18;2018:9394060. doi: 10.1155/2018/9394060. eCollection 2018.
4
Serum Hepcidin in Children with Inflammatory Bowel Disease.炎症性肠病患儿的血清铁调素。
Inflamm Bowel Dis. 2017 Dec;23(12):2165-2171. doi: 10.1097/MIB.0000000000001245.
5
Iron deficiency across chronic inflammatory conditions: International expert opinion on definition, diagnosis, and management.慢性炎症性疾病中的缺铁:关于定义、诊断和管理的国际专家意见
Am J Hematol. 2017 Oct;92(10):1068-1078. doi: 10.1002/ajh.24820. Epub 2017 Jul 7.
6
Iron Status and Inflammation in Early Stages of Chronic Kidney Disease.慢性肾脏病早期的铁状态与炎症
Kidney Blood Press Res. 2015;40(4):366-73. doi: 10.1159/000368512. Epub 2015 Jun 20.
7
Diagnosis of Iron Deficiency in Inflammatory Bowel Disease by Transferrin Receptor-Ferritin Index.通过转铁蛋白受体-铁蛋白指数诊断炎症性肠病中的缺铁情况。
Medicine (Baltimore). 2015 Jul;94(26):e1011. doi: 10.1097/MD.0000000000001011.
8
Anemia in inflammatory bowel disease: an under-estimated problem?炎症性肠病中的贫血:一个被低估的问题?
Front Med (Lausanne). 2015 Jan 19;1:58. doi: 10.3389/fmed.2014.00058. eCollection 2014.
9
European consensus on the diagnosis and management of iron deficiency and anaemia in inflammatory bowel diseases.欧洲关于炎症性肠病中铁缺乏症和贫血症诊断与管理的共识
J Crohns Colitis. 2015 Mar;9(3):211-22. doi: 10.1093/ecco-jcc/jju009. Epub 2014 Dec 3.
10
Conventional and novel peripheral blood iron markers compared against bone marrow in Malawian children.常规和新型外周血铁标志物与马拉维儿童骨髓的比较。
J Clin Pathol. 2014 Aug;67(8):717-23. doi: 10.1136/jclinpath-2014-202291. Epub 2014 Jun 10.