• 文献检索
  • 文档翻译
  • 深度研究
  • 学术资讯
  • Suppr Zotero 插件Zotero 插件
  • 邀请有礼
  • 套餐&价格
  • 历史记录
应用&插件
Suppr Zotero 插件Zotero 插件浏览器插件Mac 客户端Windows 客户端微信小程序
定价
高级版会员购买积分包购买API积分包
服务
文献检索文档翻译深度研究API 文档MCP 服务
关于我们
关于 Suppr公司介绍联系我们用户协议隐私条款
关注我们

Suppr 超能文献

核心技术专利:CN118964589B侵权必究
粤ICP备2023148730 号-1Suppr @ 2026

文献检索

告别复杂PubMed语法,用中文像聊天一样搜索,搜遍4000万医学文献。AI智能推荐,让科研检索更轻松。

立即免费搜索

文件翻译

保留排版,准确专业,支持PDF/Word/PPT等文件格式,支持 12+语言互译。

免费翻译文档

深度研究

AI帮你快速写综述,25分钟生成高质量综述,智能提取关键信息,辅助科研写作。

立即免费体验

单宁植物作为畜牧业中瘤胃发酵的天然调控因子。

Tannin-Rich Plants as Natural Manipulators of Rumen Fermentation in the Livestock Industry.

机构信息

Department of Animal Science, Universidade Federal de Roraima-UFRR, BR 174, km 12, 69300-000 Boa Vista, Roraima, Brazil.

Department of Animal Science, Universidade de São Paulo-USP, Av. Duque de Caxias Norte, 225, 13635-900 Pirassununga, São Paulo, Brazil.

出版信息

Molecules. 2020 Jun 26;25(12):2943. doi: 10.3390/molecules25122943.

DOI:10.3390/molecules25122943
PMID:32604804
原文链接:https://pmc.ncbi.nlm.nih.gov/articles/PMC7356976/
Abstract

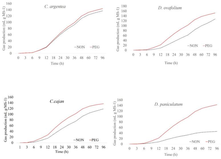
Condensed tannins (CTs) are plant anti-herbivore compounds with antimicrobial activity that can be used in ruminant diets as ruminal microbiome manipulators. However, not all CTs from fodder legumes are bioactive due to their wide structural diversity. The aim of our study was to investigate the effect of 10 CT-containing plants , , , , , , , , and ) on in vitro fermentation kinetics of Nelore beef cattle. Polyethylene glycol (PEG), a specific CT-binding agent, was added to neutralize condensed tannin. Tifton and alfalfa hay were used as controls lacking CT. The experimental layout included a randomized complete block with factorial design and four blocks. The data were subjected to analysis of variance followed by Duncan's test to determine differences (p < 0.05) among treatment means. The addition of PEG in browse incubations resulted in increased gas production, fermentation rate, short-chain fatty acid (SCFA) and N-NH release. Within our study, , , , , and showed superior bioactivity compared to other species evaluated, suggesting a natural alternative for replacing ionophores to modify ruminal fermentation. Condensed tannins from , , , , and have the potential to modify rumen fermentation in beef cattle.

摘要

缩合单宁(CTs)是具有抗食草动物活性的植物抗草化合物,可作为瘤胃微生物组操纵剂用于反刍动物日粮。然而,由于其广泛的结构多样性,并非所有饲料豆类中的 CT 都具有生物活性。我们研究的目的是研究 10 种含有 CT 的植物,包括、、、、、、、和)对巴西内罗尔肉牛体外发酵动力学的影响。聚乙二醇(PEG)是一种特定的 CT 结合剂,用于中和缩合单宁。蒂夫顿干草和紫花苜蓿干草用作缺乏 CT 的对照。实验设计包括随机完全区组和析因设计,共 4 个区组。数据采用方差分析,然后用邓肯氏检验确定处理均值之间的差异(p<0.05)。在浏览孵育中添加 PEG 会增加气体产生、发酵速率、短链脂肪酸(SCFA)和 N-NH 释放。在我们的研究中,与其他评估的物种相比,、、、和表现出更高的生物活性,这表明可以替代离子载体来改变瘤胃发酵的天然替代品。来自、、、和的缩合单宁有可能改变肉牛的瘤胃发酵。

https://cdn.ncbi.nlm.nih.gov/pmc/blobs/a19f/7356976/78635e80b96b/molecules-25-02943-g004a.jpg
https://cdn.ncbi.nlm.nih.gov/pmc/blobs/a19f/7356976/07d686bac015/molecules-25-02943-g001.jpg
https://cdn.ncbi.nlm.nih.gov/pmc/blobs/a19f/7356976/831bef65a831/molecules-25-02943-g002.jpg
https://cdn.ncbi.nlm.nih.gov/pmc/blobs/a19f/7356976/8a8e8063b077/molecules-25-02943-g003.jpg
https://cdn.ncbi.nlm.nih.gov/pmc/blobs/a19f/7356976/78635e80b96b/molecules-25-02943-g004a.jpg
https://cdn.ncbi.nlm.nih.gov/pmc/blobs/a19f/7356976/07d686bac015/molecules-25-02943-g001.jpg
https://cdn.ncbi.nlm.nih.gov/pmc/blobs/a19f/7356976/831bef65a831/molecules-25-02943-g002.jpg
https://cdn.ncbi.nlm.nih.gov/pmc/blobs/a19f/7356976/8a8e8063b077/molecules-25-02943-g003.jpg
https://cdn.ncbi.nlm.nih.gov/pmc/blobs/a19f/7356976/78635e80b96b/molecules-25-02943-g004a.jpg

相似文献

1
Tannin-Rich Plants as Natural Manipulators of Rumen Fermentation in the Livestock Industry.单宁植物作为畜牧业中瘤胃发酵的天然调控因子。
Molecules. 2020 Jun 26;25(12):2943. doi: 10.3390/molecules25122943.
2
Microbial colonisation of tannin-rich tropical plants: Interplay between degradability, methane production and tannin disappearance in the rumen.富含单宁的热带植物的微生物定植:瘤胃中可降解性、甲烷生成和单宁消失之间的相互作用。
Animal. 2022 Aug;16(8):100589. doi: 10.1016/j.animal.2022.100589. Epub 2022 Jul 12.
3
Effect of plant secondary compounds on in vitro methane, ammonia production and ruminal protozoa population.植物次生化合物对体外甲烷、氨产生和瘤胃原虫种群的影响。
J Appl Microbiol. 2013 Aug;115(2):455-65. doi: 10.1111/jam.12238. Epub 2013 May 16.
4
Effect of polyethylene glycol on in vitro degradability of nitrogen and microbial protein synthesis from tannin-rich browse and herbaceous legumes.聚乙二醇对富含单宁的灌木和草本豆科植物氮体外降解性及微生物蛋白质合成的影响
Br J Nutr. 2000 Jul;84(1):73-83.
5
Methanogenic potential of tropical feeds rich in hydrolyzable tannins1,2.富含可水解单宁的热带饲料的产甲烷潜力 1,2。
J Anim Sci. 2019 Jul 2;97(7):2700-2710. doi: 10.1093/jas/skz199.
6
Effects of condensed tannin fractions of different molecular weights from a Leucaena leucocephala hybrid on in vitro methane production and rumen fermentation.银合欢杂种不同分子量缩合单宁组分对体外甲烷生成和瘤胃发酵的影响
J Sci Food Agric. 2015 Oct;95(13):2742-9. doi: 10.1002/jsfa.7016. Epub 2014 Dec 19.
7
Changes in in vitro ruminal and post-ruminal degradation of tropical tannin-rich legumes due to varying levels of polyethylene glycol.不同聚乙二醇水平对富含热带单宁的豆科植物体外瘤胃及瘤胃后降解的影响
J Anim Physiol Anim Nutr (Berl). 2017 Aug;101(4):641-648. doi: 10.1111/jpn.12610. Epub 2017 Jan 4.
8
Ruminal fermentation and enteric methane production of legumes containing condensed tannins fed in continuous culture.连续培养条件下投喂富含单宁的豆类的瘤胃发酵和肠道甲烷生成。
J Dairy Sci. 2020 Aug;103(8):7028-7038. doi: 10.3168/jds.2019-17627. Epub 2020 May 29.
9
Potential of tannin-rich plants for modulating ruminal microbes and ruminal fermentation in sheep.富含单宁的植物对调节绵羊瘤胃微生物和瘤胃发酵的潜力。
J Anim Sci. 2015 Jan;93(1):334-47. doi: 10.2527/jas.2014-7961.
10
In vitro rumen fermentation of the tropical grass Pennisetum purpureum and mixtures with browse legumes: effects of tannin contents.热带牧草杂交狼尾草及其与豆科饲用灌木混贮发酵特性的体外研究:单宁含量的影响
J Anim Physiol Anim Nutr (Berl). 2010 Dec;94(6):696-705. doi: 10.1111/j.1439-0396.2010.01001.x.

引用本文的文献

1
Reducing enteric methane emission in dairy goats: impact of dietary inclusions of quebracho tannin extract on ruminal microbiota.减少奶山羊肠道甲烷排放:添加柯拉索单宁提取物对瘤胃微生物群的影响。
Front Microbiol. 2025 Jul 7;16:1595924. doi: 10.3389/fmicb.2025.1595924. eCollection 2025.
2
Effects of Different Hemicellulose Components on Fermentation Kinetics and Microbial Composition in Fecal Inoculum from Suckling Piglets .不同半纤维素成分对仔猪粪便接种物发酵动力学及微生物组成的影响
ACS Omega. 2025 Feb 27;10(9):9120-9131. doi: 10.1021/acsomega.4c08848. eCollection 2025 Mar 11.
3
Stable isotopes provide evidence that condensed tannins from sericea lespedeza are degraded by ruminal microbes.

本文引用的文献

1
Tannin as a natural rumen modifier to control methanogenesis in beef cattle in tropical systems: Friend or foe to biogas energy production?单宁作为一种天然瘤胃调节剂用于控制热带地区肉牛的甲烷生成:对沼气能源生产是助力还是阻碍?
Res Vet Sci. 2020 Oct;132:88-96. doi: 10.1016/j.rvsc.2020.05.010. Epub 2020 May 22.
2
The Role of Condensed Tannins in the In Vitro Rumen Fermentation Kinetics in Ruminant Species: Feeding Type Involved?缩合单宁在反刍动物体外瘤胃发酵动力学中的作用:是否涉及饲养类型?
Animals (Basel). 2020 Apr 7;10(4):635. doi: 10.3390/ani10040635.
3
Inclusion of quebracho tannin extract in a high-roughage cattle diet alters digestibility, nitrogen balance, and energy partitioning.
稳定同位素为来自绢毛相思的缩合单宁被瘤胃微生物降解提供了证据。
Sci Rep. 2022 Aug 22;12(1):14318. doi: 10.1038/s41598-022-18566-1.
4
Essential Oils as In Vitro Ruminal Fermentation Manipulators to Mitigate Methane Emission by Beef Cattle Grazing Tropical Grasses.植物精油作为体外瘤胃发酵调控剂以减少放牧肉牛对热带牧草甲烷排放的影响。
Molecules. 2022 Mar 29;27(7):2227. doi: 10.3390/molecules27072227.
5
Response to Climate Change: Evaluation of Methane Emissions in Northern Australian Beef Cattle on a High Quality Diet Supplemented with Using Open-Circuit Respiration Chambers and GreenFeed Emission Monitoring Systems.对气候变化的响应:使用开路呼吸室和GreenFeed排放监测系统评估澳大利亚北部优质日粮饲养肉牛的甲烷排放情况。
Biology (Basel). 2021 Sep 21;10(9):943. doi: 10.3390/biology10090943.
6
Traditional Applications of Tannin Rich Extracts Supported by Scientific Data: Chemical Composition, Bioavailability and Bioaccessibility.科学数据支持的富含单宁提取物的传统应用:化学成分、生物利用度和生物可及性
Foods. 2021 Jan 26;10(2):251. doi: 10.3390/foods10020251.
7
By-Products of Agri-Food Industry as Tannin-Rich Sources: A Review of Tannins' Biological Activities and Their Potential for Valorization.作为富含单宁来源的农业食品工业副产品:单宁的生物活性及其增值潜力综述
Foods. 2021 Jan 11;10(1):137. doi: 10.3390/foods10010137.
在高纤维日粮中添加荆树皮单宁提取物会改变消化率、氮平衡和能量分配。
J Anim Sci. 2020 Mar 1;98(3). doi: 10.1093/jas/skaa047.
4
Effect of Tannin and Species Variation on In vitro Digestibility, Gas, and Methane Production of Tropical Browse Plants.单宁和物种变化对热带饲料植物体外消化率、气体和甲烷产量的影响。
Asian-Australas J Anim Sci. 2015 Feb;28(2):188-99. doi: 10.5713/ajas.14.0325.
5
Developing a conceptual model of possible benefits of condensed tannins for ruminant production.构建缩合单宁对反刍动物生产潜在益处的概念模型。
Animal. 2014 Jul;8(7):1095-105. doi: 10.1017/S1751731114000974. Epub 2014 May 1.
6
Effect of molecular weight and concentration of legume condensed tannins on in vitro larval migration inhibition of Haemonchus contortus.豆科植物单宁的分子量和浓度对捻转血矛线虫幼虫体外迁移抑制的影响。
Vet Parasitol. 2014 Jan 17;199(1-2):93-8. doi: 10.1016/j.vetpar.2013.09.025. Epub 2013 Sep 27.
7
Effect of medicinal and aromatic plants on rumen fermentation, protozoa population and methanogenesis in vitro.药用和芳香植物对体外瘤胃发酵、原虫种群和甲烷生成的影响。
J Anim Physiol Anim Nutr (Berl). 2013 Jun;97(3):446-56. doi: 10.1111/j.1439-0396.2012.01285.x. Epub 2012 Mar 2.
8
Fermentation kinetics of sainfoin hay with and without PEG.PEG 存在与否条件下红豆草干草的发酵动力学。
J Anim Physiol Anim Nutr (Berl). 2012 Oct;96(5):842-9. doi: 10.1111/j.1439-0396.2011.01260.x. Epub 2011 Dec 13.
9
Exploitation of dietary tannins to improve rumen metabolism and ruminant nutrition.利用日粮单宁改善瘤胃代谢和反刍动物营养。
J Sci Food Agric. 2011 Jan 15;91(1):24-37. doi: 10.1002/jsfa.4152. Epub 2010 Sep 2.
10
Difference in the nature of tannins on in vitro ruminal methane and volatile fatty acid production and on methanogenic archaea and protozoal populations.单宁在体外瘤胃甲烷和挥发性脂肪酸产生以及产甲烷古菌和原生动物种群中的性质差异。
J Dairy Sci. 2009 Nov;92(11):5512-22. doi: 10.3168/jds.2008-1441.