Suppr超能文献

食源性植物乳杆菌通过调节活性氧和 IL-23/IL-17 轴来保护正常肠道细胞免受炎症的侵害。

Food-borne Lactiplantibacillus plantarum protect normal intestinal cells against inflammation by modulating reactive oxygen species and IL-23/IL-17 axis.

机构信息

Faculty of Bioscience and Technology for Food, Agriculture and Environment, University of Teramo, Teramo, Italy.

出版信息

Sci Rep. 2020 Oct 1;10(1):16340. doi: 10.1038/s41598-020-73201-1.

Abstract

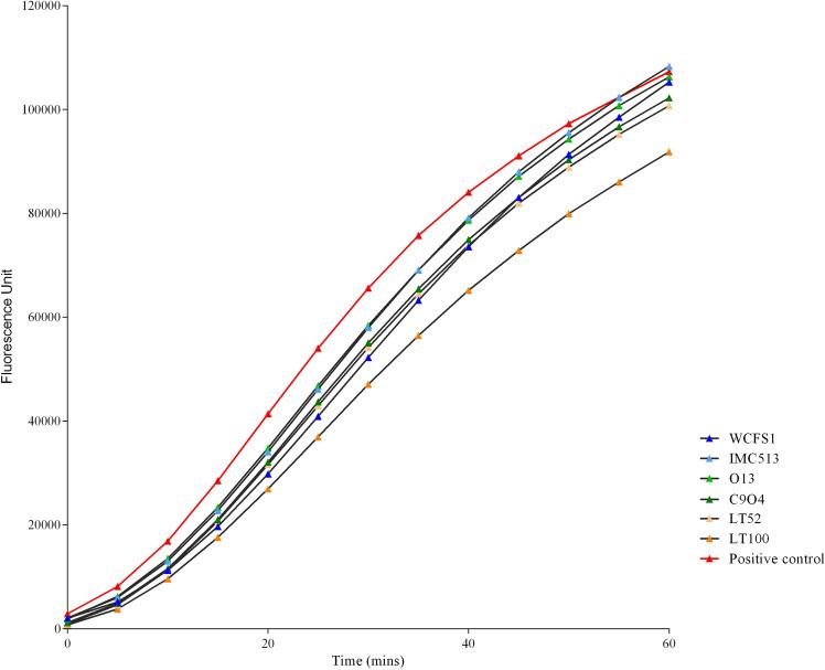
Food-associated Lactiplantibacillus plantarum (Lpb. plantarum) strains, previously classified as Lactobacillus plantarum, are a promising strategy to face intestinal inflammatory diseases. Our study was aimed at clarifying the protective role of food-borne Lpb. plantarum against inflammatory damage by testing the scavenging microbial ability both in selected strains and in co-incubation with normal mucosa intestinal cells (NCM460). Here, we show that Lpb. plantarum endure high levels of induced oxidative stress through partially neutralizing reactive oxygen species (ROS), whereas they elicit their production when co-cultured with NCM460. Moreover, pre-treatment with food-borne Lpb. plantarum significantly reduce pro-inflammatory cytokines IL-17F and IL-23 levels in inflamed NCM460 cells. Our results suggest that food-vehicled Lpb. plantarum strains might reduce inflammatory response in intestinal cells by directly modulating local ROS production and by triggering the IL-23/IL-17 axis with future perspectives on health benefits in the gut derived by the consumption of functional foods enriched with selected strains.

摘要

与食物相关的植物乳杆菌(Lpb. plantarum)菌株,以前被归类为植物乳杆菌,是应对肠道炎症性疾病的一种有前途的策略。我们的研究旨在通过测试选定菌株和与正常黏膜肠细胞(NCM460)共培养时的微生物清除能力,阐明食源性 Lpb. plantarum 对炎症损伤的保护作用。在这里,我们表明 Lpb. plantarum 通过部分中和活性氧(ROS)来耐受高水平的诱导氧化应激,而当与 NCM460 共培养时,它们会引发 ROS 的产生。此外,用食源 Lpb. plantarum 预处理可显著降低炎症 NCM460 细胞中促炎细胞因子 IL-17F 和 IL-23 的水平。我们的研究结果表明,食源 Lpb. plantarum 菌株可能通过直接调节局部 ROS 产生,以及通过触发 IL-23/IL-17 轴,减轻肠道细胞的炎症反应,从而为功能性食品的消费带来肠道健康益处提供了未来的前景,这些功能性食品富含选定的菌株。

https://cdn.ncbi.nlm.nih.gov/pmc/blobs/faf6/7529774/15ad6476da37/41598_2020_73201_Fig1_HTML.jpg

文献检索

告别复杂PubMed语法,用中文像聊天一样搜索,搜遍4000万医学文献。AI智能推荐,让科研检索更轻松。

立即免费搜索

文件翻译

保留排版,准确专业,支持PDF/Word/PPT等文件格式,支持 12+语言互译。

免费翻译文档

深度研究

AI帮你快速写综述,25分钟生成高质量综述,智能提取关键信息,辅助科研写作。

立即免费体验