Laboratory for Genotyping Development, RIKEN Center for Integrative Medical Sciences, 1-7-22 Suehiro-cho, Tsurumi-ku, Yokohama, Kanagawa 230-0045, Japan.
Medical Sciences Innovation Hub Program, RIKEN, Yokohama, Kanagawa, Japan; Artificial Intelligence Medicine, Graduate School of Medicine, Chiba University, Chiba, Japan.
EBioMedicine. 2020 Oct;60:103033. doi: 10.1016/j.ebiom.2020.103033. Epub 2020 Sep 24.
National Comprehensive Cancer Network (NCCN) recently recommended germline genetic testing for all pancreatic cancer patients. However, the genes targeted by genetic testing and the feasibility of selecting patients likely to carry pathogenic variants have not been sufficiently verified. The purpose of this study was to genetically characterize Japanese patients and examine whether the current guideline is applicable in this population.
Using targeted sequencing, we analyzed the coding regions of 27 cancer-predisposing genes in 1,005 pancreatic cancer patients and 23,705 controls in Japan. We compared the pathogenic variant frequency between cases and controls and documented the demographic and clinical characteristics of carrier patients. We then examined if it was possible to use machine learning to predict carrier status based on those characteristics.
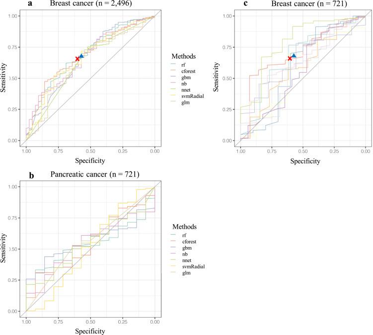
We identified 205 pathogenic variants across the 27 genes. Pathogenic variants in BRCA2, ATM, and BRCA1 were significantly associated with pancreatic cancer. Characteristics associated with carrier status were inconsistent with previous investigations. Machine learning classifiers had a low performance in determining the carrier status of pancreatic cancer patients, while the same classifiers, when applied to breast cancer data as a positive control, had a higher performance that was comparable to that of the NCCN guideline.
Our findings support the clinical significance of multigene panel testing for pancreatic cancer and indicate that at least 3.4% of Japanese patients may respond to poly (ADP ribose) polymerase inhibitor treatments. The difficulty in predicting carrier status suggests that offering germline genetic testing for all pancreatic cancer patients is reasonable.
AMED under Grant Number JP19kk0305010 and Australian National Health and Medical Research funding (ID177524).
国家综合癌症网络(NCCN)最近建议对所有胰腺癌患者进行种系基因检测。然而,基因检测的目标基因以及选择可能携带致病性变异患者的可行性尚未得到充分验证。本研究的目的是对日本患者进行基因特征分析,并探讨现行指南在该人群中的适用性。
我们使用靶向测序分析了 1005 例日本胰腺癌患者和 23705 例对照者的 27 个癌症易感基因的编码区。我们比较了病例和对照者之间的致病性变异频率,并记录了携带者患者的人口统计学和临床特征。然后,我们检查是否可以基于这些特征使用机器学习来预测携带者状态。
我们在 27 个基因中鉴定出 205 个致病性变异。BRCA2、ATM 和 BRCA1 中的致病性变异与胰腺癌显著相关。与携带者状态相关的特征与之前的研究不一致。机器学习分类器在确定胰腺癌患者的携带者状态方面表现不佳,而当将相同的分类器应用于乳腺癌数据作为阳性对照时,其性能更高,与 NCCN 指南相当。
我们的研究结果支持对胰腺癌进行多基因panel 检测的临床意义,并表明至少 3.4%的日本患者可能对聚(ADP 核糖)聚合酶抑制剂治疗有反应。预测携带者状态的困难表明,对所有胰腺癌患者进行种系基因检测是合理的。
厚生劳动省(AMED)资助编号 JP19kk0305010 和澳大利亚国家健康与医学研究基金(ID177524)。