Suppr超能文献

人类细胞的集体运动、伤口愈合及其通过海洋无脊椎动物提取物和分离化合物的控制。

Collective Locomotion of Human Cells, Wound Healing and Their Control by Extracts and Isolated Compounds from Marine Invertebrates.

机构信息

Department of Biological, Chemical and Pharmaceutical Sciences and Technologies (STEBICEF), University of Palermo, 90128 Palermo, Italy.

出版信息

Molecules. 2020 May 26;25(11):2471. doi: 10.3390/molecules25112471.

Abstract

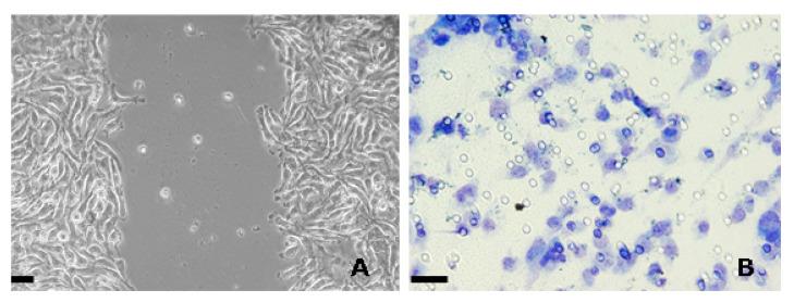
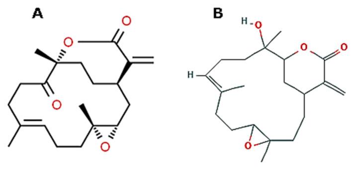
The collective migration of cells is a complex integrated process that represents a common theme joining morphogenesis, tissue regeneration, and tumor biology. It is known that a remarkable amount of secondary metabolites produced by aquatic invertebrates displays active pharmacological properties against a variety of diseases. The aim of this review is to pick up selected studies that report the extraction and identification of crude extracts or isolated compounds that exert a modulatory effect on collective cell locomotion and/or skin tissue reconstitution and recapitulate the molecular, biochemical, and/or physiological aspects, where available, which are associated to the substances under examination, grouping the producing species according to their taxonomic hierarchy. Taken all of the collected data into account, marine invertebrates emerge as a still poorly-exploited valuable resource of natural products that may significantly improve the process of skin regeneration and restrain tumor cell migration, as documented by in vitro and in vivo studies. Therefore, the identification of the most promising invertebrate-derived extracts/molecules for the utilization as new targets for biomedical translation merits further and more detailed investigations.

摘要

细胞的集体迁移是一个复杂的综合过程,它代表了一个共同的主题,将形态发生、组织再生和肿瘤生物学联系在一起。众所周知,水生无脊椎动物产生的大量次生代谢产物对多种疾病具有活性的药理特性。本综述的目的是选择一些报道了粗提物或分离化合物的提取和鉴定的研究,这些化合物对细胞的集体迁移和/或皮肤组织重建具有调节作用,并概述了与所研究物质相关的分子、生化和/或生理方面的内容,在可能的情况下,根据其分类层次对产生的物种进行分组。考虑到所有收集到的数据,海洋无脊椎动物仍然是一种尚未得到充分开发的有价值的天然产物资源,正如体外和体内研究所证明的那样,它可以显著改善皮肤再生过程并抑制肿瘤细胞迁移。因此,确定最有前途的无脊椎动物衍生提取物/分子作为生物医学转化的新靶标值得进一步更详细的研究。

https://cdn.ncbi.nlm.nih.gov/pmc/blobs/22da/7321354/49f7d321c7b0/molecules-25-02471-g001.jpg

文献检索

告别复杂PubMed语法,用中文像聊天一样搜索,搜遍4000万医学文献。AI智能推荐,让科研检索更轻松。

立即免费搜索

文件翻译

保留排版,准确专业,支持PDF/Word/PPT等文件格式,支持 12+语言互译。

免费翻译文档

深度研究

AI帮你快速写综述,25分钟生成高质量综述,智能提取关键信息,辅助科研写作。

立即免费体验