Suppr超能文献

寻找基于磷树状大分子的玫瑰红载体:酪胺连接物限制光敏剂的荧光和光毒性。

In Search of a Phosphorus Dendrimer-Based Carrier of Rose Bengal: Tyramine Linker Limits Fluorescent and Phototoxic Properties of a Photosensitizer.

机构信息

Department of General Biophysics, Faculty of Biology and Environmental Protection, University of Lodz, 141/143 Pomorska St., 90-236 Lodz, Poland.

Laboratoire de Chimie de Coordination, CNRS, 205 Route de Narbonne, BP44099, 31077 Toulouse CEDEX 4, France.

出版信息

Int J Mol Sci. 2020 Jun 23;21(12):4456. doi: 10.3390/ijms21124456.

Abstract

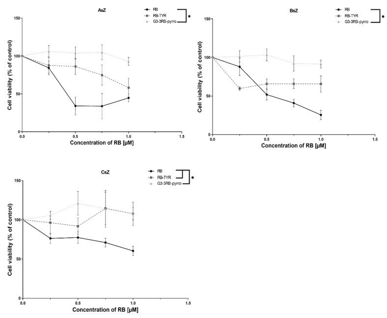
Photodynamic therapy (PDT) is a skin cancer treatment alternative to chemotherapy and radiotherapy. This method exploits three elements: a phototoxic compound (photosensitizer), light source and oxygen. Upon irradiation by light of a specific wavelength, the photosensitizer generates reactive oxygen species triggering the cascade of reactions leading to cell death. The positive therapeutic effect of PDT may be limited due to low solubility, low tumor specificity and inefficient cellular uptake of photosensitizers. A promising approach to overcome these obstacles involves the use of nanocarrier systems. The aim of this initial study was to determine the potential of the application of phosphorus dendrimers as carriers of a photosensitizer-rose bengal (RB). The primary goal involved the synthesis and in vitro studies of covalent drug-dendrimer conjugates. Our approach allowed us to obtain RB-dendrimer conjugates with the use of tyramine as an aromatic linker between the carrier and the drug. The compounds were characterized by FT-IR, H NMR, C NMR, P NMR, size and zeta potential measurements and spectrofluorimetric analysis. The dialysis to check the drug release from the conjugate, flow cytometry to specify intracellular uptake, and singlet oxygen generation assay were also applied. Finally, we used MTT assay to determine the biological activity of the tested compounds. The results of our experiments indicate that the conjugation of RB to phosphorus dendrimers via the tyramine linker decreases photodynamic activity of RB.

摘要

光动力疗法(PDT)是一种替代化疗和放疗的皮肤癌治疗方法。这种方法利用了三个元素:一种光毒性化合物(光敏剂)、光源和氧气。在特定波长的光照射下,光敏剂会产生活性氧物种,引发导致细胞死亡的级联反应。PDT 的积极治疗效果可能会受到限制,因为光敏剂的溶解度低、肿瘤特异性低和细胞摄取效率低。一种有前途的克服这些障碍的方法涉及使用纳米载体系统。本初步研究的目的是确定磷树状大分子作为光敏剂-玫瑰红(RB)载体的应用潜力。主要目标涉及共价药物-树突状大分子缀合物的合成和体外研究。我们的方法允许我们使用没食子酸作为载体和药物之间的芳族连接物来获得 RB-树突状大分子缀合物。通过傅里叶变换红外光谱(FT-IR)、氢核磁共振(H NMR)、碳核磁共振(C NMR)、磷核磁共振(P NMR)、尺寸和zeta 电位测量以及分光荧光分析对化合物进行了表征。还应用了透析以检查从缀合物中释放药物、流式细胞术以指定细胞内摄取以及单线态氧生成测定法。最后,我们使用 MTT 测定法来确定测试化合物的生物活性。我们的实验结果表明,通过没食子酸连接物将 RB 与磷树状大分子缀合会降低 RB 的光动力活性。

https://cdn.ncbi.nlm.nih.gov/pmc/blobs/d520/7352946/0f677861d891/ijms-21-04456-g001.jpg

文献检索

告别复杂PubMed语法,用中文像聊天一样搜索,搜遍4000万医学文献。AI智能推荐,让科研检索更轻松。

立即免费搜索

文件翻译

保留排版,准确专业,支持PDF/Word/PPT等文件格式,支持 12+语言互译。

免费翻译文档

深度研究

AI帮你快速写综述,25分钟生成高质量综述,智能提取关键信息,辅助科研写作。

立即免费体验