• 文献检索
  • 文档翻译
  • 深度研究
  • 学术资讯
  • Suppr Zotero 插件Zotero 插件
  • 邀请有礼
  • 套餐&价格
  • 历史记录
应用&插件
Suppr Zotero 插件Zotero 插件浏览器插件Mac 客户端Windows 客户端微信小程序
定价
高级版会员购买积分包购买API积分包
服务
文献检索文档翻译深度研究API 文档MCP 服务
关于我们
关于 Suppr公司介绍联系我们用户协议隐私条款
关注我们

Suppr 超能文献

核心技术专利:CN118964589B侵权必究
粤ICP备2023148730 号-1Suppr @ 2026

文献检索

告别复杂PubMed语法,用中文像聊天一样搜索,搜遍4000万医学文献。AI智能推荐,让科研检索更轻松。

立即免费搜索

文件翻译

保留排版,准确专业,支持PDF/Word/PPT等文件格式,支持 12+语言互译。

免费翻译文档

深度研究

AI帮你快速写综述,25分钟生成高质量综述,智能提取关键信息,辅助科研写作。

立即免费体验

肌萎缩侧索硬化症中肌束震颤的起伏

The rise and fall of fasciculations in amyotrophic lateral sclerosis.

作者信息

Bashford James A, Wickham Aidan, Iniesta Raquel, Drakakis Emmanuel M, Boutelle Martyn G, Mills Kerry R, Shaw Chris E

机构信息

UK Dementia Research Institute, Department of Basic and Clinical Neuroscience, Maurice Wohl Clinical Neuroscience Institute, Institute of Psychiatry, Psychology and Neuroscience, King's College London, London, UK.

Department of Bioengineering, Imperial College London, London, UK.

出版信息

Brain Commun. 2020 Feb 20;2(1):fcaa018. doi: 10.1093/braincomms/fcaa018. eCollection 2020.

DOI:10.1093/braincomms/fcaa018
PMID:32901231
原文链接:https://pmc.ncbi.nlm.nih.gov/articles/PMC7425399/
Abstract

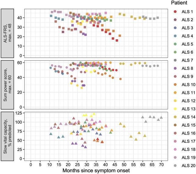
Amyotrophic lateral sclerosis is a devastating neurodegenerative disease with a median survival of 3 years from symptom onset. Accessible and reliable biomarkers of motor neuron decline are urgently needed to quicken the pace of drug discovery. Fasciculations represent an early pathophysiological hallmark of amyotrophic lateral sclerosis and can be reliably detected by high-density surface electromyography. We set out to quantify fasciculation potentials prospectively over 14 months, seeking comparisons with established markers of disease progression. Twenty patients with amyotrophic lateral sclerosis and five patients with benign fasciculation syndrome underwent up to seven assessments each. At each assessment, we performed the amyotrophic lateral sclerosis-functional rating scale, sum power score, slow vital capacity, 30-min high-density surface electromyography recordings from biceps and gastrocnemius and the motor unit number index. We employed the Surface Potential Quantification Engine, which is an automated analytical tool to detect and characterize fasciculations. Linear mixed-effect models were employed to account for the pseudoreplication of serial measurements. The amyotrophic lateral sclerosis-functional rating scale declined by 0.65 points per month ( < 0.0001), 35% slower than average. A total of 526 recordings were analysed. Compared with benign fasciculation syndrome, biceps fasciculation frequency in amyotrophic lateral sclerosis was 10 times greater in strong muscles and 40 times greater in weak muscles. This was coupled with a decline in fasciculation frequency among weak muscles of -7.6/min per month ( = 0.003), demonstrating the rise and fall of fasciculation frequency in biceps muscles. Gastrocnemius behaved differently, whereby strong muscles in amyotrophic lateral sclerosis had fasciculation frequencies five times greater than patients with benign fasciculation syndrome while weak muscles were increased by only 1.5 times. Gastrocnemius demonstrated a significant decline in fasciculation frequency in strong muscles (2.4/min per month, < 0.0001), which levelled off in weak muscles. Fasciculation amplitude, an easily quantifiable surrogate of the reinnervation process, was highest in the biceps muscles that transitioned from strong to weak during the study. Pooled analysis of >900 000 fasciculations revealed inter-fasciculation intervals <100 ms in the biceps of patients with amyotrophic lateral sclerosis, particularly in strong muscles, consistent with the occurrence of doublets. We hereby present the most comprehensive longitudinal quantification of fasciculation parameters in amyotrophic lateral sclerosis, proposing a unifying model of the interactions between motor unit loss, muscle power and fasciculation frequency. The latter showed promise as a disease biomarker with linear rates of decline in strong gastrocnemius and weak biceps muscles, reflecting the motor unit loss that drives clinical progression.

摘要

肌萎缩侧索硬化症是一种毁灭性的神经退行性疾病,从症状出现起的中位生存期为3年。迫切需要可获取且可靠的运动神经元衰退生物标志物,以加快药物研发的步伐。肌束震颤是肌萎缩侧索硬化症的早期病理生理特征,可通过高密度表面肌电图可靠地检测到。我们着手对14个月内的肌束震颤电位进行前瞻性量化,寻求与既定的疾病进展标志物进行比较。20例肌萎缩侧索硬化症患者和5例良性肌束震颤综合征患者每人接受了多达7次评估。每次评估时,我们进行了肌萎缩侧索硬化症功能评定量表、总功率评分、慢肺活量、肱二头肌和腓肠肌30分钟的高密度表面肌电图记录以及运动单位数量指数测定。我们使用了表面电位量化引擎,这是一种用于检测和表征肌束震颤的自动化分析工具。采用线性混合效应模型来处理系列测量的伪重复问题。肌萎缩侧索硬化症功能评定量表每月下降0.65分(<0.0001),比平均速度慢35%。共分析了526份记录。与良性肌束震颤综合征相比,肌萎缩侧索硬化症患者肱二头肌在强壮肌肉中的肌束震颤频率高10倍,在虚弱肌肉中高40倍。这伴随着虚弱肌肉中肌束震颤频率每月下降7.6次/分钟(P = 0.003),表明肱二头肌中肌束震颤频率的升降情况。腓肠肌表现不同,肌萎缩侧索硬化症患者强壮肌肉中的肌束震颤频率比良性肌束震颤综合征患者高5倍,而虚弱肌肉中仅增加1.5倍。腓肠肌强壮肌肉中的肌束震颤频率显著下降(每月2.4次/分钟,<0.0001),在虚弱肌肉中趋于平稳。肌束震颤幅度是神经再支配过程中一个易于量化的替代指标,在研究期间从强壮转变为虚弱的肱二头肌中最高。对超过90万个肌束震颤的汇总分析显示,肌萎缩侧索硬化症患者肱二头肌中的肌束震颤间隔<100毫秒,尤其是在强壮肌肉中,这与成对肌束震颤的发生一致。我们在此展示了肌萎缩侧索硬化症中肌束震颤参数最全面的纵向量化,提出了一个运动单位丢失、肌肉力量和肌束震颤频率之间相互作用的统一模型。后者有望成为一种疾病生物标志物,在强壮的腓肠肌和虚弱的肱二头肌中呈线性下降率,反映驱动临床进展的运动单位丢失情况。

https://cdn.ncbi.nlm.nih.gov/pmc/blobs/e6e5/7425399/92f4972e86ae/fcaa018f6.jpg
https://cdn.ncbi.nlm.nih.gov/pmc/blobs/e6e5/7425399/4a049463a872/fcaa018f7.jpg
https://cdn.ncbi.nlm.nih.gov/pmc/blobs/e6e5/7425399/1b79c004af6b/fcaa018f1.jpg
https://cdn.ncbi.nlm.nih.gov/pmc/blobs/e6e5/7425399/260396f8ab1b/fcaa018f2.jpg
https://cdn.ncbi.nlm.nih.gov/pmc/blobs/e6e5/7425399/378eac84b355/fcaa018f3.jpg
https://cdn.ncbi.nlm.nih.gov/pmc/blobs/e6e5/7425399/078a9df54d8c/fcaa018f4.jpg
https://cdn.ncbi.nlm.nih.gov/pmc/blobs/e6e5/7425399/61695395ab03/fcaa018f5.jpg
https://cdn.ncbi.nlm.nih.gov/pmc/blobs/e6e5/7425399/92f4972e86ae/fcaa018f6.jpg
https://cdn.ncbi.nlm.nih.gov/pmc/blobs/e6e5/7425399/4a049463a872/fcaa018f7.jpg
https://cdn.ncbi.nlm.nih.gov/pmc/blobs/e6e5/7425399/1b79c004af6b/fcaa018f1.jpg
https://cdn.ncbi.nlm.nih.gov/pmc/blobs/e6e5/7425399/260396f8ab1b/fcaa018f2.jpg
https://cdn.ncbi.nlm.nih.gov/pmc/blobs/e6e5/7425399/378eac84b355/fcaa018f3.jpg
https://cdn.ncbi.nlm.nih.gov/pmc/blobs/e6e5/7425399/078a9df54d8c/fcaa018f4.jpg
https://cdn.ncbi.nlm.nih.gov/pmc/blobs/e6e5/7425399/61695395ab03/fcaa018f5.jpg
https://cdn.ncbi.nlm.nih.gov/pmc/blobs/e6e5/7425399/92f4972e86ae/fcaa018f6.jpg

相似文献

1
The rise and fall of fasciculations in amyotrophic lateral sclerosis.肌萎缩侧索硬化症中肌束震颤的起伏
Brain Commun. 2020 Feb 20;2(1):fcaa018. doi: 10.1093/braincomms/fcaa018. eCollection 2020.
2
Characteristics of fasciculations in amyotrophic lateral sclerosis and the benign fasciculation syndrome.肌萎缩侧索硬化症和良性肌束震颤的肌束震颤特征。
Brain. 2010 Nov;133(11):3458-69. doi: 10.1093/brain/awq290. Epub 2010 Oct 19.
3
First-recruited motor units adopt a faster phenotype in amyotrophic lateral sclerosis.在肌萎缩侧索硬化症中,最早募集的运动单位表现出更快的表型。
J Physiol. 2021 Sep;599(17):4117-4130. doi: 10.1113/JP281310. Epub 2021 Aug 9.
4
Non-invasive measurement of fasciculation frequency demonstrates diagnostic accuracy in amyotrophic lateral sclerosis.肌束震颤频率的非侵入性测量在肌萎缩侧索硬化症中显示出诊断准确性。
Brain Commun. 2020 Sep 7;2(2):fcaa141. doi: 10.1093/braincomms/fcaa141. eCollection 2020.
5
Preprocessing surface EMG data removes voluntary muscle activity and enhances SPiQE fasciculation analysis.预处理表面肌电数据可去除自主肌肉活动并增强 SPiQE 肌束震颤分析。
Clin Neurophysiol. 2020 Jan;131(1):265-273. doi: 10.1016/j.clinph.2019.09.015. Epub 2019 Nov 4.
6
SPiQE: An automated analytical tool for detecting and characterising fasciculations in amyotrophic lateral sclerosis.SPiQE:一种用于检测和分析肌萎缩侧索硬化症肌束震颤的自动化分析工具。
Clin Neurophysiol. 2019 Jul;130(7):1083-1090. doi: 10.1016/j.clinph.2019.03.032. Epub 2019 Apr 19.
7
Fasciculation electromechanical latency is prolonged in amyotrophic lateral sclerosis.肌束震颤机电潜伏期在肌萎缩侧索硬化症中延长。
Clin Neurophysiol. 2023 Jan;145:71-80. doi: 10.1016/j.clinph.2022.11.005. Epub 2022 Nov 17.
8
Fasciculations demonstrate daytime consistency in amyotrophic lateral sclerosis.肌束震颤在肌萎缩侧索硬化症中具有日间一致性。
Muscle Nerve. 2020 Jun;61(6):745-750. doi: 10.1002/mus.26864. Epub 2020 Apr 7.
9
Fasciculation discharge frequency in amyotrophic lateral sclerosis and related disorders.肌萎缩侧索硬化症及相关疾病中的肌束震颤放电频率
Clin Neurophysiol. 2016 May;127(5):2257-62. doi: 10.1016/j.clinph.2016.02.011. Epub 2016 Feb 27.
10
A shortened surface electromyography recording is sufficient to facilitate home fasciculation assessment.缩短表面肌电图记录足以促进家庭肌束震颤评估。
Muscle Nerve. 2022 Nov;66(5):625-630. doi: 10.1002/mus.27701. Epub 2022 Sep 2.

引用本文的文献

1
Enhanced Acute Muscle Activation in ALS Patients Following Liposomal Curcumin, Resveratrol, and Dutasteride Administration.脂质体姜黄素、白藜芦醇和度他雄胺给药后肌萎缩侧索硬化症患者急性肌肉激活增强。
Pharmaceuticals (Basel). 2025 Mar 28;18(4):497. doi: 10.3390/ph18040497.
2
Neuronal Circuit Dysfunction in Amyotrophic Lateral Sclerosis.肌萎缩侧索硬化症中的神经元回路功能障碍。
Cells. 2024 May 7;13(10):792. doi: 10.3390/cells13100792.
3
C9ORF72 Deficiency Results in Neurodegeneration in the Zebrafish Retina.C9ORF72 缺失导致斑马鱼视网膜神经退行性变。

本文引用的文献

1
Preprocessing surface EMG data removes voluntary muscle activity and enhances SPiQE fasciculation analysis.预处理表面肌电数据可去除自主肌肉活动并增强 SPiQE 肌束震颤分析。
Clin Neurophysiol. 2020 Jan;131(1):265-273. doi: 10.1016/j.clinph.2019.09.015. Epub 2019 Nov 4.
2
SPiQE: An automated analytical tool for detecting and characterising fasciculations in amyotrophic lateral sclerosis.SPiQE:一种用于检测和分析肌萎缩侧索硬化症肌束震颤的自动化分析工具。
Clin Neurophysiol. 2019 Jul;130(7):1083-1090. doi: 10.1016/j.clinph.2019.03.032. Epub 2019 Apr 19.
3
Defining pre-symptomatic amyotrophic lateral sclerosis.
J Neurosci. 2024 Jun 19;44(25):e2128232024. doi: 10.1523/JNEUROSCI.2128-23.2024.
4
Biological networks and complexity in early-onset motor neuron diseases.早发性运动神经元疾病中的生物网络与复杂性
Front Neurol. 2022 Oct 21;13:1035406. doi: 10.3389/fneur.2022.1035406. eCollection 2022.
5
Non-invasive measurement of fasciculation frequency demonstrates diagnostic accuracy in amyotrophic lateral sclerosis.肌束震颤频率的非侵入性测量在肌萎缩侧索硬化症中显示出诊断准确性。
Brain Commun. 2020 Sep 7;2(2):fcaa141. doi: 10.1093/braincomms/fcaa141. eCollection 2020.
6
Considerations on the concept, definition, and diagnosis of amyotrophic lateral sclerosis.关于肌萎缩侧索硬化症的概念、定义及诊断的思考
Neural Regen Res. 2021 Sep;16(9):1723-1729. doi: 10.4103/1673-5374.306065.
7
Accurate interpretation of fasciculation frequency in amyotrophic lateral sclerosis hinges on both muscle type and stage of disease.准确解读肌萎缩侧索硬化症中的肌束震颤频率取决于肌肉类型和疾病阶段。
Brain Commun. 2020 Dec 11;2(2):fcaa189. doi: 10.1093/braincomms/fcaa189. eCollection 2020.
8
Fasciculation frequency is a questionable biomarker for motor unit loss in amyotrophic lateral sclerosis.肌束震颤频率作为肌萎缩侧索硬化症运动单位丧失的生物标志物存在疑问。
Brain Commun. 2020 Dec 11;2(2):fcaa188. doi: 10.1093/braincomms/fcaa188. eCollection 2020.
定义症状前肌萎缩侧索硬化症。
Amyotroph Lateral Scler Frontotemporal Degener. 2019 Aug;20(5-6):303-309. doi: 10.1080/21678421.2019.1587634. Epub 2019 Mar 20.
4
Amyotrophic lateral sclerosis diagnostic index: Toward a personalized diagnosis of ALS.肌萎缩侧索硬化症诊断指数:迈向 ALS 的个体化诊断。
Neurology. 2019 Feb 5;92(6):e536-e547. doi: 10.1212/WNL.0000000000006876. Epub 2019 Jan 11.
5
Functional magnetic resonance imaging of human motor unit fasciculation in amyotrophic lateral sclerosis.肌萎缩侧索硬化症患者运动单位束颤的功能磁共振成像。
Ann Neurol. 2019 Mar;85(3):455-459. doi: 10.1002/ana.25422. Epub 2019 Feb 5.
6
New insights into the pathophysiology of fasciculations in amyotrophic lateral sclerosis: An ultrasound study.肌萎缩侧索硬化症肌束颤动的病理生理学新见解:一项超声研究。
Clin Neurophysiol. 2018 Dec;129(12):2650-2657. doi: 10.1016/j.clinph.2018.09.014. Epub 2018 Sep 24.
7
Neurophysiological biomarkers in amyotrophic lateral sclerosis.肌萎缩侧索硬化症的神经生理学生物标志物。
Curr Opin Neurol. 2018 Oct;31(5):640-647. doi: 10.1097/WCO.0000000000000593.
8
Acute Effects of Riluzole and Retigabine on Axonal Excitability in Patients With Amyotrophic Lateral Sclerosis: A Randomized, Double-Blind, Placebo-Controlled, Crossover Trial.利鲁唑和瑞替加滨对肌萎缩侧索硬化症患者轴突兴奋性的急性影响:一项随机、双盲、安慰剂对照、交叉试验。
Clin Pharmacol Ther. 2018 Dec;104(6):1136-1145. doi: 10.1002/cpt.1096. Epub 2018 Jun 19.
9
Hypoexcitability precedes denervation in the large fast-contracting motor units in two unrelated mouse models of ALS.在两种不相关的 ALS 小鼠模型中,大型快速收缩运动单位的 Hypoexcitability 先于去神经支配。
Elife. 2018 Mar 27;7:e30955. doi: 10.7554/eLife.30955.
10
Motor unit number index and neurophysiological index as candidate biomarkers of presymptomatic motor neuron loss in amyotrophic lateral sclerosis.运动单位数量指数和神经生理学指数作为肌萎缩侧索硬化症运动神经元损失前的候选生物标志物。
Muscle Nerve. 2018 Aug;58(2):204-212. doi: 10.1002/mus.26087. Epub 2018 Feb 12.