Suppr超能文献

探索由氯化铜(II)和4-氨基苯乙酮衍生的金属有机单元的卤键共结晶潜力。

Exploring the Halogen-Bonded Cocrystallization Potential of a Metal-Organic Unit Derived from Copper(ii) Chloride and 4-Aminoacetophenone.

作者信息

Nemec Vinko, Lisac Katarina, Liović Marin, Brekalo Ivana, Cinčić Dominik

机构信息

Department of Chemistry, Faculty of Science, University of Zagreb, Horvatovac 102a, HR-10000 Zagreb, Croatia.

出版信息

Materials (Basel). 2020 May 22;13(10):2385. doi: 10.3390/ma13102385.

Abstract

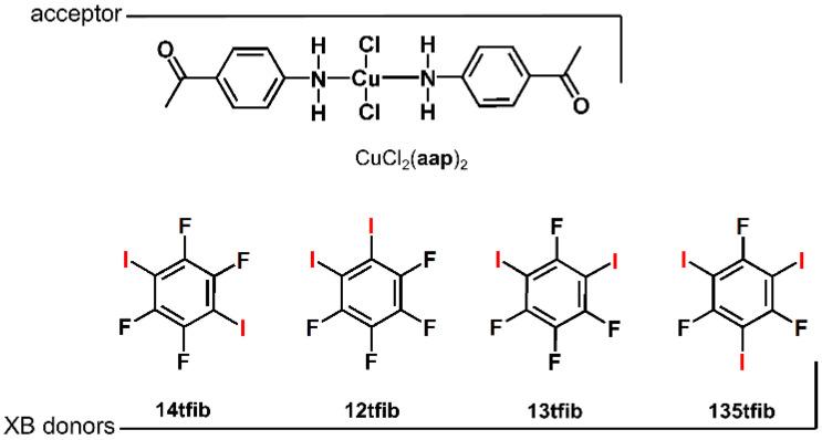
In this work, we describe a novel halogen-bonded metal-organic cocrystal involving a square-planar Cu(ii) complex and 1,4-diiodotetrafluorobenzene () by utilizing an amine ligand whose pendant acetyl group enables halogen bonding. The cocrystal was prepared by both mechanochemical synthesis (liquid-assisted grinding) and the conventional solution-based method. Crystal structure determination by single crystal X-ray diffraction revealed that the dominant supramolecular interactions are the I···O halogen bond between and CuCl() building blocks, and the N-H···Cl hydrogen bonds between CuCl() molecules. The combination of halogen and hydrogen bonding leads to the formation of a 2D network. Overall, this work showcases an example of the possibility for extending the complexity of metal-organic crystal structures by using halogen bonding in a way that does not affect other hydrogen bonding synthons.

摘要

在这项工作中,我们描述了一种新型的卤键合金属有机共晶体,它由一个平面正方形的Cu(ii)配合物和1,4 - 二碘四氟苯()组成,通过使用一种带有乙酰基侧链的胺配体来实现卤键作用。该共晶体通过机械化学合成(液相助磨)和传统的溶液法制备。通过单晶X射线衍射确定的晶体结构表明,主要的超分子相互作用是与CuCl()结构单元之间的I···O卤键,以及CuCl()分子之间的N - H···Cl氢键。卤键和氢键的结合导致形成二维网络。总体而言,这项工作展示了一个通过使用卤键来扩展金属有机晶体结构复杂性的例子,且这种方式不会影响其他氢键合成子。

https://cdn.ncbi.nlm.nih.gov/pmc/blobs/fba1/7288111/c64f121d6648/materials-13-02385-g001.jpg

文献检索

告别复杂PubMed语法,用中文像聊天一样搜索,搜遍4000万医学文献。AI智能推荐,让科研检索更轻松。

立即免费搜索

文件翻译

保留排版,准确专业,支持PDF/Word/PPT等文件格式,支持 12+语言互译。

免费翻译文档

深度研究

AI帮你快速写综述,25分钟生成高质量综述,智能提取关键信息,辅助科研写作。

立即免费体验