Sørensen Søren S, Biscio Christophe A N, Bauchy Mathieu, Fajstrup Lisbeth, Smedskjaer Morten M
Department of Chemistry and Bioscience, Aalborg University, DK-9220 Aalborg, Denmark.
Department of Mathematical Sciences, Aalborg University, DK-9220 Aalborg, Denmark.
Sci Adv. 2020 Sep 9;6(37). doi: 10.1126/sciadv.abc2320. Print 2020 Sep.
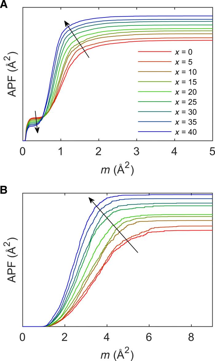
Despite the numerous technological applications of amorphous materials, such as glasses, the understanding of their medium-range order (MRO) structure-and particularly the origin of the first sharp diffraction peak (FSDP) in the structure factor-remains elusive. Here, we use persistent homology, an emergent type of topological data analysis, to understand MRO structure in sodium silicate glasses. To enable this analysis, we introduce a self-consistent categorization of rings with rigorous geometrical definitions of the structural entities. Furthermore, we enable quantitative comparison of the persistence diagrams by computing the cumulative sum of all points weighted by their lifetime. On the basis of these analysis methods, we show that the approach can be used to deconvolute the contributions of various MRO features to the FSDP. More generally, the developed methodology can be applied to analyze and categorize molecular dynamics data and understand MRO structure in any class of amorphous solids.
尽管非晶态材料(如玻璃)有众多技术应用,但对其介观结构(MRO)的理解——尤其是结构因子中第一个尖锐衍射峰(FSDP)的起源——仍然难以捉摸。在此,我们使用持久同调(一种新兴的拓扑数据分析类型)来理解硅酸钠玻璃中的MRO结构。为了进行这种分析,我们引入了一种自洽的环分类方法,对结构实体进行了严格的几何定义。此外,我们通过计算所有点按其寿命加权后的累积和,实现了持久图的定量比较。基于这些分析方法,我们表明该方法可用于反卷积各种MRO特征对FSDP的贡献。更一般地说,所开发的方法可应用于分析和分类分子动力学数据,并理解任何一类非晶态固体中的MRO结构。