• 文献检索
  • 文档翻译
  • 深度研究
  • 学术资讯
  • Suppr Zotero 插件Zotero 插件
  • 邀请有礼
  • 套餐&价格
  • 历史记录
应用&插件
Suppr Zotero 插件Zotero 插件浏览器插件Mac 客户端Windows 客户端微信小程序
定价
高级版会员购买积分包购买API积分包
服务
文献检索文档翻译深度研究API 文档MCP 服务
关于我们
关于 Suppr公司介绍联系我们用户协议隐私条款
关注我们

Suppr 超能文献

核心技术专利:CN118964589B侵权必究
粤ICP备2023148730 号-1Suppr @ 2026

文献检索

告别复杂PubMed语法,用中文像聊天一样搜索,搜遍4000万医学文献。AI智能推荐,让科研检索更轻松。

立即免费搜索

文件翻译

保留排版,准确专业,支持PDF/Word/PPT等文件格式,支持 12+语言互译。

免费翻译文档

深度研究

AI帮你快速写综述,25分钟生成高质量综述,智能提取关键信息,辅助科研写作。

立即免费体验

多层次交叉分析对腰痛就诊中复杂的社会人口不平等现象的启示。

Complex sociodemographic inequalities in consultations for low back pain: lessons from multilevel intersectional analysis.

机构信息

Clinical Epidemiology Unit, Department of Clinical Sciences Lund, Orthopaedics, Lund University, Lund, Sweden.

Centre for Economic Demography, Lund University, Lund, Sweden.

出版信息

Pain. 2021 Apr 1;162(4):1135-1143. doi: 10.1097/j.pain.0000000000002081.

DOI:10.1097/j.pain.0000000000002081
PMID:32947540
原文链接:https://pmc.ncbi.nlm.nih.gov/articles/PMC7977617/
Abstract

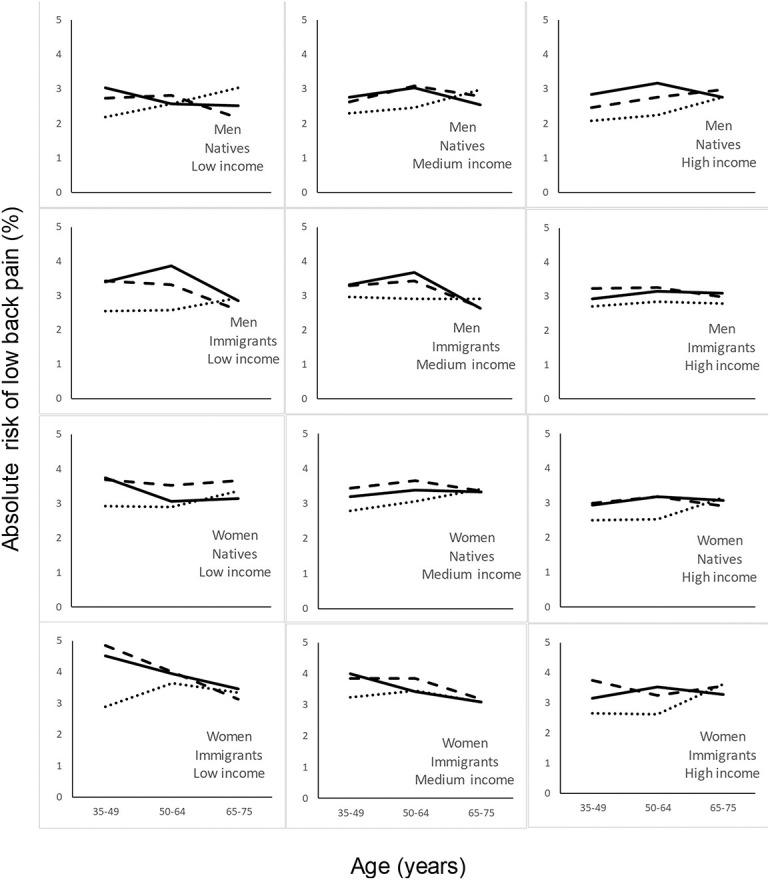
Sociodemographic inequalities in the occurrence of low back pain (LBP) are well-studied. This study aimed to examine complex sociodemographic inequalities in the risk of LBP consultation in the population from a socioeconomical intersectional perspective. Using register data, we identified 458,852 individuals aged 35 to 75 years residing in Skåne in 2013, with no previous LBP consultation since 2006. We created 108 strata using categories of age, sex, education, income, and nativity. With individuals nested within strata, we modelled the absolute risk of LBP consultation during 2014 in a series of multilevel logistic regression models. We quantified discriminatory accuracy (DA) of these variables by computing the variance partition coefficient and area under the receiver operating characteristic curve (AUC). We identified 13,657 (3.0%) people with an LBP consultation. The absolute risk ranged from 2.1% (95% credible interval: 1.9%-2.3%) among young native men with high education and high income to 4.8% (4.3%-5.5%) among young foreign-born women with medium education and low income (2.3-fold relative difference). Discriminatory accuracy of intersectional strata was very low (variance partition coefficient 1.1% (0.7-1.6); and AUC 0.56 [0.55-0.56]). Sex (35.6%) and nativity (19.2%) had the largest contributions in explaining the initially small between-strata variation in risk of LBP. The low DA of the intersectional strata indicates the existence of limited intersectional inequalities in LBP consultation. Therefore, interventions to reduce LBP risk should be universal rather than targeted to specific socioeconomic groups with a higher average risk. Before planning targeted intervention, other risk factors with higher DA need to be identified.

摘要

社会人口因素与腰痛(LBP)的发生之间存在明显关联,这一现象已得到广泛研究。本研究旨在从社会经济交叉视角,检验人群中腰痛就诊风险的复杂社会人口因素不平等。我们使用登记数据,确定了 2013 年居住在斯科讷地区、年龄在 35-75 岁之间、2006 年以来无 LBP 就诊史的 458852 名个体。我们创建了 108 个类别,包括年龄、性别、教育程度、收入和出生国。通过个体嵌套在类别中,我们在一系列多水平逻辑回归模型中模拟了 2014 年 LBP 就诊的绝对风险。我们通过计算方差分解系数和接收者操作特征曲线下面积(AUC)来量化这些变量的判别准确性(DA)。我们发现 13657 人(3.0%)进行了 LBP 就诊。绝对风险从高收入和高教育的年轻本土男性(2.1%[95%置信区间:1.9%-2.3%])到中收入和低收入的年轻外国出生女性(4.8%[4.3%-5.5%])不等,相差 2.3 倍。交叉阶层的判别准确性非常低(方差分解系数 1.1%[0.7-1.6];AUC 0.56[0.55-0.56])。性别(35.6%)和出生地(19.2%)对解释最初风险分层之间较小差异的贡献最大。交叉阶层的低 DA 表明 LBP 就诊的交叉不平等现象有限。因此,减少 LBP 风险的干预措施应该是普遍的,而不是针对具有更高平均风险的特定社会经济群体。在规划有针对性的干预措施之前,需要确定具有更高 DA 的其他风险因素。

https://cdn.ncbi.nlm.nih.gov/pmc/blobs/b723/7977617/b71eebf91ecc/jop-162-1135-g005.jpg
https://cdn.ncbi.nlm.nih.gov/pmc/blobs/b723/7977617/40d9452a9139/jop-162-1135-g001.jpg
https://cdn.ncbi.nlm.nih.gov/pmc/blobs/b723/7977617/525e08f0a032/jop-162-1135-g002.jpg
https://cdn.ncbi.nlm.nih.gov/pmc/blobs/b723/7977617/3438b83187f2/jop-162-1135-g004.jpg
https://cdn.ncbi.nlm.nih.gov/pmc/blobs/b723/7977617/b71eebf91ecc/jop-162-1135-g005.jpg
https://cdn.ncbi.nlm.nih.gov/pmc/blobs/b723/7977617/40d9452a9139/jop-162-1135-g001.jpg
https://cdn.ncbi.nlm.nih.gov/pmc/blobs/b723/7977617/525e08f0a032/jop-162-1135-g002.jpg
https://cdn.ncbi.nlm.nih.gov/pmc/blobs/b723/7977617/3438b83187f2/jop-162-1135-g004.jpg
https://cdn.ncbi.nlm.nih.gov/pmc/blobs/b723/7977617/b71eebf91ecc/jop-162-1135-g005.jpg

相似文献

1
Complex sociodemographic inequalities in consultations for low back pain: lessons from multilevel intersectional analysis.多层次交叉分析对腰痛就诊中复杂的社会人口不平等现象的启示。
Pain. 2021 Apr 1;162(4):1135-1143. doi: 10.1097/j.pain.0000000000002081.
2
Intersectional Inequalities and Individual Heterogeneity in Chronic Rheumatic Diseases: An Intersectional Multilevel Analysis.交叉不平等与慢性风湿性疾病中的个体异质性:交叉多层次分析。
Arthritis Care Res (Hoboken). 2021 Feb;73(2):296-304. doi: 10.1002/acr.24109.
3
Precision public health: Mapping socioeconomic disparities in opioid dispensations at Swedish pharmacies by Multilevel Analysis of Individual Heterogeneity and Discriminatory Accuracy (MAIHDA).精准公共卫生:通过个体异质性和判别准确性的多层次分析(MAIHDA)对瑞典药店阿片类药物配给的社会经济差异进行映射。
PLoS One. 2019 Aug 27;14(8):e0220322. doi: 10.1371/journal.pone.0220322. eCollection 2019.
4
Perceived discrimination and refraining from seeking physician's care in Sweden: an intersectional analysis of individual heterogeneity and discriminatory accuracy (AIHDA).在瑞典,感知到的歧视与避免寻求医生的治疗:个体异质性和歧视准确性的交叉分析(AIHDA)。
Int J Equity Health. 2024 Oct 5;23(1):199. doi: 10.1186/s12939-024-02291-4.
5
Socioeconomic differences in body mass index in Spain: An intersectional multilevel analysis of individual heterogeneity and discriminatory accuracy.西班牙身体质量指数的社会经济差异:个体异质性和歧视准确性的交叉多层次分析。
PLoS One. 2018 Dec 10;13(12):e0208624. doi: 10.1371/journal.pone.0208624. eCollection 2018.
6
Non-response in a national health survey in Germany: An intersectionality-informed multilevel analysis of individual heterogeneity and discriminatory accuracy.德国国家健康调查中的无应答问题:基于交叉性视角的个体异质性和歧视准确性的多层次分析。
PLoS One. 2020 Aug 10;15(8):e0237349. doi: 10.1371/journal.pone.0237349. eCollection 2020.
7
An intersectional analysis providing more precise information on inequities in self-rated health.提供更精确的不平等自我评估健康信息的交叉分析。
Int J Equity Health. 2021 Feb 3;20(1):54. doi: 10.1186/s12939-020-01368-0.
8
Chronic Obstructive Pulmonary Disease in Sweden: An intersectional multilevel analysis of individual heterogeneity and discriminatory accuracy.瑞典的慢性阻塞性肺疾病:个体异质性与判别准确性的交叉多层次分析
SSM Popul Health. 2018 Mar 20;4:334-346. doi: 10.1016/j.ssmph.2018.03.005. eCollection 2018 Apr.
9
Revisiting socio-economic inequalities in sedentary leisure time in Sweden: An intersectional analysis of individual heterogeneity and discriminatory accuracy (AIHDA).重新审视瑞典久坐休闲时间的社会经济不平等:个体异质性和歧视准确性的交叉分析(AIHDA)。
Scand J Public Health. 2023 Jun;51(4):570-578. doi: 10.1177/14034948221112465. Epub 2022 Jul 26.
10
Intersectional analysis of social disparities in type 2 diabetes risk among adults in Germany: results from a nationwide population-based survey.德国成年人 2 型糖尿病风险的社会差异的交叉分析:一项全国性基于人群的调查结果。
BMC Public Health. 2024 Feb 16;24(1):498. doi: 10.1186/s12889-024-17903-5.

引用本文的文献

1
Sociodemographic differences in low back pain: which subgroups of workers are most vulnerable?社会人口统计学差异与下背痛:哪些工人亚组最易受影响?
BMC Musculoskelet Disord. 2024 Oct 26;25(1):852. doi: 10.1186/s12891-024-07970-5.
2
Social Determinants and Consequences of Pain: Toward Multilevel, Intersectional, and Life Course Perspectives.社会决定因素与疼痛的后果:迈向多层次、交叉和生命历程的视角。
J Pain. 2024 Oct;25(10):104608. doi: 10.1016/j.jpain.2024.104608. Epub 2024 Jun 17.
3
A biopsychosocial examination of chronic back pain, limitations on usual activities, and treatment in Brazil, 2019.
2019 年巴西对慢性背痛、日常活动受限及治疗的生物心理社会评估。
PLoS One. 2022 Jun 3;17(6):e0269627. doi: 10.1371/journal.pone.0269627. eCollection 2022.
4
Recommendations for the Development of Socioeconomically-Situated and Clinically-Relevant Neuroimaging Models of Pain.关于开发具有社会经济背景和临床相关性的疼痛神经影像学模型的建议。
Front Neurol. 2021 Sep 7;12:700833. doi: 10.3389/fneur.2021.700833. eCollection 2021.