Suppr超能文献

基于网络的电针刺激下基因芯片基因表达谱分析

Network based analysis of microarray gene expression profiles in response to electroacupuncture.

作者信息

Mohammadnejad Afsaneh, Li Shuxia, Duan Hongmei, Tan Qihua

机构信息

Unit of Epidemiology and Biostatistics, Department of Public Health, University of Southern Denmark, Denmark.

Unit of Human Genetics, Department of Clinical Research, University of Southern Denmark, Denmark.

出版信息

J Tradit Complement Med. 2019 Sep 4;10(5):471-477. doi: 10.1016/j.jtcme.2019.09.001. eCollection 2020 Sep.

Abstract

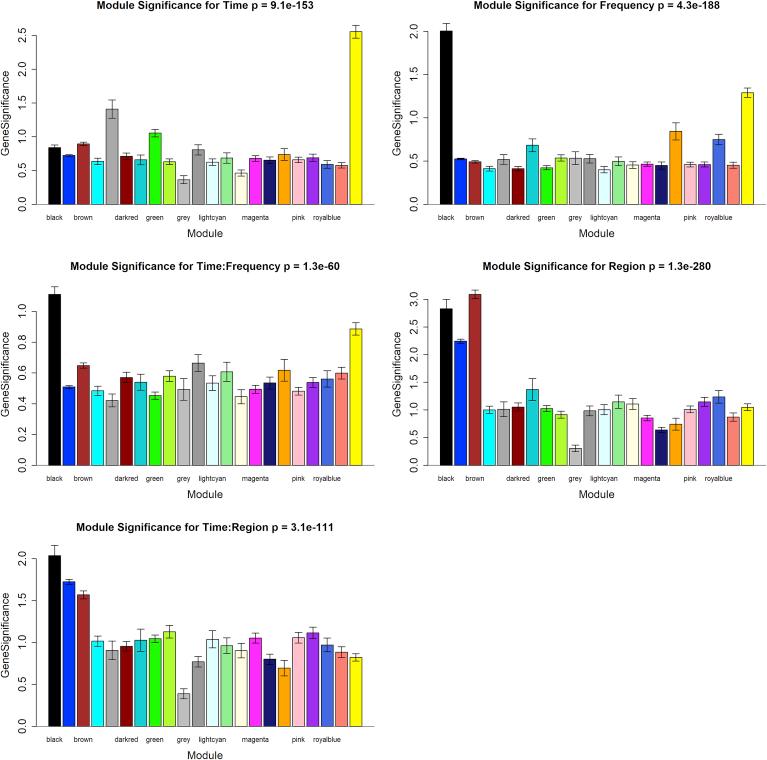
Electroacupuncture (EA) has been extensively considered as a tool for treating diseases and relieving various pains. However, understanding the molecular mechanisms underlying its effect is of high importance. In this study, we performed a weighted gene co-expression network analysis (WGCNA) on data collected from a microarray experiment to investigate the relationship underlying EA within three factors, time, frequency and tissue regions (periaqueductal grey (PAG) and spinal dorsal horn (DH)) as well as the biological implication of gene expression changes. Gene expression on rats in PAG-DH regions induced by EA with 2 Hz and 100 Hz at l h and 24 h were measured using microarray technology. The WGCNA was performed to identify distinct network modules related to EA effects. To find the biological function of genes and pathways, the gene ontology (GO) Consortium was applied and the gene-gene interaction network of top genes in important modules was visualized. We identified one network module (466 genes) which is significantly associated with time, another module (402 genes) significantly related to frequency, and three modules each consisting of 1144, 402 and 3148 genes that are significantly associated with tissue regions. Furthermore, meaningful biological pathways were enriched in association with each of the experimental factors during EA stimulation. Our analysis showed the robustness of WGCNA and revealed important genes within specific modules and pathways which might be activated in response to EA analgesia. The findings may help to clarify the underlying mechanisms of EA and provide references for future verification of this study.

摘要

电针(EA)已被广泛视为治疗疾病和缓解各种疼痛的一种手段。然而,了解其作用的分子机制至关重要。在本研究中,我们对从微阵列实验收集的数据进行了加权基因共表达网络分析(WGCNA),以研究EA在时间、频率和组织区域(导水管周围灰质(PAG)和脊髓背角(DH))这三个因素之间的潜在关系以及基因表达变化的生物学意义。使用微阵列技术测量了在1小时和24小时时,2赫兹和100赫兹电针诱导的PAG - DH区域大鼠的基因表达。进行WGCNA以识别与EA效应相关的不同网络模块。为了找到基因和通路的生物学功能,应用了基因本体论(GO)联盟,并对重要模块中顶级基因的基因 - 基因相互作用网络进行了可视化。我们确定了一个与时间显著相关的网络模块(466个基因),另一个与频率显著相关的模块(402个基因),以及三个分别由1144、402和3148个基因组成且与组织区域显著相关的模块。此外,在电针刺激期间,有意义的生物学通路与每个实验因素相关而得以富集。我们的分析显示了WGCNA的稳健性,并揭示了特定模块和通路中可能因电针镇痛而被激活的重要基因。这些发现可能有助于阐明电针的潜在机制,并为该研究的未来验证提供参考。

https://cdn.ncbi.nlm.nih.gov/pmc/blobs/5877/7485279/7f48f8158222/fx1.jpg

文献检索

告别复杂PubMed语法,用中文像聊天一样搜索,搜遍4000万医学文献。AI智能推荐,让科研检索更轻松。

立即免费搜索

文件翻译

保留排版,准确专业,支持PDF/Word/PPT等文件格式,支持 12+语言互译。

免费翻译文档

深度研究

AI帮你快速写综述,25分钟生成高质量综述,智能提取关键信息,辅助科研写作。

立即免费体验