Suppr超能文献

新型氨基-1,10-菲咯啉衍生亚胺配体的肿瘤杀伤潜力:化学制备、结构和生物学研究。

Tumoricidal Potential of Novel Amino-1,10-phenanthroline Derived Imine Ligands: Chemical Preparation, Structure, and Biological Investigations.

机构信息

Department of Sciences, Amrita School of Arts and Sciences, Amrita Vishwa Vidyapeetham, Mysuru 5700 26, Karnataka, India.

Central Polytechnic College, Vattiyoorkavu, Trivandrum 695013, Kerala, India.

出版信息

Molecules. 2020 Jun 22;25(12):2865. doi: 10.3390/molecules25122865.

Abstract

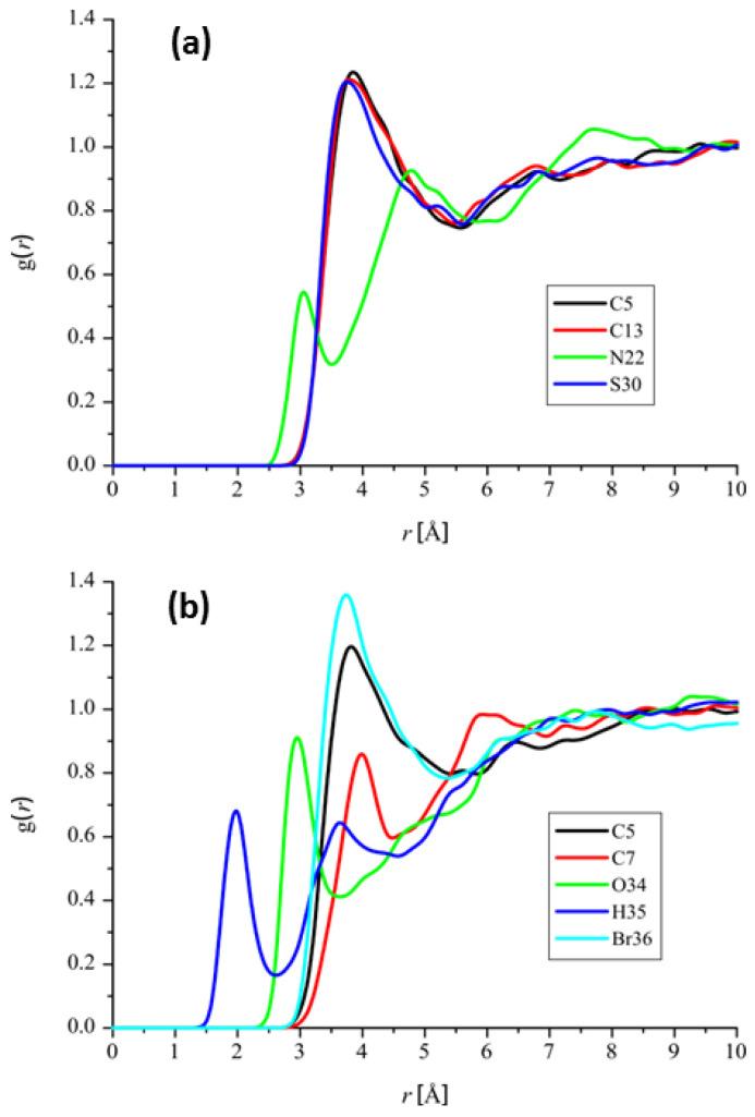
Herein we report the synthesis and structural elucidation of two novel imine-based ligands, 2-(1,10-phenanthrolin-5-yl)imino)methyl)-5-bromophenol (PIB) and -(1,10-phenanthrolin-5-yl)-1-(thiophen-3-yl)methanimine (PTM) ligands. An in vitro cytotoxicity assay of the synthesized molecules was carried out against breast, cervical, colorectal, and prostate cancer cell lines as well as immortalized human keratinocytes. The observations indicated that both the molecules possesses dose-dependent selective cytotoxicity of cancer cells with no detrimental effect on the normal cell lines. Furthermore, the detailed computational analysis of newly synthetized ligands (PIB and PTM) has been conducted in order to identify their most important parts from the perspective of local reactivity. The IC values of PIB treatment on MCF-7, HeLa, HCT-116 and PC-3 were 15.10, 16.25, 17.88, 17.55 and 23.86 micromoles, respectively. Meanwhile, the IC values of PTM on MCF-7, HeLa, HCT-116, PC-3 and HaCat were observed to be 14.82, 15.03, 17.88, 17.28 and 21.22 micromoles, respectively. For computational analysis, we have employed the combination of Density Functional Theory (DFT) calculations and MD simulations. DFT calculations provided us with information about structure and reactivity descriptors based on the electron distribution. Surfaces of molecular electrostatic potential (MEP) and averaged local ionization energy (ALIE) indicated the sites within studied molecules that are most reactive. These results indicated the importance of nitrogen atoms and OH group. Additionally, the values of bond dissociation for hydrogen abstraction showed that both molecules, especially the PTM, are stable toward the influence of autoxidation mechanism. On the other side, MD simulations gave us an insight how ligands interact with water molecules. Namely, the radial distribution functions (RDF) indicated that the hydrogen atom of the OH group in the case of the PIB has the most pronounced interactions with water.

摘要

在此,我们报告了两种新型亚胺基配体的合成和结构阐明,即 2-(1,10-菲咯啉-5-基)亚氨基)甲基)-5-溴苯酚(PIB)和 -(1,10-菲咯啉-5-基)-1-(噻吩-3-基)亚甲胺(PTM)配体。我们对合成分子进行了体外细胞毒性测定,针对乳腺癌、宫颈癌、结直肠癌和前列腺癌细胞系以及永生化人角质形成细胞。结果表明,这两种分子都具有剂量依赖性的癌细胞选择性细胞毒性,对正常细胞系没有不利影响。此外,我们还对新合成的配体(PIB 和 PTM)进行了详细的计算分析,以便从局部反应性的角度确定它们最重要的部分。PIB 处理 MCF-7、HeLa、HCT-116 和 PC-3 的 IC 值分别为 15.10、16.25、17.88、17.55 和 23.86 微摩尔。同时,PTM 对 MCF-7、HeLa、HCT-116、PC-3 和 HaCat 的 IC 值分别观察到为 14.82、15.03、17.88、17.28 和 21.22 微摩尔。对于计算分析,我们采用了密度泛函理论(DFT)计算和 MD 模拟的组合。DFT 计算为我们提供了基于电子分布的结构和反应性描述符的信息。分子静电势(MEP)和平均局部电离能(ALIE)表面表明,在所研究的分子中,最具反应性的是那些位于研究分子中的位点。这些结果表明了氮原子和 OH 基团的重要性。此外,氢提取的键离解值表明,两种分子,特别是 PTM,对自氧化机制的影响都很稳定。另一方面,MD 模拟让我们深入了解配体如何与水分子相互作用。具体来说,径向分布函数(RDF)表明,在 PIB 的情况下,OH 基团的氢原子与水的相互作用最为明显。

https://cdn.ncbi.nlm.nih.gov/pmc/blobs/e4d6/7356530/105345e24041/molecules-25-02865-sch001.jpg

文献AI研究员

20分钟写一篇综述,助力文献阅读效率提升50倍。

立即体验

用中文搜PubMed

大模型驱动的PubMed中文搜索引擎

马上搜索

文档翻译

学术文献翻译模型,支持多种主流文档格式。

立即体验