Suppr超能文献

用于水处理的聚合物基生物絮凝剂的最新进展。

Recent Achievements in Polymer Bio-Based Flocculants for Water Treatment.

作者信息

Maćczak Piotr, Kaczmarek Halina, Ziegler-Borowska Marta

机构信息

Faculty of Chemistry, Nicolaus Copernicus University in Toruń, Gagarina 7, 87-100 Toruń, Poland.

Water Supply and Sewage Enterprise LLC, Przemysłowa 4, 99-300 Kutno, Poland.

出版信息

Materials (Basel). 2020 Sep 7;13(18):3951. doi: 10.3390/ma13183951.

Abstract

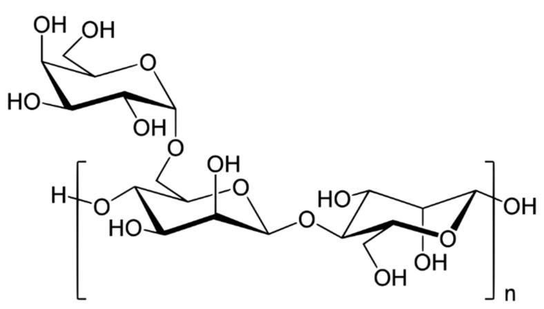
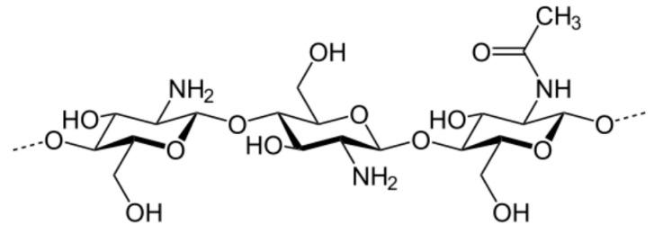
Polymer flocculants are used to promote solid-liquid separation processes in potable water and wastewater treatment. Recently, bio-based flocculants have received a lot of attention due to their superior advantages over conventional synthetic polymers or inorganic agents. Among natural polymers, polysaccharides show many benefits such as biodegradability, non-toxicity, ability to undergo different chemical modifications, and wide accessibility from renewable sources. The following article provides an overview of bio-based flocculants and their potential application in water treatment, which may be an indication to look for safer alternatives compared to synthetic polymers. Based on the recent literature, a new approach in searching for biopolymer flocculants sources, flocculation mechanisms, test methods, and factors affecting this process are presented. Particular attention is paid to flocculants based on starch, cellulose, chitosan, and their derivatives because they are low-cost and ecological materials, accepted in industrial practice. New trends in water treatment technology, including biosynthetic polymers, nanobioflocculants, and stimulant-responsive flocculants are also considered.

摘要

聚合物絮凝剂用于促进饮用水和废水处理中的固液分离过程。近年来,生物基絮凝剂因其相对于传统合成聚合物或无机试剂的优越优势而备受关注。在天然聚合物中,多糖具有许多优点,如生物可降解性、无毒性、能够进行不同的化学修饰以及可从可再生资源广泛获取。以下文章概述了生物基絮凝剂及其在水处理中的潜在应用,这可能表明与合成聚合物相比,需要寻找更安全的替代品。基于最近的文献,介绍了寻找生物聚合物絮凝剂来源、絮凝机制、测试方法以及影响该过程的因素的新方法。特别关注基于淀粉、纤维素、壳聚糖及其衍生物的絮凝剂,因为它们是低成本且生态友好的材料,已被工业实践所接受。还考虑了水处理技术的新趋势,包括生物合成聚合物、纳米生物絮凝剂和刺激响应型絮凝剂。

https://cdn.ncbi.nlm.nih.gov/pmc/blobs/b088/7559979/57481861370c/materials-13-03951-g001.jpg

文献检索

告别复杂PubMed语法,用中文像聊天一样搜索,搜遍4000万医学文献。AI智能推荐,让科研检索更轻松。

立即免费搜索

文件翻译

保留排版,准确专业,支持PDF/Word/PPT等文件格式,支持 12+语言互译。

免费翻译文档

深度研究

AI帮你快速写综述,25分钟生成高质量综述,智能提取关键信息,辅助科研写作。

立即免费体验