Suppr超能文献

在两种饲养密度下,常规生长速度和生长缓慢型肉鸡的生产性能、体形体况和福利的差异。

Differences in performance, body conformation, and welfare of conventional and slow-growing broiler chickens raised at 2 stocking densities.

机构信息

Department of Animal and Avian Sciences, University of Maryland, College Park, MD 20742, USA.

Agricultural Statistics Lab, University of Arkansas, Fayetteville, AR 72701, USA.

出版信息

Poult Sci. 2020 Sep;99(9):4398-4407. doi: 10.1016/j.psj.2020.06.009. Epub 2020 Jun 25.

Abstract

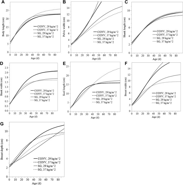
Consumer concern for broiler welfare has increased interest in chicken from slower growing (SG) broiler strains. Broilers from SG strains take longer to reach market weight, which may necessitate differences in management practices, such as stocking density. This study evaluated the effects of 2 stocking densities on production performance, body conformation, and welfare of broilers from 2 strains. Broilers from strains that reach market weight at age 42 D (CONV; N = 284) and at 63 D (SG; N = 284) were exclusively stocked into pens at a density of either 29 kg/m or 37 kg/m. Birds were provided the same starter, grower, and finisher diets with diet phase changes occurring when SG bird body weight (BW) matched CONV. Live BW, body length, pelvic width, shank length, shank width, keel length, breast width, and breast depth were collected at 4 phases: Phase 1-chick placement, Phase 2-starter, Phase 3-grower, and Phase 4-finisher. At Phase 4, footpad dermatitis (FPD), hock burn (HB), and toe damage (TD) were scored. Feed conversion ratio (FCR) and mortality for each pen were recorded throughout the study. Final BW was similar (2.68 kg) for both strains and stocking densities of birds (P > 0.05). CONV bird FCR was 35% more efficient than SG (P < 0.0001). CONV birds had shorter bodies and shanks compared with SG birds at Phases 3 and 4 (P < 0.05). Slower growing birds stocked at 37 kg/m had the longest bodies and keel bones at Phase 4 (P < 0.01). Also at Phase 4, SG birds stocked at 29 kg/m had the lowest prevalence of HB (4%), yet the highest prevalence of TD (28%; P < 0.01). These results indicate differences in the effects of strain and stocking density on male broiler conformation, performance, and welfare and highlight the importance of tailoring management practices to the strain of broiler raised.

摘要

消费者对肉鸡福利的关注增加了对生长速度较慢(SG)肉鸡品种的兴趣。生长速度较慢的肉鸡达到市场体重的时间更长,这可能需要在管理实践上有所不同,例如饲养密度。本研究评估了两种饲养密度对来自两个品种的肉鸡生产性能、体型和福利的影响。来自于 42 日龄(CONV;N=284)和 63 日龄(SG;N=284)达到上市体重的肉鸡品种专门饲养在密度为 29 公斤/平方米或 37 公斤/平方米的鸡舍中。所有的肉鸡均采用相同的起始、生长和育肥日粮,当 SG 鸡体重与 CONV 鸡体重相匹配时,日粮阶段发生变化。在 4 个阶段(第 1 阶段-雏鸡放置、第 2 阶段-起始、第 3 阶段-生长、第 4 阶段-育肥)收集活体体重、体斜长、骨盆宽、胫长、胫宽、龙骨长、胸宽和胸深。在第 4 阶段,评估脚垫皮炎(FPD)、跗关节烧伤(HB)和脚趾损伤(TD)。在整个研究过程中,记录每间鸡舍的饲料转化率(FCR)和死亡率。两个品种和饲养密度的最终体重相似(2.68 公斤)(P>0.05)。CONV 鸡的 FCR 比 SG 鸡高 35%(P<0.0001)。与 SG 鸡相比,CONV 鸡在第 3 阶段和第 4 阶段的身体和胫部较短(P<0.05)。在第 4 阶段,37 公斤/平方米饲养的生长速度较慢的鸡龙骨和身体最长(P<0.01)。同样在第 4 阶段,29 公斤/平方米饲养的 SG 鸡的 HB 发生率最低(4%),但 TD 发生率最高(28%;P<0.01)。这些结果表明,品种和饲养密度对雄性肉鸡体型、性能和福利的影响存在差异,并强调了根据饲养的肉鸡品种定制管理实践的重要性。

https://cdn.ncbi.nlm.nih.gov/pmc/blobs/d05e/7598105/4da6d8decc27/gr1.jpg

文献AI研究员

20分钟写一篇综述,助力文献阅读效率提升50倍。

立即体验

用中文搜PubMed

大模型驱动的PubMed中文搜索引擎

马上搜索

文档翻译

学术文献翻译模型,支持多种主流文档格式。

立即体验