• 文献检索
  • 文档翻译
  • 深度研究
  • 学术资讯
  • Suppr Zotero 插件Zotero 插件
  • 邀请有礼
  • 套餐&价格
  • 历史记录
应用&插件
Suppr Zotero 插件Zotero 插件浏览器插件Mac 客户端Windows 客户端微信小程序
定价
高级版会员购买积分包购买API积分包
服务
文献检索文档翻译深度研究API 文档MCP 服务
关于我们
关于 Suppr公司介绍联系我们用户协议隐私条款
关注我们

Suppr 超能文献

核心技术专利:CN118964589B侵权必究
粤ICP备2023148730 号-1Suppr @ 2026

文献检索

告别复杂PubMed语法,用中文像聊天一样搜索,搜遍4000万医学文献。AI智能推荐,让科研检索更轻松。

立即免费搜索

文件翻译

保留排版,准确专业,支持PDF/Word/PPT等文件格式,支持 12+语言互译。

免费翻译文档

深度研究

AI帮你快速写综述,25分钟生成高质量综述,智能提取关键信息,辅助科研写作。

立即免费体验

提格雷州东部地区结核病患者生存情况建模

Modeling the Survival of Tuberculosis Patients in Eastern Zone of Tigray Regional State.

作者信息

Geleso Mulugeta Geremew

机构信息

Department of Statistics, Wolkite University, Wolkite, Ethiopia.

出版信息

Risk Manag Healthc Policy. 2020 May 25;13:473-481. doi: 10.2147/RMHP.S251376. eCollection 2020.

DOI:10.2147/RMHP.S251376
PMID:32581610
原文链接:https://pmc.ncbi.nlm.nih.gov/articles/PMC7274535/
Abstract

BACKGROUND

Tuberculosis (TB) is still a public health problem and amongst the top ten leading causes of death. The aim of this paper was to identify the factors that significantly affect the survival of tuberculosis patients.

METHODS

A retrospective cohort study was carried out in Adigrat General and Wukro hospitals, Eastern Zone of Tigray region, Ethiopia. Data for this study were obtained from medical records of all TB cases registered from September 2016 to August 2017 in the two hospitals. Log-rank test and Kaplan-Meier plot were used to evaluate the survival pattern of TB patients. A multivariable Cox proportional regression model was employed to identify the predictors of mortality. Factors with a -value smaller than 0.05 were taken as statistically significant facilitators of TB death.

RESULTS

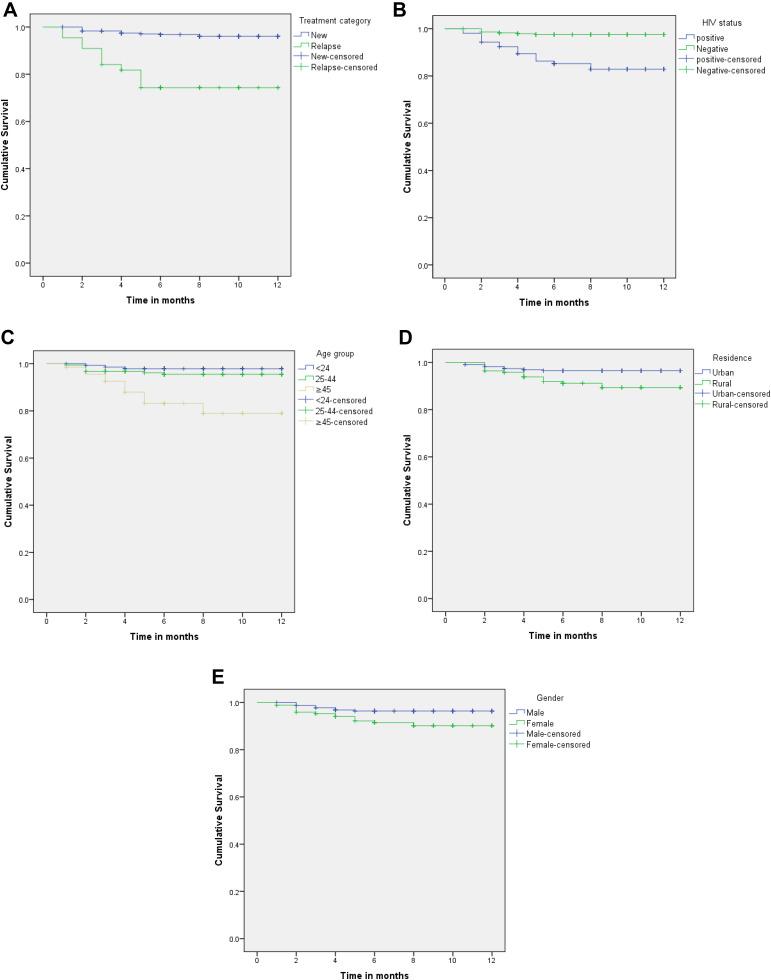
Of the 397 patients studied over the specified period, 23 (5.8%) had died. A statistically significant survival difference was observed among gender, residence, HIV status, treatment category, and age category of patients. In multivariable cox regression, lower survival rates were observed among patients aged ≥45 years (HR = 5.315, 95% CI: 1.231-22.959), relapse cases (HR = 4.069, 95% CI: 1.636-10.119), patients with extrapulmonary TB (HR = 3.054, 95% CI: 1.044-8.940), patients from rural areas (HR = 2.834, 95% CI: 1.161-6.916), patients with a bodyweight of ≤50 kg and HIV-positive patients.

CONCLUSION

Based on the survival experience of TB patients, advancing age, extrapulmonary TB infection, living in rural residence, lower bodyweight at beginning of treatment, HIV co-infection, and being a retreatment patient were predictors of mortality. To achieve the "End TB Strategy" goal of zero death, proper targeting of care to these vulnerable groups should be advised.

摘要

背景

结核病仍是一个公共卫生问题,位列十大主要死因之中。本文旨在确定显著影响结核病患者生存的因素。

方法

在埃塞俄比亚提格雷地区东部区的阿迪格拉特综合医院和武克罗医院开展了一项回顾性队列研究。本研究的数据取自2016年9月至2017年8月在这两家医院登记的所有结核病病例的医疗记录。采用对数秩检验和Kaplan-Meier曲线来评估结核病患者的生存模式。运用多变量Cox比例回归模型来确定死亡率的预测因素。P值小于0.05的因素被视为结核病死亡的统计学显著促成因素。

结果

在指定时期内研究的397例患者中,有23例(5.8%)死亡。在患者的性别、居住地、艾滋病毒感染状况、治疗类别和年龄类别之间观察到了具有统计学意义 的生存差异。在多变量Cox回归中,年龄≥45岁的患者(风险比=5.315,95%置信区间:1.231 - 22.959)、复发病例(风险比=4.069,95%置信区间:1.636 - 10.119)、肺外结核患者(风险比=3.054,95%置信区间:1.044 - 8.940)、农村地区患者(风险比=2.834,95%置信区间:1.161 - 6.916)、体重≤50 kg的患者以及艾滋病毒阳性患者的生存率较低。

结论

基于结核病患者的生存经验,高龄、肺外结核感染、居住在农村、治疗开始时体重较低、艾滋病毒合并感染以及复治患者是死亡率的预测因素。为实现“终止结核病战略”零死亡的目标,建议针对这些弱势群体进行适当的护理。

https://cdn.ncbi.nlm.nih.gov/pmc/blobs/3fd4/7274535/2a5af3fc4b8f/RMHP-13-473-g0002.jpg
https://cdn.ncbi.nlm.nih.gov/pmc/blobs/3fd4/7274535/82b4687b3e8e/RMHP-13-473-g0001.jpg
https://cdn.ncbi.nlm.nih.gov/pmc/blobs/3fd4/7274535/2a5af3fc4b8f/RMHP-13-473-g0002.jpg
https://cdn.ncbi.nlm.nih.gov/pmc/blobs/3fd4/7274535/82b4687b3e8e/RMHP-13-473-g0001.jpg
https://cdn.ncbi.nlm.nih.gov/pmc/blobs/3fd4/7274535/2a5af3fc4b8f/RMHP-13-473-g0002.jpg

相似文献

1
Modeling the Survival of Tuberculosis Patients in Eastern Zone of Tigray Regional State.提格雷州东部地区结核病患者生存情况建模
Risk Manag Healthc Policy. 2020 May 25;13:473-481. doi: 10.2147/RMHP.S251376. eCollection 2020.
2
Application of cox proportional hazards model in case of tuberculosis patients in selected addis ababa health centres, ethiopia.Cox比例风险模型在埃塞俄比亚亚的斯亚贝巴部分健康中心结核病患者中的应用
Tuberc Res Treat. 2014;2014:536976. doi: 10.1155/2014/536976. Epub 2014 Jan 12.
3
Mortality and associated risk factors in a cohort of tuberculosis patients treated under DOTS programme in Addis Ababa, Ethiopia.在埃塞俄比亚亚的斯亚贝巴,一项直接督导下的短程化疗(DOTS)项目中治疗的结核患者队列的死亡率及其相关危险因素。
BMC Infect Dis. 2011 May 16;11:127. doi: 10.1186/1471-2334-11-127.
4
Predictors of time to unfavorable treatment outcomes among patients with multidrug resistant tuberculosis in Oromia region, Ethiopia.预测埃塞俄比亚奥罗米亚地区耐多药结核病患者不良治疗结局的时间的因素。
PLoS One. 2019 Oct 30;14(10):e0224025. doi: 10.1371/journal.pone.0224025. eCollection 2019.
5
Survival of smear-positive multidrug resistant tuberculosis patients in Witbank, South Africa: A retrospective cohort study.南非威茨堡涂片阳性耐多药结核病患者的生存情况:一项回顾性队列研究。
Infect Dis (Lond). 2016;48(6):422-7. doi: 10.3109/23744235.2016.1153806. Epub 2016 Mar 8.
6
Tuberculosis treatment survival of HIV positive TB patients on directly observed treatment short-course in Southern Ethiopia: a retrospective cohort study.埃塞俄比亚南部接受直接观察短程治疗的HIV阳性结核病患者的结核病治疗生存率:一项回顾性队列研究。
BMC Res Notes. 2012 Dec 12;5:682. doi: 10.1186/1756-0500-5-682.
7
Incidence and predictors of extrapulmonary tuberculosis among people living with Human Immunodeficiency Virus in Addis Ababa, Ethiopia: A retrospective cohort study.埃塞俄比亚亚的斯亚贝巴艾滋病毒感染者中肺外结核的发生率和预测因素:一项回顾性队列研究。
PLoS One. 2020 May 6;15(5):e0232426. doi: 10.1371/journal.pone.0232426. eCollection 2020.
8
The effect of isoniazid preventive therapy on incidence of tuberculosis among HIV-infected clients under pre-ART care, Jimma, Ethiopia: a retrospective cohort study.埃塞俄比亚吉马地区接受抗逆转录病毒治疗前护理的艾滋病毒感染者中,异烟肼预防性治疗对结核病发病率的影响:一项回顾性队列研究。
BMC Public Health. 2015 Apr 10;15:346. doi: 10.1186/s12889-015-1719-0.
9
Predictive markers of survival in HIV-seropositive and HIV-seronegative Tanzanian patients with extrapulmonary tuberculosis.坦桑尼亚肺外结核患者中HIV血清阳性和HIV血清阴性患者生存的预测标志物。
Tuber Lung Dis. 1995 Dec;76(6):510-7. doi: 10.1016/0962-8479(95)90526-x.
10
Incidence and predictors of mortality among children co-infected with tuberculosis and human immunodeficiency virus at public hospitals in Southern Ethiopia.在埃塞俄比亚南部公立医院中,结核分枝杆菌和人类免疫缺陷病毒合并感染儿童的死亡率及其预测因素。
PLoS One. 2021 Jun 30;16(6):e0253449. doi: 10.1371/journal.pone.0253449. eCollection 2021.

引用本文的文献

1
Mortality and predictors among HIV-TB co-infected patients in Ethiopia: A systematic review and meta-analysis.埃塞俄比亚艾滋病毒与结核病合并感染患者的死亡率及预测因素:一项系统评价与荟萃分析
PLoS One. 2025 Jan 6;20(1):e0317048. doi: 10.1371/journal.pone.0317048. eCollection 2025.
2
Survival Probability in Multidrug Resistant Pulmonary Tuberculosis Patients in a South Indian Region.印度南部地区耐多药肺结核患者的生存概率
Hosp Pharm. 2024 Aug;59(4):427-435. doi: 10.1177/00185787231224065. Epub 2024 Apr 23.
3
A Saudi Arabian Public Health Perspective of Tuberculosis.

本文引用的文献

1
Long-term survival and cause-specific mortality of patients newly diagnosed with tuberculosis in São Paulo state, Brazil, 2010-15: a population-based, longitudinal study.2010-2015 年巴西圣保罗州新诊断肺结核患者的长期生存和死因特异性死亡率:一项基于人群的纵向研究。
Lancet Infect Dis. 2020 Jan;20(1):123-132. doi: 10.1016/S1473-3099(19)30518-3. Epub 2019 Oct 31.
2
Survival analysis of patients with tuberculosis in Erbil, Iraqi Kurdistan region.伊拉克库尔德斯坦地区埃尔比勒的结核病患者生存分析。
BMC Infect Dis. 2019 Oct 21;19(1):865. doi: 10.1186/s12879-019-4544-8.
3
Epidemiology of Extrapulmonary Tuberculosis among Inpatients, China, 2008-2017.
沙特阿拉伯公共卫生视角下的结核病
Int J Environ Res Public Health. 2021 Sep 24;18(19):10042. doi: 10.3390/ijerph181910042.
2008-2017 年中国住院患者肺外结核病流行病学。
Emerg Infect Dis. 2019 Mar;25(3):457-464. doi: 10.3201/eid2503.180572.
4
Time to death and risk factors among tuberculosis patients in Northern Ethiopia.埃塞俄比亚北部结核病患者的死亡时间及危险因素。
BMC Res Notes. 2018 Oct 4;11(1):696. doi: 10.1186/s13104-018-3806-7.
5
Risk factors associated with 1-year mortality among patients with HIV-associated tuberculosis in areas with intermediate tuberculosis burden and low HIV prevalence.在结核病负担中等且艾滋病毒流行率较低地区,与艾滋病毒相关结核病患者1年死亡率相关的危险因素。
Hong Kong Med J. 2018 Oct;24(5):473-483. doi: 10.12809/hkmj187303.
6
Predictors of mortality in multidrug-resistant tuberculosis patients from Brazilian reference centers, 2005 to 2012.2005 年至 2012 年巴西参考中心耐多药结核病患者死亡的预测因素。
Braz J Infect Dis. 2018 Jul-Aug;22(4):305-310. doi: 10.1016/j.bjid.2018.07.002. Epub 2018 Aug 6.
7
Mortality of patients hospitalized for active tuberculosis in King Abdulaziz University Hospital, Jeddah, Saudi Arabia.沙特阿拉伯吉达阿卜杜勒阿齐兹国王大学医院因活动性肺结核住院患者的死亡率。
Saudi Med J. 2018 Mar;39(3):267-272. doi: 10.15537/smj.2018.3.22280.
8
Factors Associated with Mortality among Patients on TB Treatment in the Southern Region of Zimbabwe, 2013.2013年津巴布韦南部地区接受结核病治疗患者的死亡相关因素
Tuberc Res Treat. 2017;2017:6232071. doi: 10.1155/2017/6232071. Epub 2017 Mar 2.
9
High mortality among tuberculosis patients on treatment in Nigeria: a retrospective cohort study.尼日利亚接受治疗的结核病患者死亡率高:一项回顾性队列研究。
BMC Infect Dis. 2017 Feb 23;17(1):170. doi: 10.1186/s12879-017-2249-4.
10
Successful TB treatment outcome and its associated factors among TB/HIV co-infected patients attending Gondar University Referral Hospital, Northwest Ethiopia: an institution based cross-sectional study.埃塞俄比亚西北部贡德尔大学转诊医院结核病/艾滋病合并感染患者的成功结核病治疗结果及其相关因素:一项基于机构的横断面研究。
BMC Infect Dis. 2017 Feb 8;17(1):132. doi: 10.1186/s12879-017-2238-7.