Lee Chiang-Wen, Vo Thi Thuy Tien, Wu Ching-Zong, Chi Miao-Ching, Lin Chieh-Mo, Fang Mei-Ling, Lee I-Ta
Department of Orthopaedic Surgery, Chang Gung Memorial Hospital, Puzi City, Chiayi County 613, Taiwan.
Department of Nursing, Division of Basic Medical Sciences, Chronic Diseases and Health Promotion Research Center, Chang Gung University of Science and Technology, Puzi City, Chiayi County 613, Taiwan.
Cancers (Basel). 2020 Sep 3;12(9):2505. doi: 10.3390/cancers12092505.
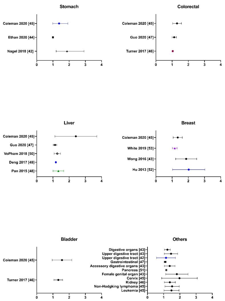
Cancer is one of the leading causes of premature death and overall death in the world. On the other hand, fine particulate matter, which is less than 2.5 microns in aerodynamic diameter, is a global health problem due to its small diameter but high toxicity. Accumulating evidence has demonstrated the positive associations between this pollutant with both lung and non-lung cancer processes. However, the underlying mechanisms are yet to be elucidated. The present review summarizes and analyzes the most recent findings on the relationship between fine particulate matter and various types of cancer along with the oxidative stress mechanisms as its possible carcinogenic mechanisms. Also, promising antioxidant therapies against cancer induced by this poison factor are discussed.
癌症是全球过早死亡和总体死亡的主要原因之一。另一方面,空气动力学直径小于2.5微米的细颗粒物,因其直径小但毒性高,成为一个全球性的健康问题。越来越多的证据表明,这种污染物与肺癌及非肺癌的发生过程均存在正相关。然而,其潜在机制尚待阐明。本综述总结并分析了关于细颗粒物与各类癌症之间关系的最新研究结果,以及作为其可能致癌机制的氧化应激机制。此外,还讨论了针对这种致癌因素所致癌症的有前景的抗氧化治疗方法。