Roth Yael, Y Lewitus Dan
Department of Plastics and Polymer Engineering, Shenkar Engineering, Design, Art, Ramat Gan 52526, Israel.
Polymers (Basel). 2020 May 15;12(5):1131. doi: 10.3390/polym12051131.
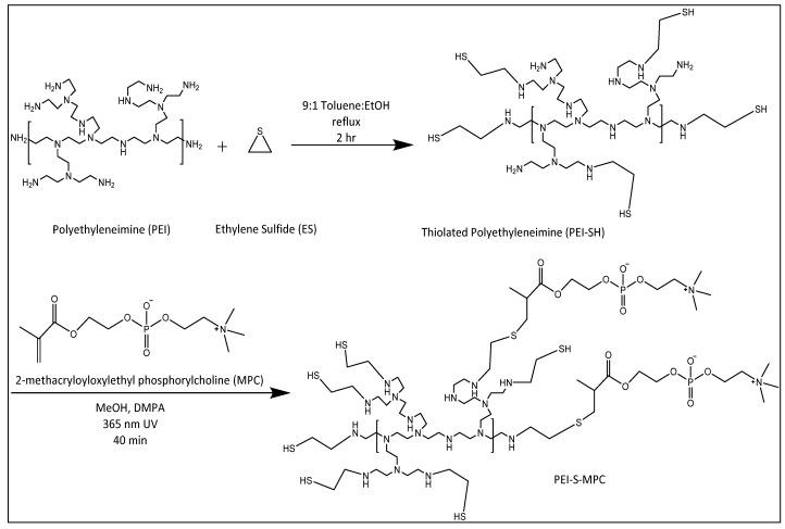
Intravascular catheters (IVCs) and other medical tubing are commonly made of polymeric materials such as polyurethane (PU). Polymers tend to be fouled by surface absorption of proteins and platelets, often resulting in the development of bacterial infections and thrombosis during catheterization, which can lead to embolism and death. Existing solutions to fouling are based on coating the IVCs with hydrophilic, anti-thrombogenic, or antimicrobial materials. However, the delamination of the coatings themselves is associated with significant morbidity, as reported by the United States Food and Drug Administration (FDA). We developed a lubricious, antimicrobial, and antithrombogenic coating complex, which can be covalently attached to the surface of industrial PU catheters. The coating complex is pre-synthesized and comprises 2-methacryloyloxyethyl phosphorylcholine (MPC) as an antifouling agent, covalently attached to branched polyethyleneimine (bPEI) as a lubricating agent. The two-step coating procedure involves PU-amine surface activation using a diisocyanate, followed by chemical grafting of the bPEI-S-MPC complex. Compared with neat PU, the coating was found to reduce the coefficient of friction of the IVC surface by 30% and the hemolysis ratio by more than 50%. Moreover, the coating exhibited a significant antimicrobial activity under JIS Z2801:2000 standard compared with neat PU. Finally, in in-vivo acute rabbit model studies, the coating exhibited significant antithrombogenic properties, reducing the thrombogenic potential to a score of 1.3 on coated surfaces compared with 3.3 on uncoated surfaces. The materials and process developed could confer lubricious, antithrombogenic, and antimicrobial properties on pre-existing PU-based catheters.
血管内导管(IVC)和其他医用管材通常由聚氨酯(PU)等聚合材料制成。聚合物往往会因蛋白质和血小板的表面吸附而被污染,这常常导致在插管过程中发生细菌感染和血栓形成,进而可能导致栓塞和死亡。现有的防污解决方案是基于用亲水性、抗血栓形成或抗菌材料涂覆IVC。然而,正如美国食品药品监督管理局(FDA)所报告的,涂层本身的分层与严重的发病率相关。我们开发了一种润滑、抗菌和抗血栓形成的涂层复合物,它可以共价连接到工业PU导管的表面。该涂层复合物是预先合成的,包含作为防污剂的2-甲基丙烯酰氧基乙基磷酰胆碱(MPC),其共价连接到作为润滑剂的支化聚乙烯亚胺(bPEI)上。两步涂覆过程包括使用二异氰酸酯对PU-胺表面进行活化,然后对bPEI-S-MPC复合物进行化学接枝。与纯PU相比,发现该涂层可使IVC表面的摩擦系数降低30%,溶血率降低超过50%。此外,与纯PU相比,该涂层在JIS Z2801:2000标准下表现出显著的抗菌活性。最后,在体内急性兔模型研究中,该涂层表现出显著的抗血栓形成特性,与未涂层表面的3.3分相比,涂层表面的血栓形成潜力降低至1.3分。所开发的材料和工艺可以赋予现有的基于PU的导管润滑、抗血栓形成和抗菌特性。