Suppr超能文献

韩国零售肉类中分离的 -阳性的流行情况及遗传特征。

Prevalence and Genetic Characterization of -Positive Isolated from Retail Meats in South Korea.

机构信息

>Division of Food Microbiology, National Institute of Food and Drug Safety Evaluation, Cheongju 28159, Republic of Korea.

Department of Food and Animal Biotechnology, Department of Agricultural Biotechnology, Seoul National University, Seoul 08826, Republic of Korea.

出版信息

J Microbiol Biotechnol. 2020 Dec 28;30(12):1862-1869. doi: 10.4014/jmb.2007.07008.

Abstract

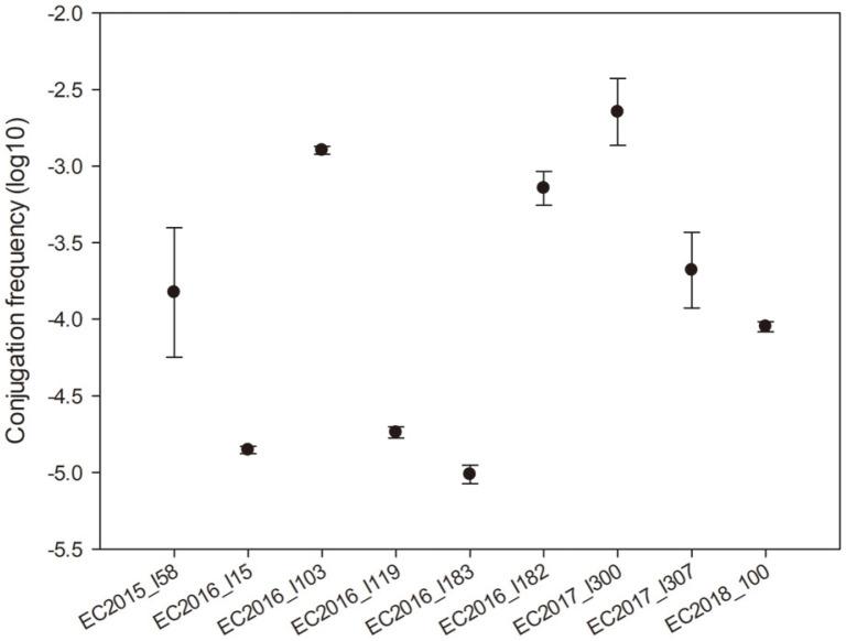
The spread of plasmid-mediated colistin resistance has posed a serious threat to public health owing to its effects on the emergence of pandrug-resistant bacteria. In this study, we investigated the prevalence and characteristics of -positive isolated from retail meat samples in Korea. In total, 1,205 strains were isolated from 3,234 retail meat samples in Korea. All strains were subjected to antimicrobial susceptibility testing and were examined for the presence of gene. All -positive ( = 10, 0.8%) from retail meat were subjected to pulse-field gel electrophoresis (PFGE) and whole-genome sequencing (WGS). The transferability of gene was determined by conjugation assays. The -positive strains exhibited diverse clonal types. Our genes were located in plasmids belonged to the IncI2 ( = 1) and IncX4 ( = 8) types, which were reported to be prevalent in Asia and worldwide, respectively. Most genes from -positive strains (9/10) were transferable to the recipient strain and the transfer frequencies ranged from 2.4 × 10 to 9.8 × 10. Our data suggest that the specific types of plasmid may play an important role in spreading plasmid-mediated colistin resistance in Korea. Furthermore, our findings suggest that the retail meat may be an important tool for disseminating plasmid-mediated colistin resistance.

摘要

由于其对泛耐药菌出现的影响,质粒介导的粘菌素耐药性的传播对公共卫生构成了严重威胁。本研究调查了韩国零售肉品中分离的阳性菌株的流行情况和特征。在韩国,从 3234 份零售肉品样本中分离出了 1205 株菌株。所有菌株均进行了抗菌药物敏感性试验,并检测了基因的存在情况。所有来自零售肉的阳性菌株(= 10,0.8%)均进行了脉冲场凝胶电泳(PFGE)和全基因组测序(WGS)。通过接合试验确定了基因的可转移性。阳性菌株表现出不同的克隆类型。我们的基因位于 IncI2(= 1)和 IncX4(= 8)型质粒中,这两种质粒分别在亚洲和全球流行。阳性菌株的大多数基因(9/10)可转移到受体菌株,转移频率范围为 2.4×10 至 9.8×10。我们的数据表明,特定类型的质粒可能在韩国质粒介导的粘菌素耐药性传播中发挥重要作用。此外,我们的研究结果表明,零售肉可能是传播质粒介导的粘菌素耐药性的重要工具。

https://cdn.ncbi.nlm.nih.gov/pmc/blobs/a5ad/9728184/6e5172ff98fe/JMB-30-12-1862-f1.jpg

文献检索

告别复杂PubMed语法,用中文像聊天一样搜索,搜遍4000万医学文献。AI智能推荐,让科研检索更轻松。

立即免费搜索

文件翻译

保留排版,准确专业,支持PDF/Word/PPT等文件格式,支持 12+语言互译。

免费翻译文档

深度研究

AI帮你快速写综述,25分钟生成高质量综述,智能提取关键信息,辅助科研写作。

立即免费体验