• 文献检索
  • 文档翻译
  • 深度研究
  • 学术资讯
  • Suppr Zotero 插件Zotero 插件
  • 邀请有礼
  • 套餐&价格
  • 历史记录
应用&插件
Suppr Zotero 插件Zotero 插件浏览器插件Mac 客户端Windows 客户端微信小程序
定价
高级版会员购买积分包购买API积分包
服务
文献检索文档翻译深度研究API 文档MCP 服务
关于我们
关于 Suppr公司介绍联系我们用户协议隐私条款
关注我们

Suppr 超能文献

核心技术专利:CN118964589B侵权必究
粤ICP备2023148730 号-1Suppr @ 2026

文献检索

告别复杂PubMed语法,用中文像聊天一样搜索,搜遍4000万医学文献。AI智能推荐,让科研检索更轻松。

立即免费搜索

文件翻译

保留排版,准确专业,支持PDF/Word/PPT等文件格式,支持 12+语言互译。

免费翻译文档

深度研究

AI帮你快速写综述,25分钟生成高质量综述,智能提取关键信息,辅助科研写作。

立即免费体验

抗衡离子与共轭聚电解质结合的特异性:分子动力学与NOESY联合研究

Specificity of Counterion Binding to a Conjugated Polyelectrolyte: A Combined Molecular Dynamics and NOESY Investigation.

作者信息

Hostnik Gregor, Podlipnik Črtomir, Mériguet Guillaume, Cerar Janez

机构信息

Faculty of Chemistry and Chemical Technology, University of Ljubljana, Večna Pot 113, SI-1000 Ljubljana, Slovenia.

Faculty of Chemistry and Chemical Technology, University of Maribor, SI-2000 Maribor, Slovenia.

出版信息

Macromolecules. 2020 Feb 25;53(4):1119-1128. doi: 10.1021/acs.macromol.9b02161. Epub 2020 Feb 10.

DOI:10.1021/acs.macromol.9b02161
PMID:32587418
原文链接:https://pmc.ncbi.nlm.nih.gov/articles/PMC7307957/
Abstract

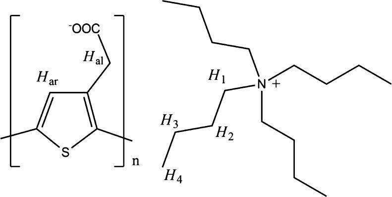
Poly(thiophen-3-ylacetic acid) (PTAA) is a representative of conjugated polyelectrolytes which are used in many optoelectronics devices. The performance of these devices is affected by the polymer conformation, which, among others, depends on the nature of the counterion. In this study, the binding of tetrabutylammonium counterions (TBA) on PTAA was determined using a combination of nuclear Overhauser effect spectroscopy (NOESY) and molecular dynamics (MD) simulation. It was found that TBA ions specifically bind on the hydrophobic main chain of PTAA, while, according to MD simulations, alkali counterions predominantly bind in the vicinity of negatively charged carboxylic groups located on side chains. The MD trajectories were used to compute the relaxation matrices and the NOESY spectra. With the help of these latter calculations, the changes of intensities in experimental NOESY spectra upon binding of TBA ions to PTAA were interpreted.

摘要

聚(噻吩-3-基乙酸)(PTAA)是共轭聚电解质的一种代表物,这类物质被应用于许多光电器件中。这些器件的性能受聚合物构象影响,而聚合物构象尤其取决于抗衡离子的性质。在本研究中,结合使用核Overhauser效应光谱法(NOESY)和分子动力学(MD)模拟来测定四丁基铵抗衡离子(TBA)与PTAA的结合情况。研究发现,TBA离子特异性地结合在PTAA的疏水主链上,而根据MD模拟,碱金属抗衡离子主要结合在位于侧链上带负电荷的羧基附近。MD轨迹用于计算弛豫矩阵和NOESY光谱。借助这些后续计算,解释了TBA离子与PTAA结合后实验性NOESY光谱中强度的变化。

https://cdn.ncbi.nlm.nih.gov/pmc/blobs/18a7/7307957/032f03d4d9ae/ma9b02161_0008.jpg
https://cdn.ncbi.nlm.nih.gov/pmc/blobs/18a7/7307957/4987f4f505c7/ma9b02161_0001.jpg
https://cdn.ncbi.nlm.nih.gov/pmc/blobs/18a7/7307957/05282d0543dd/ma9b02161_0002.jpg
https://cdn.ncbi.nlm.nih.gov/pmc/blobs/18a7/7307957/f4625059d3f2/ma9b02161_0003.jpg
https://cdn.ncbi.nlm.nih.gov/pmc/blobs/18a7/7307957/4043e1564ed5/ma9b02161_0004.jpg
https://cdn.ncbi.nlm.nih.gov/pmc/blobs/18a7/7307957/49d32e4aca72/ma9b02161_0005.jpg
https://cdn.ncbi.nlm.nih.gov/pmc/blobs/18a7/7307957/019929720bf0/ma9b02161_0006.jpg
https://cdn.ncbi.nlm.nih.gov/pmc/blobs/18a7/7307957/e576fa781c86/ma9b02161_0007.jpg
https://cdn.ncbi.nlm.nih.gov/pmc/blobs/18a7/7307957/032f03d4d9ae/ma9b02161_0008.jpg
https://cdn.ncbi.nlm.nih.gov/pmc/blobs/18a7/7307957/4987f4f505c7/ma9b02161_0001.jpg
https://cdn.ncbi.nlm.nih.gov/pmc/blobs/18a7/7307957/05282d0543dd/ma9b02161_0002.jpg
https://cdn.ncbi.nlm.nih.gov/pmc/blobs/18a7/7307957/f4625059d3f2/ma9b02161_0003.jpg
https://cdn.ncbi.nlm.nih.gov/pmc/blobs/18a7/7307957/4043e1564ed5/ma9b02161_0004.jpg
https://cdn.ncbi.nlm.nih.gov/pmc/blobs/18a7/7307957/49d32e4aca72/ma9b02161_0005.jpg
https://cdn.ncbi.nlm.nih.gov/pmc/blobs/18a7/7307957/019929720bf0/ma9b02161_0006.jpg
https://cdn.ncbi.nlm.nih.gov/pmc/blobs/18a7/7307957/e576fa781c86/ma9b02161_0007.jpg
https://cdn.ncbi.nlm.nih.gov/pmc/blobs/18a7/7307957/032f03d4d9ae/ma9b02161_0008.jpg

相似文献

1
Specificity of Counterion Binding to a Conjugated Polyelectrolyte: A Combined Molecular Dynamics and NOESY Investigation.抗衡离子与共轭聚电解质结合的特异性:分子动力学与NOESY联合研究
Macromolecules. 2020 Feb 25;53(4):1119-1128. doi: 10.1021/acs.macromol.9b02161. Epub 2020 Feb 10.
2
Salt-specific effects observed in calorimetric studies of alkali and tetraalkylammonium salt solutions of poly(thiophen-3-ylacetic acid).在聚(噻吩-3-基乙酸)的碱金属盐和四烷基铵盐溶液的量热研究中观察到的盐特异性效应。
Phys Chem Chem Phys. 2015 Jan 28;17(4):2475-83. doi: 10.1039/c4cp04710a. Epub 2014 Dec 10.
3
UV/Vis Study of the Alkali Salts of Poly(thiophen-3-ylacetic acid) in Water.聚(噻吩-3-基乙酸)碱金属盐在水中的紫外/可见光谱研究
Acta Chim Slov. 2012 Sep;59(3):571-81.
4
Influence of counterions on the conformation of conjugated polyelectrolytes: the case of poly(thiophen-3-ylacetic acid).抗衡离子对共轭聚电解质构象的影响:以聚(噻吩-3-基乙酸)为例。
Phys Chem Chem Phys. 2016 Sep 14;18(36):25036-25047. doi: 10.1039/c6cp04193k.
5
Effect of counterion excluded volume on the conformational behavior of polyelectrolyte chains.抗衡离子排除体积对聚电解质链构象行为的影响。
Soft Matter. 2018 Feb 21;14(8):1474-1481. doi: 10.1039/c7sm02335a.
6
Simulation Study of the Conformational Properties of Diblock Polyelectrolytes in Salt Solutions.嵌段聚电解质在盐溶液中构象性质的模拟研究。
Chem Asian J. 2021 Nov 2;16(21):3354-3362. doi: 10.1002/asia.202100905. Epub 2021 Sep 8.
7
Molecular dynamics and neutron scattering study of the dependence of polyelectrolyte dendrimer conformation on counterion behavior.聚电解质树枝状大分子构象对反离子行为依赖性的分子动力学和中子散射研究。
J Chem Phys. 2012 Aug 14;137(6):064902. doi: 10.1063/1.4742190.
8
Counterion condensation theory of attraction between like charges in the absence of multivalent counterions.在不存在多价抗衡离子的情况下,同性电荷间吸引力的反离子凝聚理论。
Eur Phys J E Soft Matter. 2011 Dec;34(12):1-18. doi: 10.1140/epje/i2011-11132-6. Epub 2011 Dec 23.
9
Counterion-mediated protein adsorption into polyelectrolyte brushes.抗衡离子介导的蛋白质吸附到聚电解质刷中。
Eur Phys J E Soft Matter. 2015 Sep;38(9):101. doi: 10.1140/epje/i2015-15101-9. Epub 2015 Sep 21.
10
Conformational Properties of Comb-Like Polyelectrolytes: A Coarse-Grained MD Study.梳状聚电解质的构象性质:粗粒度分子动力学研究
J Phys Chem B. 2016 Mar 17;120(10):2859-67. doi: 10.1021/acs.jpcb.6b00568. Epub 2016 Mar 8.

引用本文的文献

1
Extraction of Polyphenols from Slovenian Hop ( L.) Aurora Variety Using Deep Eutectic Solvents: Choice of the Extraction Method vs. Structure of the Solvent.使用深共熔溶剂从斯洛文尼亚啤酒花(L.)奥罗拉品种中提取多酚:提取方法的选择与溶剂结构的关系
Plants (Basel). 2023 Aug 8;12(16):2890. doi: 10.3390/plants12162890.
2
Charge-Compensated N-Doped π-Conjugated Polymers: Toward both Thermodynamic Stability of N-Doped States in Water and High Electron Conductivity.电荷补偿的氮掺杂π共轭聚合物:实现水中氮掺杂态的热力学稳定性和高电子导电性。
Adv Sci (Weinh). 2022 Nov;9(31):e2203530. doi: 10.1002/advs.202203530. Epub 2022 Sep 5.
3

本文引用的文献

1
Interactions of Water and Alkanes: Modifying Additive Force Fields to Account for Polarization Effects.水与烷烃的相互作用:修改加和力场以解释极化效应。
J Chem Theory Comput. 2019 Jun 11;15(6):3854-3867. doi: 10.1021/acs.jctc.9b00016. Epub 2019 May 9.
2
Polarization Corrections and the Hydration Free Energy of Water.极化校正和水的溶剂化自由能。
J Chem Theory Comput. 2019 Feb 12;15(2):1065-1078. doi: 10.1021/acs.jctc.8b01115. Epub 2018 Dec 31.
3
: A Perspective on Polyelectrolyte Solutions.聚电解质溶液的视角
3,4-Ethylenedioxythiophene (EDOT) End-Group Functionalized Poly-ε-caprolactone (PCL): Self-Assembly in Organic Solvents and Its Coincidentally Observed Peculiar Behavior in Thin Film and Protonated Media.
3,4-亚乙基二氧噻吩(EDOT)端基官能化聚ε-己内酯(PCL):在有机溶剂中的自组装及其在薄膜和质子化介质中偶然观察到的特殊行为。
Polymers (Basel). 2021 Aug 14;13(16):2720. doi: 10.3390/polym13162720.
Macromolecules. 2017 Dec 26;50(24):9528-9560. doi: 10.1021/acs.macromol.7b01929. Epub 2017 Dec 14.
4
Ab Initio Prediction of NMR Spin Relaxation Parameters from Molecular Dynamics Simulations.基于分子动力学模拟的核磁共振自旋弛豫参数从头算预测
J Chem Theory Comput. 2018 Feb 13;14(2):1009-1019. doi: 10.1021/acs.jctc.7b00750. Epub 2018 Jan 23.
5
Polythiophenes Comprising Conjugated Pendants for Polymer Solar Cells: A Review.用于聚合物太阳能电池的含共轭侧基的聚噻吩:综述
Materials (Basel). 2014 Mar 27;7(4):2411-2439. doi: 10.3390/ma7042411.
6
Influence of counterions on the conformation of conjugated polyelectrolytes: the case of poly(thiophen-3-ylacetic acid).抗衡离子对共轭聚电解质构象的影响:以聚(噻吩-3-基乙酸)为例。
Phys Chem Chem Phys. 2016 Sep 14;18(36):25036-25047. doi: 10.1039/c6cp04193k.
7
Direct NOE simulation from long MD trajectories.基于长分子动力学轨迹的直接核Overhauser效应模拟
J Magn Reson. 2016 Apr;265:1-9. doi: 10.1016/j.jmr.2016.01.006. Epub 2016 Jan 21.
8
NMR Relaxation and Internal Dynamics of Ubiquitin from a 0.2 μs MD Simulation.从 0.2 μsMD 模拟看泛素的 NMR 弛豫和内部动力学。
J Chem Theory Comput. 2005 May;1(3):363-74. doi: 10.1021/ct0498829.
9
Effect of Water Polarizability on the Properties of Solutions of Polyvalent Ions: Simulations of Aqueous Sodium Sulfate with Different Force Fields.水的极化率对多价离子溶液性质的影响:不同力场下硫酸钠水溶液的模拟
J Chem Theory Comput. 2010 Oct 12;6(10):3233-40. doi: 10.1021/ct100465g. Epub 2010 Sep 23.
10
The intermolecular NOE is strongly influenced by dynamics.分子间核Overhauser效应受动力学的强烈影响。
Phys Chem Chem Phys. 2015 Apr 7;17(13):8509-17. doi: 10.1039/c4cp04779f. Epub 2015 Feb 18.