Division of Gynecological Endocrinology and Reproductive Medicine, Bern University Hospital, University of Bern, Inselspital, 3010 Bern, Switzerland.
CTU Bern, University of Bern, Bern, Switzerland.
Hum Reprod. 2020 Oct 1;35(10):2253-2261. doi: 10.1093/humrep/deaa165.
Does follicular flushing increase the number of mature oocytes in monofollicular IVF?
Follicular flushing increases the number of mature oocytes in monofollicular IVF.
Flushing increases neither the oocyte yield nor the pregnancy rate in polyfollicular IVF or in poor responder patients. In monofollicular IVF, the effect of flushing has so far been addressed by two studies: (i) a prospective study with minimal stimulation IVF demonstrated an increased oocyte yield, and (ii) a retrospective study with natural cycle (NC)-IVF showed an increased oocyte yield and an increased transfer rate.
STUDY DESIGN, SIZE, DURATION: Randomized controlled trial including 164 women who were randomized for either aspiration with or without flushing from 2016 to 2019.
PARTICIPANTS/MATERIALS, SETTING, METHODS: Infertile women 18-42 years of age with an indication for IVF treatment at a university-based infertility unit. Women undergoing monofollicular IVF were randomized to either follicular aspiration only or follicular aspiration directly followed by five follicular flushes at a 1:1 ratio. The intervention was done without anaesthesia, using a gauge 19 single-lumen needle. Flushing volume was calculated (sphere formula) based on the size of the follicle.
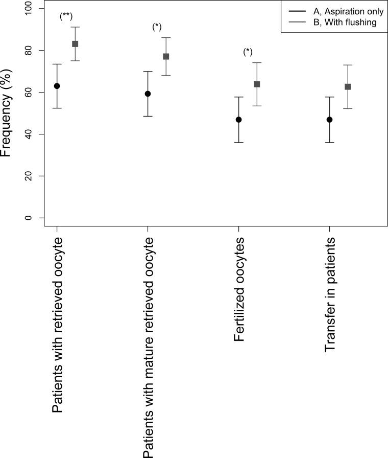
A total of 164 women were included; 81 were allocated to 'aspiration only' and 83 to additional 'flushing'. Primary analysis was based on the intention-to-treat: oocyte yield, defined as the collected mature oocyte rate, was higher (n = 64/83, 77.1%) in the flushing group compared to the aspiration only group (n = 48/81, 59.3%, adjusted risk difference (RD): 18.2% (95% CI 3.9-31.7%), P-value = 0.02). In the flushing group, most oocytes were retrieved within the first three flushes (63/83, 75.8%). Fertilization rate was higher in the flushing group (n = 53/83, 63.9% vs n = 38/81, 46.9%; adjusted RD: 16.8% (96% CI 1.5-31.4%), P = 0.045). Transfer rate was also higher in the flushing group (n = 52/83, 62.7% vs n = 38/81, 46.9%; RD: 15.71 (95% CI 0.3-30.3%)), but the difference was not significant (P = 0.06). The clinical pregnancy rate n = 9/83 versus n = 9/81 (RD: -0.3% (95% CI -9.9% to 9.5%)) and live birth rate n = 7/83 versus n = 8/81 (RD: -1.5% (95% CI -10.4% to 7.1%)) were not significantly different between the flushing and the aspiration group. The median duration of the intervention was significantly longer with flushing (2.38 min; quartiles 2.0, 2.7) versus aspiration only (0.43 min; quartiles 0.3, 0.5) (P < 0.01). There was no significant difference in the mean (±SD) visual analogue scales pain score between the follicular flushing (3.4 ± 1.8) and the aspiration group (3.1 ± 1.89).
LIMITATIONS, REASONS FOR CAUTION: Blinding of the procedure was not possible.
Our study proved that flushing of single follicles in NC-IVF increases the oocyte yield. In contrast to polyfollicular IVF flushing seems to be beneficial in a monofollicular setting if the technique used in our study (single-lumen needle, 5 flushings with flushing volume adaptation) is applied.
STUDY FUNDING/COMPETING INTEREST(S): The study was funded by the financial sources of the division and in part by a research grant provided by NMS Biomedical SA, Switzerland. The company did not have any roles in design or conduct of the study or in the preparation of the manuscript. The authors have no other conflicts of interest.
Clinicaltrials.gov NCT02641808.
29 December 2015.
DATE OF FIRST PATIENT’S ENROLMENT: 22 August 2016.
卵泡冲洗是否会增加单卵泡 IVF 中的成熟卵母细胞数量?
卵泡冲洗会增加单卵泡 IVF 中的成熟卵母细胞数量。
在多卵泡 IVF 或反应不良患者中,冲洗既不会增加卵母细胞的产量,也不会增加妊娠率。在单卵泡 IVF 中,冲洗的效果迄今为止已经通过两项研究来解决:(i)一项采用微刺激 IVF 的前瞻性研究表明卵母细胞产量增加,以及(ii)一项采用自然周期(NC)-IVF 的回顾性研究表明卵母细胞产量增加和转移率增加。
研究设计、大小、持续时间:这项随机对照试验纳入了 2016 年至 2019 年期间因 IVF 治疗而在大学不孕不育科就诊的 164 名不孕妇女。接受单卵泡 IVF 的妇女随机分为抽吸组或抽吸加冲洗组,比例为 1:1。干预措施在没有麻醉的情况下进行,使用 19 号单腔针。冲洗量根据卵泡大小(球体公式)计算。
共纳入 164 名妇女;81 名被分配到“抽吸组”,83 名被分配到额外的“冲洗组”。主要分析基于意向治疗:卵母细胞产量定义为采集的成熟卵母细胞率,冲洗组(n=64/83,77.1%)高于抽吸组(n=48/81,59.3%,调整风险差异(RD):18.2%(95%CI 3.9-31.7%),P 值=0.02)。在冲洗组中,大多数卵母细胞在第一次三次冲洗中被取出(63/83,75.8%)。冲洗组的受精率较高(n=53/83,63.9%vs n=38/81,46.9%;调整后的 RD:16.8%(96%CI 1.5-31.4%),P=0.045)。冲洗组的转移率也较高(n=52/83,62.7%vs n=38/81,46.9%;RD:15.71%(95%CI 0.3-30.3%)),但差异无统计学意义(P=0.06)。临床妊娠率 n=9/83 与 n=9/81(RD:-0.3%(95%CI -9.9%至 9.5%))和活产率 n=7/83 与 n=8/81(RD:-1.5%(95%CI -10.4%至 7.1%))在冲洗组和抽吸组之间无显著差异。冲洗组的干预中位持续时间明显长于抽吸组(2.38 分钟;四分位数 2.0、2.7 分钟)(P<0.01)。卵泡冲洗组(3.4±1.8)和抽吸组(3.1±1.89)的平均(±SD)视觉模拟量表疼痛评分无显著差异。
局限性、谨慎的原因:该程序无法进行盲法。
我们的研究证明,NC-IVF 中单卵泡冲洗可增加卵母细胞产量。与多卵泡 IVF 不同,冲洗在单卵泡情况下似乎是有益的,如果使用我们研究中使用的技术(单腔针,5 次冲洗并适应冲洗量)(n=83,62.7%)(RD:15.71%(95%CI 0.3-30.3%))。公司在研究设计或进行或准备手稿方面没有任何作用。作者没有其他利益冲突。
Clinicaltrials.gov NCT02641808。
2015 年 12 月 29 日。
2016 年 8 月 22 日。