Tommasini Martina, Pellizzoni Elena, Iacuzzi Valentina, Marangon Elena, Posocco Paola, Forzato Cristina, Bertoncin Paolo, Toffoli Giuseppe, Resmini Marina, Berti Federico
Department of Chemical and Pharmaceutical Sciences, University of Trieste, Via Giorgieri 1, 34127 Trieste, Italy.
PhD School in Nanotechnology, University of Trieste, Via Giorgieri 1, 34127 Trieste, Italy.
Nanomaterials (Basel). 2020 Aug 29;10(9):1707. doi: 10.3390/nano10091707.
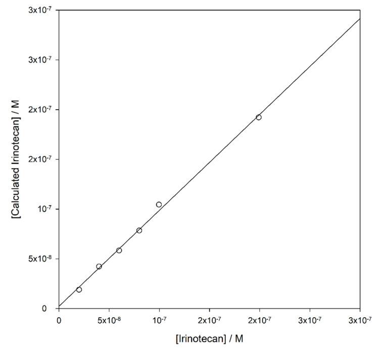
Fluorescent, imprinted nanosized polymers for the detection of irinotecan have been synthesised using a napthalimide polymerisable derivative (2-allyl-6-[2-(aminoethyl)-amino] napthalimide) as functional monomer. The imprinted polymers contain ethylene glycol dimethacrylate (EGDMA) as a cross-linker and were prepared by high dilution radical polymerisation in dimethylsulphoxide (DMSO). The material was able to rebind irinotecan up to 18 nmol/mg with good specificity. Fluorescence emission at 525 nm (excitation at 448 nm) was quenched by increasing concentrations of irinotecan via a static mechanism and also in analytically useful environments as mixtures of human plasma and organic solvents. This allowed the direct detection of irinotecan (in the 10 nM-30 µM range) in human plasma treated with acetonitrile; the limit of detection (LOD) was 9.4 nM, with within-run variability of 10% and day-to-day variability of 13%.
已使用萘二甲酰亚胺可聚合衍生物(2-烯丙基-6-[2-(氨基乙基)-氨基]萘二甲酰亚胺)作为功能单体合成了用于检测伊立替康的荧光印迹纳米聚合物。印迹聚合物包含乙二醇二甲基丙烯酸酯(EGDMA)作为交联剂,通过在二甲基亚砜(DMSO)中进行高稀释自由基聚合制备。该材料能够以良好的特异性重新结合高达18 nmol/mg的伊立替康。通过静态机制,随着伊立替康浓度的增加,在525 nm处的荧光发射(448 nm激发)会猝灭,并且在人血浆和有机溶剂混合物等分析有用的环境中也是如此。这使得在用乙腈处理的人血浆中能够直接检测伊立替康(在10 nM - 30 µM范围内);检测限(LOD)为9.4 nM,批内变异为10%,日间变异为13%。