Department of Sport Sciences, University of Beira Interior, 6201-001 Covilhã, Portugal.
Research Center in Sports Sciences, Health Sciences and Human Development, CIDESD, 6201-001 Covilhã, Portugal.
Int J Environ Res Public Health. 2020 Sep 22;17(18):6882. doi: 10.3390/ijerph17186882.
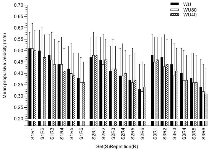
The current study aims to verify the effects of three specific warm-ups on squat and bench press resistance training. Forty resistance-trained males (19-30 years) performed 3 × 6 repetitions with 80% of maximal dynamic strength (designated as training load) after one of the following warm-ups (48 h between): (i) 2 × 6 repetitions with 40% and 80% of the training load (WU), (ii) 6 × 80% of training load (WU80), or (iii) 6 × 40% of the training load (WU40). Mean propulsive velocity (MPV), velocity loss (VL), peak velocity (PV), time to achieve PV, power, work, heart rates, and ratings of perceived exertion were analyzed. In squat exercises, higher MPV were found in WU80 compared with WU40 (2nd set: 0.69 ± 0.09 vs. 0.67 ± 0.06 m.s, = 0.02, ES = 0.80; 3rd set: 0.68 ± 0.09 vs. 0.66 ± 0.07 m.s, = 0.05, ES = 0.51). In bench press exercises, time to PV was lower in WU compared with WU40 (1st set: 574.77 ± 233.46 vs. 694.50 ± 211.71 m.s, < 0.01, ES = 0.69; 2nd set: 533.19 ± 272.22 vs. 662.31 ± 257.51 m.s, = 0.04, ES = 0.43) and total work was higher (4749.90 ± 1312.99 vs. 4631.80 ± 1355.01 j, = 0.01, ES = 0.54). The results showed that force outputs were mainly optimized by WU80 in squat training and by WU in bench press training. Moreover, warming-up with few repetitions and low loads is not enough to optimize squat and bench press performances.
本研究旨在验证三种特定热身对深蹲和卧推抗阻训练的影响。40 名受过抗阻训练的男性(19-30 岁)在以下一种热身运动后进行了 3×6 次重复,达到 80%的最大动态力量(指定为训练负荷):(i)40%和 80%训练负荷的 2×6 次重复(WU),(ii)6×80%训练负荷(WU80),或(iii)6×40%训练负荷(WU40)。分析了平均推进速度(MPV)、速度损失(VL)、峰值速度(PV)、达到 PV 的时间、功率、功、心率和感知用力等级。在深蹲练习中,与 WU40 相比,WU80 组的 MPV 更高(第 2 组:0.69±0.09 与 0.67±0.06 m.s, = 0.02,ES = 0.80;第 3 组:0.68±0.09 与 0.66±0.07 m.s, = 0.05,ES = 0.51)。在卧推练习中,与 WU40 相比,WU 组达到 PV 的时间更短(第 1 组:574.77±233.46 与 694.50±211.71 m.s, < 0.01,ES = 0.69;第 2 组:533.19±272.22 与 662.31±257.51 m.s, = 0.04,ES = 0.43),总功更高(4749.90±1312.99 与 4631.80±1355.01 j, = 0.01,ES = 0.54)。结果表明,在深蹲训练中,主要通过 WU80 优化力量输出,而在卧推训练中,主要通过 WU 优化力量输出。此外,低负荷、低次数的热身不足以优化深蹲和卧推表现。