Suppr超能文献

动物收容所犬细小病毒病十年治疗回顾性研究

A Decade of Treatment of Canine Parvovirus in an Animal Shelter: A Retrospective Study.

作者信息

Horecka Kevin, Porter Steve, Amirian E Susan, Jefferson Ellen

机构信息

Research Department, Austin Pets Alive!, Austin, TX 78703, USA.

出版信息

Animals (Basel). 2020 May 29;10(6):939. doi: 10.3390/ani10060939.

Abstract

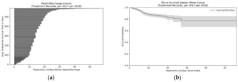
Here, we present 11.5 years of monthly treatment statistics showing an overall intake of 5127 infected dogs between June 2008 and December 2019, as well as more detailed datasets from more recent, less protracted time periods for the examination of mortality risk, seasonality, and resource requirements in the mass treatment of canine parvovirus (CPV) in a private animal shelter. The total survival rate of animals during the study period was 86.6% ( = 4438/5127 dogs survived) with the probability of survival increasing to 96.7% after five days of treatment (with 80% of fatalities occurring in that period). A distinct parvovirus season peaking in May and June and troughing in August, September, December, and January was observed, which could have contributed as much as 41 animals peak-to-trough in the monthly population (with a potential, smaller season occurring in October). Low-weight and male animals were at higher risk for death, whereas age was not a significant contributing factor. Treatment time averaged 9.03 h of total care during a seven-day median treatment duration. These findings, taken together, demonstrate that canine parvovirus can be successfully treated in a sustainable manner within a shelter setting using a largely volunteer workforce.

摘要

在此,我们展示了11.5年的月度治疗统计数据,这些数据显示,在2008年6月至2019年12月期间,共收治了5127只感染犬,同时还提供了更近期、时间跨度较短的更详细数据集,用于研究一家私人动物收容所大规模治疗犬细小病毒(CPV)时的死亡风险、季节性和资源需求。研究期间动物的总存活率为86.6%(4438只犬存活),治疗五天后的存活概率增至96.7%(80%的死亡发生在该时间段内)。观察到细小病毒有明显的季节性,5月和6月达到高峰,8月、9月、12月和1月处于低谷,这可能导致每月收容犬数量从高峰到低谷减少多达41只(10月可能存在一个较小的季节性波动)。体重较轻的动物和雄性动物死亡风险更高,而年龄并非显著的影响因素。在为期七天的中位治疗期间,治疗总时长平均为9.03小时。综合这些发现表明,在收容所环境中,利用大量志愿者劳动力,可以以可持续的方式成功治疗犬细小病毒。

https://cdn.ncbi.nlm.nih.gov/pmc/blobs/e2fe/7341501/118383b6c7de/animals-10-00939-g0A1.jpg

文献AI研究员

20分钟写一篇综述,助力文献阅读效率提升50倍。

立即体验

用中文搜PubMed

大模型驱动的PubMed中文搜索引擎

马上搜索

文档翻译

学术文献翻译模型,支持多种主流文档格式。

立即体验