• 文献检索
  • 文档翻译
  • 深度研究
  • 学术资讯
  • Suppr Zotero 插件Zotero 插件
  • 邀请有礼
  • 套餐&价格
  • 历史记录
应用&插件
Suppr Zotero 插件Zotero 插件浏览器插件Mac 客户端Windows 客户端微信小程序
定价
高级版会员购买积分包购买API积分包
服务
文献检索文档翻译深度研究API 文档MCP 服务
关于我们
关于 Suppr公司介绍联系我们用户协议隐私条款
关注我们

Suppr 超能文献

核心技术专利:CN118964589B侵权必究
粤ICP备2023148730 号-1Suppr @ 2026

文献检索

告别复杂PubMed语法,用中文像聊天一样搜索,搜遍4000万医学文献。AI智能推荐,让科研检索更轻松。

立即免费搜索

文件翻译

保留排版,准确专业,支持PDF/Word/PPT等文件格式,支持 12+语言互译。

免费翻译文档

深度研究

AI帮你快速写综述,25分钟生成高质量综述,智能提取关键信息,辅助科研写作。

立即免费体验

使用聚丙烯回收材料通过超声微注塑成型工艺制造的零件的力学性能研究。

Investigation of the Mechanical Properties of Parts Fabricated with Ultrasonic Micro Injection Molding Process Using Polypropylene Recycled Material.

作者信息

Gaxiola-Cockburn Rafael, Martínez-Romero Oscar, Elías-Zúñiga Alex, Olvera-Trejo Daniel, Reséndiz-Hernández José Emiliano, Soria-Hernández Cintya G

机构信息

Mechanical Engineering and Advanced Materials Department, School of Engineering and Science, Tecnologico de Monterrey, Ave. Eugenio Garza Sada 2501, Monterrey 64849, Mexico.

出版信息

Polymers (Basel). 2020 Sep 7;12(9):2033. doi: 10.3390/polym12092033.

DOI:10.3390/polym12092033
PMID:32906722
原文链接:https://pmc.ncbi.nlm.nih.gov/articles/PMC7569819/
Abstract

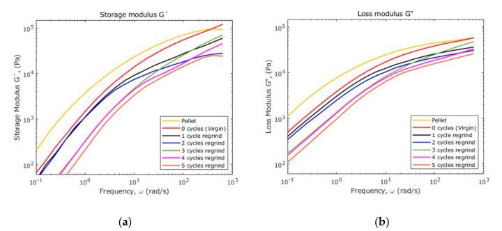
This research focuses on investigating how physical and mechanical properties of polypropylene (PP) recycled material are modified when ultrasonic micro injection molding (UMIM) technology is used to produce material specimens. Experimental characterization by differential scanning calorimetry (DSC), thermogravimetric analysis (TGA), Fourier transform infrared (FTIR) spectra, and rheology tests show that the fabricated PP samples were able to withstand up to five times recycled processing before some signs of mechanical and physical properties degradation are observed. Surprisingly, uniaxial extension tests show an increase of 3.07%, 10.97% and 27.33% for Young's modulus, yield stress and ultimate stress values, respectively, and a slight reduction of 1.29% for the samples elongation at break when compared to the experimental data collected from virgin material samples. The improvement of these mechanical properties in the recycled samples suggests that ultrasonic microinjection produces a mechano-chemical material change.

摘要

本研究聚焦于调查当使用超声微注塑成型(UMIM)技术生产材料样本时,聚丙烯(PP)回收材料的物理和机械性能是如何被改变的。通过差示扫描量热法(DSC)、热重分析(TGA)、傅里叶变换红外(FTIR)光谱以及流变学测试进行的实验表征表明,所制造的PP样本在观察到一些机械和物理性能降解迹象之前,能够承受高达五次的回收加工。令人惊讶的是,与从原始材料样本收集的实验数据相比,单轴拉伸试验表明,杨氏模量、屈服应力和极限应力值分别增加了3.07%、10.97%和27.33%,而样本的断裂伸长率略有下降,为1.29%。回收样本中这些机械性能的改善表明,超声微注塑产生了机械化学材料变化。

https://cdn.ncbi.nlm.nih.gov/pmc/blobs/b4a0/7569819/80c022bd12fe/polymers-12-02033-g018.jpg
https://cdn.ncbi.nlm.nih.gov/pmc/blobs/b4a0/7569819/8368677e38e7/polymers-12-02033-g001.jpg
https://cdn.ncbi.nlm.nih.gov/pmc/blobs/b4a0/7569819/ea526faa13a3/polymers-12-02033-g002.jpg
https://cdn.ncbi.nlm.nih.gov/pmc/blobs/b4a0/7569819/b37e38b909fb/polymers-12-02033-g003.jpg
https://cdn.ncbi.nlm.nih.gov/pmc/blobs/b4a0/7569819/0fdab66c38b3/polymers-12-02033-g004.jpg
https://cdn.ncbi.nlm.nih.gov/pmc/blobs/b4a0/7569819/3023eb5a2bc3/polymers-12-02033-g005.jpg
https://cdn.ncbi.nlm.nih.gov/pmc/blobs/b4a0/7569819/19057114b845/polymers-12-02033-g006.jpg
https://cdn.ncbi.nlm.nih.gov/pmc/blobs/b4a0/7569819/d9032fc12e68/polymers-12-02033-g007.jpg
https://cdn.ncbi.nlm.nih.gov/pmc/blobs/b4a0/7569819/de6f02982c3e/polymers-12-02033-g008.jpg
https://cdn.ncbi.nlm.nih.gov/pmc/blobs/b4a0/7569819/8e5b995cd872/polymers-12-02033-g009.jpg
https://cdn.ncbi.nlm.nih.gov/pmc/blobs/b4a0/7569819/1fd7b9ebd69c/polymers-12-02033-g010.jpg
https://cdn.ncbi.nlm.nih.gov/pmc/blobs/b4a0/7569819/0dc23f371440/polymers-12-02033-g011.jpg
https://cdn.ncbi.nlm.nih.gov/pmc/blobs/b4a0/7569819/3eb0e7a3ccb3/polymers-12-02033-g012.jpg
https://cdn.ncbi.nlm.nih.gov/pmc/blobs/b4a0/7569819/39d75ed2e716/polymers-12-02033-g013.jpg
https://cdn.ncbi.nlm.nih.gov/pmc/blobs/b4a0/7569819/7f7bd7b1eb60/polymers-12-02033-g014.jpg
https://cdn.ncbi.nlm.nih.gov/pmc/blobs/b4a0/7569819/78f516b0eca9/polymers-12-02033-g015.jpg
https://cdn.ncbi.nlm.nih.gov/pmc/blobs/b4a0/7569819/7a8d54a4bdb8/polymers-12-02033-g016.jpg
https://cdn.ncbi.nlm.nih.gov/pmc/blobs/b4a0/7569819/905b8ea123bc/polymers-12-02033-g017.jpg
https://cdn.ncbi.nlm.nih.gov/pmc/blobs/b4a0/7569819/80c022bd12fe/polymers-12-02033-g018.jpg
https://cdn.ncbi.nlm.nih.gov/pmc/blobs/b4a0/7569819/8368677e38e7/polymers-12-02033-g001.jpg
https://cdn.ncbi.nlm.nih.gov/pmc/blobs/b4a0/7569819/ea526faa13a3/polymers-12-02033-g002.jpg
https://cdn.ncbi.nlm.nih.gov/pmc/blobs/b4a0/7569819/b37e38b909fb/polymers-12-02033-g003.jpg
https://cdn.ncbi.nlm.nih.gov/pmc/blobs/b4a0/7569819/0fdab66c38b3/polymers-12-02033-g004.jpg
https://cdn.ncbi.nlm.nih.gov/pmc/blobs/b4a0/7569819/3023eb5a2bc3/polymers-12-02033-g005.jpg
https://cdn.ncbi.nlm.nih.gov/pmc/blobs/b4a0/7569819/19057114b845/polymers-12-02033-g006.jpg
https://cdn.ncbi.nlm.nih.gov/pmc/blobs/b4a0/7569819/d9032fc12e68/polymers-12-02033-g007.jpg
https://cdn.ncbi.nlm.nih.gov/pmc/blobs/b4a0/7569819/de6f02982c3e/polymers-12-02033-g008.jpg
https://cdn.ncbi.nlm.nih.gov/pmc/blobs/b4a0/7569819/8e5b995cd872/polymers-12-02033-g009.jpg
https://cdn.ncbi.nlm.nih.gov/pmc/blobs/b4a0/7569819/1fd7b9ebd69c/polymers-12-02033-g010.jpg
https://cdn.ncbi.nlm.nih.gov/pmc/blobs/b4a0/7569819/0dc23f371440/polymers-12-02033-g011.jpg
https://cdn.ncbi.nlm.nih.gov/pmc/blobs/b4a0/7569819/3eb0e7a3ccb3/polymers-12-02033-g012.jpg
https://cdn.ncbi.nlm.nih.gov/pmc/blobs/b4a0/7569819/39d75ed2e716/polymers-12-02033-g013.jpg
https://cdn.ncbi.nlm.nih.gov/pmc/blobs/b4a0/7569819/7f7bd7b1eb60/polymers-12-02033-g014.jpg
https://cdn.ncbi.nlm.nih.gov/pmc/blobs/b4a0/7569819/78f516b0eca9/polymers-12-02033-g015.jpg
https://cdn.ncbi.nlm.nih.gov/pmc/blobs/b4a0/7569819/7a8d54a4bdb8/polymers-12-02033-g016.jpg
https://cdn.ncbi.nlm.nih.gov/pmc/blobs/b4a0/7569819/905b8ea123bc/polymers-12-02033-g017.jpg
https://cdn.ncbi.nlm.nih.gov/pmc/blobs/b4a0/7569819/80c022bd12fe/polymers-12-02033-g018.jpg

相似文献

1
Investigation of the Mechanical Properties of Parts Fabricated with Ultrasonic Micro Injection Molding Process Using Polypropylene Recycled Material.使用聚丙烯回收材料通过超声微注塑成型工艺制造的零件的力学性能研究。
Polymers (Basel). 2020 Sep 7;12(9):2033. doi: 10.3390/polym12092033.
2
Glass Powder Additive on Recycled Polypropylene Filaments: A Sustainable Material in 3D Printing.再生聚丙烯长丝上的玻璃粉添加剂:3D打印中的可持续材料。
Polymers (Basel). 2021 Dec 21;14(1):5. doi: 10.3390/polym14010005.
3
Effect of Recycling on the Mechanical, Thermal and Rheological Properties of Polypropylene/Carbon Nanotube Composites.回收利用对聚丙烯/碳纳米管复合材料的力学、热学和流变学性能的影响。
Polymers (Basel). 2022 Dec 1;14(23):5257. doi: 10.3390/polym14235257.
4
Thermomechanical Properties of Virgin and Recycled Polypropylene-High-Density Polyethylene Blends.原生和再生聚丙烯-高密度聚乙烯共混物的热机械性能
Polymers (Basel). 2023 Oct 24;15(21):4200. doi: 10.3390/polym15214200.
5
Impact of Multiple Reprocessing on Properties of Polyhydroxybutyrate and Polypropylene.多次再加工对聚羟基丁酸酯和聚丙烯性能的影响
Polymers (Basel). 2023 Oct 18;15(20):4126. doi: 10.3390/polym15204126.
6
Material and mechanical characterization of recycled polypropylene reinforced with different weight percentages of short glass fiber developed by injection molding.通过注塑成型制备的、用不同重量百分比的短玻璃纤维增强的再生聚丙烯的材料和力学性能表征。
Heliyon. 2023 Aug 25;9(9):e19403. doi: 10.1016/j.heliyon.2023.e19403. eCollection 2023 Sep.
7
Improved properties of recycled polypropylene by introducing the long chain branched structure through reactive extrusion.通过反应挤出在回收聚丙烯中引入长支链结构来改善其性能。
Waste Manag. 2018 Jun;76:172-179. doi: 10.1016/j.wasman.2018.03.040. Epub 2018 Mar 30.
8
Upgrading Recycled Polypropylene from Textile Wastes in Wood Plastic Composites with Short Hemp Fiber.利用短麻纤维提升木塑复合材料中纺织废料回收聚丙烯的性能
Polymers (Basel). 2021 Apr 12;13(8):1248. doi: 10.3390/polym13081248.
9
Insights on the Molecular Behavior of Polypropylene in the Process of Ultrasonic Injection Molding.超声波注塑成型过程中聚丙烯分子行为的见解
Polymers (Basel). 2021 Nov 19;13(22):4010. doi: 10.3390/polym13224010.
10
The Improvement Effect and Mechanism of Longitudinal Ultrasonic Vibration on the Injection Molding Quality of a Polymeric Micro-Needle Array.纵向超声振动对聚合物微针阵列注射成型质量的改善效果及机制
Polymers (Basel). 2019 Jan 17;11(1):151. doi: 10.3390/polym11010151.

引用本文的文献

1
Characterization of Morphological, Thermal, and Mechanical Performances and UV Ageing Degradation of Post-Consumer Recycled Polypropylene for Automotive Industries.汽车行业用消费后回收聚丙烯的形态、热性能、力学性能及紫外线老化降解特性
Materials (Basel). 2025 Feb 28;18(5):1090. doi: 10.3390/ma18051090.
2
Modeling the Ultrasonic Micro-Injection Molding Process Using the Buckingham Pi Theorem.使用白金汉π定理对超声微注塑成型过程进行建模。
Polymers (Basel). 2023 Sep 15;15(18):3779. doi: 10.3390/polym15183779.
3
Polypropylene-Based Polymer Locking Ligation System Manufacturing by the Ultrasonic Micromolding Process.

本文引用的文献

1
Influence of Different Stabilization Systems and Multiple Ultraviolet A (UVA) Aging/Recycling Steps on Physicochemical, Mechanical, Colorimetric, and Thermal-Oxidative Properties of ABS.不同稳定体系以及多次紫外线A(UVA)老化/循环步骤对丙烯腈-丁二烯-苯乙烯共聚物(ABS)物理化学、机械、比色和热氧化性能的影响
Materials (Basel). 2020 Jan 4;13(1):212. doi: 10.3390/ma13010212.
2
Ultrasonic moulding: Current state of the technology.超声成型:技术现状。
Ultrasonics. 2020 Mar;102:106038. doi: 10.1016/j.ultras.2019.106038. Epub 2019 Oct 5.
3
A Statistical Analysis on the Effect of Antioxidants on the Thermal-Oxidative Stability of Commercial Mass- and Emulsion-Polymerized ABS.
基于聚丙烯的聚合物锁定结扎系统的超声微成型制造工艺。
Polymers (Basel). 2023 Jul 15;15(14):3049. doi: 10.3390/polym15143049.
4
Feasibility Study of the Flatness of a Plastic Injection Molded Pallet by a Newly Proposed Sequential Valve Gate System.采用新提出的顺序阀式浇口系统对塑料注塑托盘平整度的可行性研究。
Polymers (Basel). 2022 Feb 4;14(3):616. doi: 10.3390/polym14030616.
抗氧化剂对商用本体聚合和乳液聚合ABS热氧化稳定性影响的统计分析
Polymers (Basel). 2018 Dec 25;11(1):25. doi: 10.3390/polym11010025.
4
Processing of ultra-high molecular weight polyethylene/graphite composites by ultrasonic injection moulding: Taguchi optimization.通过超声注塑成型加工超高分子量聚乙烯/石墨复合材料:田口优化法
Ultrason Sonochem. 2018 Jun;44:350-358. doi: 10.1016/j.ultsonch.2018.02.042. Epub 2018 Feb 26.
5
Production, use, and fate of all plastics ever made.所有塑料制品的生产、使用及去向。
Sci Adv. 2017 Jul 19;3(7):e1700782. doi: 10.1126/sciadv.1700782. eCollection 2017 Jul.
6
Micro-molding with ultrasonic vibration energy: new method to disperse nanoclays in polymer matrices.超声振动能量微成型:在聚合物基体中分散纳米黏土的新方法。
Ultrason Sonochem. 2014 Jul;21(4):1557-69. doi: 10.1016/j.ultsonch.2013.12.027. Epub 2014 Jan 8.