• 文献检索
  • 文档翻译
  • 深度研究
  • 学术资讯
  • Suppr Zotero 插件Zotero 插件
  • 邀请有礼
  • 套餐&价格
  • 历史记录
应用&插件
Suppr Zotero 插件Zotero 插件浏览器插件Mac 客户端Windows 客户端微信小程序
定价
高级版会员购买积分包购买API积分包
服务
文献检索文档翻译深度研究API 文档MCP 服务
关于我们
关于 Suppr公司介绍联系我们用户协议隐私条款
关注我们

Suppr 超能文献

核心技术专利:CN118964589B侵权必究
粤ICP备2023148730 号-1Suppr @ 2026

文献检索

告别复杂PubMed语法,用中文像聊天一样搜索,搜遍4000万医学文献。AI智能推荐,让科研检索更轻松。

立即免费搜索

文件翻译

保留排版,准确专业,支持PDF/Word/PPT等文件格式,支持 12+语言互译。

免费翻译文档

深度研究

AI帮你快速写综述,25分钟生成高质量综述,智能提取关键信息,辅助科研写作。

立即免费体验

1990年至2017年中国结核病流行趋势:基于全球疾病负担研究的证据

Epidemic Trends of Tuberculosis in China from 1990 to 2017: Evidence from the Global Burden of Disease Study.

作者信息

Ding Cheng, Wang Shuting, Shangguan Yanwan, Feng Xuewen, Guo Wanru, Shi Pei, Ji Zhongkang, Xu Kaijin

机构信息

State Key Laboratory for Diagnosis and Treatment of Infectious Diseases, National Clinical Research Center for Infectious Diseases, Collaborative Innovation Center for Diagnosis and Treatment of Infectious Diseases, The First Affiliated Hospital, College of Medicine, Zhejiang University, Hangzhou 310003, Zhejiang, People's Republic of China.

出版信息

Infect Drug Resist. 2020 Jun 9;13:1663-1672. doi: 10.2147/IDR.S249698. eCollection 2020.

DOI:10.2147/IDR.S249698
PMID:32606817
原文链接:https://pmc.ncbi.nlm.nih.gov/articles/PMC7293403/
Abstract

PURPOSE

Tuberculosis remains a major public health problem globally, especially in undeveloped countries. This study aimed to evaluate and review the long-term epidemic trends of tuberculosis in China.

METHODS

Data were extracted from the Global Health Data Exchange. Metrics (prevalence, incidence and mortality) and Joinpoint regression were used to identify the epidemic trends.

RESULTS

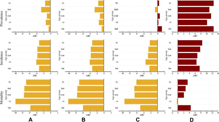
From 1990 to 2017, decreasing trends in prevalence (average annual percent change, AAPC: -0.5%, 95% CI: -0.6% to -0.5%), incidence (-3.2%, 95% CI: -3.5% to -2.9%), and mortality (-5.7%, 95% CI: -6.2% to -5.3%) of tuberculosis were observed. The incidence and mortality of multidrug-resistant tuberculosis (MDR-TB) decreased with AAPC of -2.3% (-3.1% to -1.4%) and -4.9% (-5.4% to -4.5%), respectively, while the prevalence increased with an AAPC of 1.2% (0.3% to 2.0%). The burden of extensively drug-resistant tuberculosis (XDR-TB) increased with an AAPC of 12.5% (11.9% to 13.2%) in prevalence, 7.6% (6.5% to 8.7%) in incidence, and 4.5% (3.6% to 5.4%) in mortality. The disease burden of tuberculosis increased with age and peaked among those aged over 70.

CONCLUSION

The epidemic of tuberculosis decreased in China, while the disease burden was still challenging to control. MDR-TB and XDR-TB should be emphasized along with the epidemic. It will certainly be a difficult task to achieve the post-2015 global targets by 2025 and 2035.

摘要

目的

结核病仍是全球主要的公共卫生问题,在不发达国家尤为如此。本研究旨在评估和回顾中国结核病的长期流行趋势。

方法

数据取自全球卫生数据交换平台。采用指标(患病率、发病率和死亡率)及Joinpoint回归分析来确定流行趋势。

结果

1990年至2017年,观察到结核病的患病率(平均年变化百分比,AAPC:-0.5%,95%可信区间:-0.6%至-0.5%)、发病率(-3.2%,95%可信区间:-3.5%至-2.9%)和死亡率(-5.7%,95%可信区间:-6.2%至-5.3%)呈下降趋势。耐多药结核病(MDR-TB)的发病率和死亡率分别以-2.3%(-3.1%至-1.4%)和-4.9%(-5.4%至-4.5%)的AAPC下降,而患病率以1.2%(0.3%至2.0%)的AAPC上升。广泛耐药结核病(XDR-TB)的负担在患病率方面以12.5%(11.9%至13.2%)的AAPC增加,发病率方面为7.6%(6.5%至8.7%),死亡率方面为4.5%(3.6%至5.4%)。结核病的疾病负担随年龄增长而增加,在70岁以上人群中达到峰值。

结论

中国结核病的流行有所下降,但疾病负担的控制仍具有挑战性。应在关注疫情的同时,重视耐多药结核病和广泛耐药结核病。要在2025年和2035年实现2015年后的全球目标,无疑是一项艰巨的任务。

https://cdn.ncbi.nlm.nih.gov/pmc/blobs/878a/7293403/242d56afdbcc/IDR-13-1663-g0004.jpg
https://cdn.ncbi.nlm.nih.gov/pmc/blobs/878a/7293403/353fe82263e5/IDR-13-1663-g0001.jpg
https://cdn.ncbi.nlm.nih.gov/pmc/blobs/878a/7293403/cc9bbd825c52/IDR-13-1663-g0002.jpg
https://cdn.ncbi.nlm.nih.gov/pmc/blobs/878a/7293403/ddcd152fac52/IDR-13-1663-g0003.jpg
https://cdn.ncbi.nlm.nih.gov/pmc/blobs/878a/7293403/242d56afdbcc/IDR-13-1663-g0004.jpg
https://cdn.ncbi.nlm.nih.gov/pmc/blobs/878a/7293403/353fe82263e5/IDR-13-1663-g0001.jpg
https://cdn.ncbi.nlm.nih.gov/pmc/blobs/878a/7293403/cc9bbd825c52/IDR-13-1663-g0002.jpg
https://cdn.ncbi.nlm.nih.gov/pmc/blobs/878a/7293403/ddcd152fac52/IDR-13-1663-g0003.jpg
https://cdn.ncbi.nlm.nih.gov/pmc/blobs/878a/7293403/242d56afdbcc/IDR-13-1663-g0004.jpg

相似文献

1
Epidemic Trends of Tuberculosis in China from 1990 to 2017: Evidence from the Global Burden of Disease Study.1990年至2017年中国结核病流行趋势:基于全球疾病负担研究的证据
Infect Drug Resist. 2020 Jun 9;13:1663-1672. doi: 10.2147/IDR.S249698. eCollection 2020.
2
Trends in incidence and mortality of tuberculosis in India over past three decades: a joinpoint and age-period-cohort analysis.过去三十年来印度结核病发病率和死亡率的趋势:联合分析和年龄-时期-队列分析。
BMC Pulm Med. 2021 Nov 16;21(1):375. doi: 10.1186/s12890-021-01740-y.
3
Global prevalence and burden of multidrug-resistant tuberculosis from 1990 to 2019.全球 1990 年至 2019 年耐多药结核病的流行和负担。
BMC Infect Dis. 2024 Feb 22;24(1):243. doi: 10.1186/s12879-024-09079-5.
4
Tuberculosis结核病
5
Global burden of MDR-TB and XDR-TB attributable to high fasting plasma glucose from 1990 to 2019: a retrospective analysis based on the global burden of disease study 2019.2019 年全球归因于高空腹血糖的耐多药结核病和广泛耐药结核病的负担:基于 2019 年全球疾病负担研究的回顾性分析。
Eur J Clin Microbiol Infect Dis. 2024 Apr;43(4):747-765. doi: 10.1007/s10096-024-04779-x. Epub 2024 Feb 17.
6
Epidemic Trends in High Tuberculosis Burden Countries During the Last Three Decades and Feasibility of Achieving the Global Targets at the Country Level.过去三十年高结核病负担国家的流行趋势及在国家层面实现全球目标的可行性
Front Med (Lausanne). 2022 Mar 3;9:798465. doi: 10.3389/fmed.2022.798465. eCollection 2022.
7
Global trends in the incidence rates of MDR and XDR tuberculosis: Findings from the global burden of disease study 2019.耐多药和广泛耐药结核病发病率的全球趋势:2019年全球疾病负担研究的结果
Front Pharmacol. 2023 Feb 24;14:1156249. doi: 10.3389/fphar.2023.1156249. eCollection 2023.
8
Trends in burden of multidrug-resistant tuberculosis in countries, regions, and worldwide from 1990 to 2017: results from the Global Burden of Disease study.1990 年至 2017 年国家、地区和全球耐多药结核病负担趋势:来自全球疾病负担研究的结果。
Infect Dis Poverty. 2021 Mar 6;10(1):24. doi: 10.1186/s40249-021-00803-w.
9
Temporal trends in mortality of tuberculosis attributable to high fasting plasma glucose in China from 1990 to 2019: a joinpoint regression and age-period-cohort analysis.1990 年至 2019 年中国归因于高空腹血糖的结核病死亡率的时间趋势:联合回归和年龄-时期-队列分析。
Front Public Health. 2023 Jul 27;11:1225931. doi: 10.3389/fpubh.2023.1225931. eCollection 2023.
10
Plan to combat extensively drug-resistant tuberculosis: recommendations of the Federal Tuberculosis Task Force.抗击广泛耐药结核病计划:联邦结核病特别工作组的建议
MMWR Recomm Rep. 2009 Feb 13;58(RR-3):1-43.

引用本文的文献

1
Test agreement between GeneXpert and urine lipoarabinomannan test for tuberculosis diagnosis among children in Ethiopia.在埃塞俄比亚儿童中进行GeneXpert与尿液脂阿拉伯甘露聚糖检测用于结核病诊断的检测一致性研究。
BMC Pediatr. 2025 Mar 31;25(1):254. doi: 10.1186/s12887-024-05344-3.
2
Risk factors for poor outcomes in patients with drug-resistant tuberculosis: a 6-year multicenter prospective study in Zhejiang, China.耐多药结核病患者不良结局的危险因素:中国浙江一项为期6年的多中心前瞻性研究
BMC Infect Dis. 2025 Mar 27;25(1):422. doi: 10.1186/s12879-025-10802-z.
3
A comparative study of clinical outcomes and risk factors of tuberculosis in kidney transplant recipients from deceased donors.

本文引用的文献

1
The Lancet Respiratory Medicine Commission: 2019 update: epidemiology, pathogenesis, transmission, diagnosis, and management of multidrug-resistant and incurable tuberculosis.柳叶刀呼吸医学委员会:2019 年更新:耐多药和无法治愈结核病的流行病学、发病机制、传播、诊断和管理。
Lancet Respir Med. 2019 Sep;7(9):820-826. doi: 10.1016/S2213-2600(19)30263-2.
2
Global, regional, and national incidence, prevalence, and years lived with disability for 354 diseases and injuries for 195 countries and territories, 1990-2017: a systematic analysis for the Global Burden of Disease Study 2017.全球、区域和国家层面 195 个国家和地区 1990 年至 2017 年 354 种疾病和伤害导致的发病率、患病率和伤残损失寿命年:基于 2017 年全球疾病负担研究的系统分析。
Lancet. 2018 Nov 10;392(10159):1789-1858. doi: 10.1016/S0140-6736(18)32279-7. Epub 2018 Nov 8.
3
已故供体肾移植受者结核病临床结局及危险因素的比较研究
Eur J Med Res. 2025 Mar 14;30(1):167. doi: 10.1186/s40001-025-02422-9.
4
Disease burden of tuberculosis in China from 1990 to 2021 and its prediction to 2036.1990年至2021年中国结核病的疾病负担及其至2036年的预测。
Front Public Health. 2025 Jan 7;12:1506266. doi: 10.3389/fpubh.2024.1506266. eCollection 2024.
5
Trends in tuberculosis mortality among older adults in China, 2004-2021: a Joinpoint regression and age-period-cohort analysis.2004 - 2021年中国老年人结核病死亡率趋势:Joinpoint回归和年龄 - 时期 - 队列分析
Front Public Health. 2025 Jan 6;12:1500539. doi: 10.3389/fpubh.2024.1500539. eCollection 2024.
6
Prevalence trends, population characteristics and treatment outcomes of tuberculosis combined with diabetes in Southwest China: a register-based retrospective study.中国西南地区肺结核合并糖尿病的患病率趋势、人群特征及治疗结果:一项基于登记的回顾性研究
Front Public Health. 2024 Nov 20;12:1445857. doi: 10.3389/fpubh.2024.1445857. eCollection 2024.
7
The temporal trend of tuberculosis burden in an aging population in China: a secondary data analysis from the GBD 2019.中国老龄化人口结核病负担的时间趋势:来自 GBD 2019 的二次数据分析。
BMC Pulm Med. 2024 Sep 27;24(1):476. doi: 10.1186/s12890-024-03293-2.
8
Epidemiological Characteristics and Spatiotemporal Clustering of Pulmonary Tuberculosis Among Students in Southwest China From 2016 to 2022: Analysis of Population-Based Surveillance Data.2016 年至 2022 年中国西南地区学生人群肺结核的流行病学特征及时空聚集性分析:基于人群的监测数据分析。
JMIR Public Health Surveill. 2024 Sep 24;10:e64286. doi: 10.2196/64286.
9
Efficacy and safety of step-by-step Baduanjin exercise based on doctor-nurse-patient integration mode for pulmonary rehabilitation in patients after lobectomy due to pulmonary tuberculosis: a randomized controlled clinical trial.基于医护患一体化模式的分步八段锦锻炼对肺结核肺叶切除术后患者肺康复的疗效和安全性:一项随机对照临床试验。
J Cardiothorac Surg. 2024 Sep 9;19(1):520. doi: 10.1186/s13019-024-03042-w.
10
A conceptual framework on determinants of the integrated tuberculosis control model implementation in China.中国综合结核病防治模式实施的决定因素概念框架。
Front Med (Lausanne). 2024 Aug 21;11:1407131. doi: 10.3389/fmed.2024.1407131. eCollection 2024.
The epidemiology, pathogenesis, transmission, diagnosis, and management of multidrug-resistant, extensively drug-resistant, and incurable tuberculosis.耐多药、广泛耐药和不可治愈结核病的流行病学、发病机制、传播、诊断及管理
Lancet Respir Med. 2017 Mar 15. doi: 10.1016/S2213-2600(17)30079-6.
4
Multidrug-resistant tuberculosis (MDR-TB) disease burden in China: a systematic review and spatio-temporal analysis.中国耐多药结核病(MDR-TB)的疾病负担:一项系统评价与时空分析
BMC Infect Dis. 2017 Jan 10;17(1):57. doi: 10.1186/s12879-016-2151-5.
5
Status of drug-resistant tuberculosis in China: A systematic review and meta-analysis.中国耐药结核病的现状:一项系统评价与荟萃分析
Am J Infect Control. 2016 Jun 1;44(6):671-6. doi: 10.1016/j.ajic.2015.12.042. Epub 2016 Mar 2.
6
Tuberculosis control in China: use of modelling to develop targets and policies.中国的结核病防控:利用模型制定目标和政策。
Bull World Health Organ. 2015 Nov 1;93(11):790-8. doi: 10.2471/BLT.15.154492. Epub 2015 Sep 15.
7
Multidrug-Resistant Tuberculosis and Extensively Drug-Resistant Tuberculosis.耐多药结核病和广泛耐药结核病
Cold Spring Harb Perspect Med. 2015 Apr 27;5(9):a017863. doi: 10.1101/cshperspect.a017863.
8
Latent tuberculosis infection in rural China: baseline results of a population-based, multicentre, prospective cohort study.中国农村地区的潜伏性结核感染:一项基于人群的、多中心、前瞻性队列研究的基线结果。
Lancet Infect Dis. 2015 Mar;15(3):310-9. doi: 10.1016/S1473-3099(14)71085-0. Epub 2015 Feb 11.
9
Global control of tuberculosis: from extensively drug-resistant to untreatable tuberculosis.全球结核病控制:从广泛耐药结核到无药可治结核。
Lancet Respir Med. 2014 Apr;2(4):321-38. doi: 10.1016/S2213-2600(14)70031-1. Epub 2014 Mar 24.
10
Tuberculosis prevalence in China, 1990-2010; a longitudinal analysis of national survey data.中国结核病流行状况,1990-2010 年;基于全国调查数据的纵向分析。
Lancet. 2014 Jun 14;383(9934):2057-2064. doi: 10.1016/S0140-6736(13)62639-2. Epub 2014 Mar 18.