Suppr超能文献

不同稳定体系以及多次紫外线A(UVA)老化/循环步骤对丙烯腈-丁二烯-苯乙烯共聚物(ABS)物理化学、机械、比色和热氧化性能的影响

Influence of Different Stabilization Systems and Multiple Ultraviolet A (UVA) Aging/Recycling Steps on Physicochemical, Mechanical, Colorimetric, and Thermal-Oxidative Properties of ABS.

作者信息

Fiorio Rudinei, Villanueva Díez Sara, Sánchez Alberto, D'hooge Dagmar R, Cardon Ludwig

机构信息

Centre for Polymer and Material Technologies (CPMT), Department of Materials, Textiles and Chemical Engineering, Ghent University, Technologiepark 130, 9052 Zwijnaarde, Belgium.

Tecnalia, Sustainable Polymers, Building Technologies, Área Anardi 5, 20730 Azpeitia, Gipuzkoa, Spain.

出版信息

Materials (Basel). 2020 Jan 4;13(1):212. doi: 10.3390/ma13010212.

Abstract

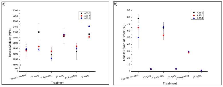
Commercially mass-polymerized acrylonitrile-butadiene-styrene (ABS) polymers, pristine or modified by stabilization systems, have been injection molded and repeatedly exposed to ultravilolet A (UVA) radiation, mechanical recycling, and extra injection molding steps to study the impact of such treatments on the physicochemical, mechanical, colorimetric, and thermal-oxidative characteristics. The work focus on mimicking the effect of solar radiation behind a window glass as relevant during the lifetime of ABS polymers incorporated in electrical and electronic equipment, and interior automotive parts by using UVA technique. The accelerated aging promotes degradation and embrittlement of the surface exposed to radiation and causes physical aging, deteriorating mechanical properties, with an expressive reduction of impact strength (unnotched: up to 900%; notched: up to 250%) and strain at break (>1000%), as well as an increase in the yellowing index (e.g., 600%). UV-exposition promotes a slight increase in the tensile modulus (e.g., 10%). The addition of antioxidants (AOs) leads to a limited stabilization during the first UVA aging, although the proper AO formulation increases the thermal-oxidative resistance during all the cycles. Mechanical recycling promotes an increase in strain at break and unnotched impact strength alongside a slight decrease in tensile modulus, due to disruption of the brittle surface and elimination of the physical aging.

摘要

商业化大规模聚合的丙烯腈-丁二烯-苯乙烯(ABS)聚合物,无论是原始的还是通过稳定化体系改性的,都已注塑成型,并反复暴露于紫外线A(UVA)辐射、机械回收以及额外的注塑步骤中,以研究这些处理对其物理化学、机械、比色和热氧化特性的影响。这项工作的重点是通过使用UVA技术,模拟在电气和电子设备以及汽车内饰部件中所使用的ABS聚合物使用寿命期间,窗户玻璃后太阳辐射的影响。加速老化会促使暴露于辐射的表面发生降解和脆化,并导致物理老化,使机械性能恶化,冲击强度(无缺口:高达900%;有缺口:高达250%)和断裂应变(>1000%)大幅降低,同时黄变指数增加(例如600%)。紫外线照射会使拉伸模量略有增加(例如10%)。添加抗氧化剂(AO)在首次UVA老化期间能带来有限的稳定作用,尽管合适的AO配方可在所有循环中提高热氧化抗性。由于脆性表面的破坏和物理老化的消除,机械回收会使断裂应变和无缺口冲击强度增加,同时拉伸模量略有下降。

https://cdn.ncbi.nlm.nih.gov/pmc/blobs/3078/6981387/087a08dccadb/materials-13-00212-g001.jpg

文献AI研究员

20分钟写一篇综述,助力文献阅读效率提升50倍。

立即体验

用中文搜PubMed

大模型驱动的PubMed中文搜索引擎

马上搜索

文档翻译

学术文献翻译模型,支持多种主流文档格式。

立即体验