Suppr超能文献

作为边缘型人格障碍特质数量的函数,信任的矛盾性下降和增长:使用不连续增长模型来检验违反和修复后信任的动态变化。

The paradoxical decline and growth of trust as a function of borderline personality disorder trait count: Using discontinuous growth modelling to examine trust dynamics in response to violation and repair.

机构信息

School of Psychology, University of Wollongong, Wollongong, NSW, Australia.

Darla Moore School of Business, University of South Carolina, Columbia, South Carolina, United States of America.

出版信息

PLoS One. 2020 Jul 23;15(7):e0236170. doi: 10.1371/journal.pone.0236170. eCollection 2020.

Abstract

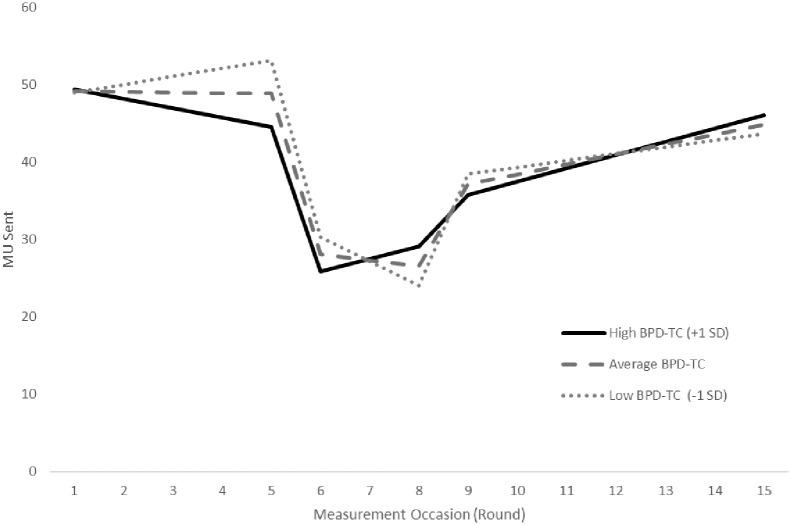
Borderline personality disorder (BPD) is associated with paradoxical trust cognitions and behaviours. While BPD is associated with difficulty forming trust and maintaining cooperation in trust-based exchanges, design and analytical methodology best suited to reveal the temporal ebb and flow of trust have been underutilized. We used an economic game to examine the trajectories of trust as it forms, dissolves, and restores in response to trust violation and repair, and to explain how these vary as a function of borderline pathology. Young adults (N = 234) played a 15-round trust game in which partner trustworthiness was varied to create three phases: trust formation, trust violation, and trust restoration. Discontinuous growth modelling was employed to capture the trends in trust over time and their relationship with BPD trait count. BPD trait count was associated with an incongruous pattern of trust behaviour in the form of declining trust when interacting with a new and cooperative partner, and paradoxically, increasing trust following multiple instances of trust violation by that partner. BPD trait count was also associated with trust restoring at a faster rate than it was originally formed. By adopting a methodology that recognizes the dynamic nature of trust, this study illustrated at a micro level how relational disturbances may be produced and maintained in those with a moderate to high BPD trait count. Further investigation of the factors and processes that underlie these incongruous trust dynamics is recommended.

摘要

边缘型人格障碍(BPD)与矛盾的信任认知和行为有关。虽然 BPD 与形成信任和在基于信任的交换中保持合作有关,但设计和分析方法最适合揭示信任的时间潮起潮落,却一直未得到充分利用。我们使用经济博弈来检验信任的轨迹,因为它在响应信任违反和修复时形成、溶解和恢复,以及解释这些如何作为边缘病理学的函数而变化。年轻成年人(N = 234)玩了 15 轮信任游戏,其中合作伙伴的可信度各不相同,从而形成了三个阶段:信任形成、信任违反和信任恢复。不连续增长模型被用来捕捉信任随时间的趋势及其与 BPD 特征计数的关系。BPD 特征计数与信任行为的不协调模式有关,表现为与新的合作伙伴互动时信任下降,而矛盾的是,该伙伴多次违反信任后信任反而增加。BPD 特征计数也与信任恢复的速度比最初形成的速度更快有关。通过采用一种承认信任动态性质的方法,本研究从微观层面说明了在具有中度至高度 BPD 特征计数的人中,关系干扰是如何产生和维持的。建议进一步研究这些不协调的信任动态背后的因素和过程。

https://cdn.ncbi.nlm.nih.gov/pmc/blobs/b2cc/7377394/6447abe9daea/pone.0236170.g001.jpg

文献检索

告别复杂PubMed语法,用中文像聊天一样搜索,搜遍4000万医学文献。AI智能推荐,让科研检索更轻松。

立即免费搜索

文件翻译

保留排版,准确专业,支持PDF/Word/PPT等文件格式,支持 12+语言互译。

免费翻译文档

深度研究

AI帮你快速写综述,25分钟生成高质量综述,智能提取关键信息,辅助科研写作。

立即免费体验