• 文献检索
  • 文档翻译
  • 深度研究
  • 学术资讯
  • Suppr Zotero 插件Zotero 插件
  • 邀请有礼
  • 套餐&价格
  • 历史记录
应用&插件
Suppr Zotero 插件Zotero 插件浏览器插件Mac 客户端Windows 客户端微信小程序
定价
高级版会员购买积分包购买API积分包
服务
文献检索文档翻译深度研究API 文档MCP 服务
关于我们
关于 Suppr公司介绍联系我们用户协议隐私条款
关注我们

Suppr 超能文献

核心技术专利:CN118964589B侵权必究
粤ICP备2023148730 号-1Suppr @ 2026

文献检索

告别复杂PubMed语法,用中文像聊天一样搜索,搜遍4000万医学文献。AI智能推荐,让科研检索更轻松。

立即免费搜索

文件翻译

保留排版,准确专业,支持PDF/Word/PPT等文件格式,支持 12+语言互译。

免费翻译文档

深度研究

AI帮你快速写综述,25分钟生成高质量综述,智能提取关键信息,辅助科研写作。

立即免费体验

疫苗接种率与健康状况:来自一项针对老年人的流感疫苗接种计划的证据。

Vaccination take-up and health: Evidence from a flu vaccination program for the elderly.

作者信息

Brilli Ylenia, Lucifora Claudio, Russo Antonio, Tonello Marco

机构信息

University of Verona, Via Cantarane 24, Verona 37129, Italy.

University of Gothenburg, Sweden.

出版信息

J Econ Behav Organ. 2020 Nov;179:323-341. doi: 10.1016/j.jebo.2020.09.010. Epub 2020 Sep 29.

DOI:10.1016/j.jebo.2020.09.010
PMID:33012930
原文链接:https://pmc.ncbi.nlm.nih.gov/articles/PMC7524524/
Abstract

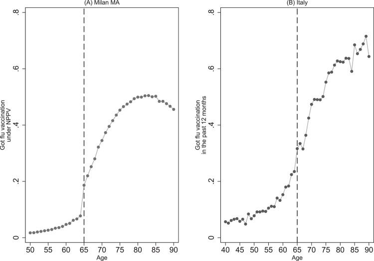
We analyze the effects of a vaccination program providing free flu vaccine to individuals aged 65 or more on take-up behavior and hospitalization. Using both administrative and survey data, we implement a regression discontinuity design around the threshold at age 65, and find that the effect of the program on take-up ranges between 70% and 90% of the average vaccination rate for individuals aged less than 65. We show that this effect is not entirely driven by an income channel, but also depends on the expected benefits of vaccination. The results on health outcomes provide suggestive evidence that the program reduces the likelihood of emergency hospitalization.

摘要

我们分析了一项为65岁及以上人群提供免费流感疫苗的疫苗接种计划对疫苗接种行为和住院情况的影响。利用行政数据和调查数据,我们围绕65岁这一阈值实施了回归断点设计,发现该计划对疫苗接种的影响范围在65岁以下人群平均接种率的70%至90%之间。我们表明,这种影响并非完全由收入渠道驱动,还取决于疫苗接种的预期收益。关于健康结果的研究结果提供了暗示性证据,表明该计划降低了紧急住院的可能性。

https://cdn.ncbi.nlm.nih.gov/pmc/blobs/b96a/7524524/3c81568ac779/gr5_lrg.jpg
https://cdn.ncbi.nlm.nih.gov/pmc/blobs/b96a/7524524/ba1ccdd43896/gr1_lrg.jpg
https://cdn.ncbi.nlm.nih.gov/pmc/blobs/b96a/7524524/050b6fbd465c/gr2_lrg.jpg
https://cdn.ncbi.nlm.nih.gov/pmc/blobs/b96a/7524524/dc0dc70c5ec3/gr3_lrg.jpg
https://cdn.ncbi.nlm.nih.gov/pmc/blobs/b96a/7524524/8c52292dfcb5/gr4_lrg.jpg
https://cdn.ncbi.nlm.nih.gov/pmc/blobs/b96a/7524524/3c81568ac779/gr5_lrg.jpg
https://cdn.ncbi.nlm.nih.gov/pmc/blobs/b96a/7524524/ba1ccdd43896/gr1_lrg.jpg
https://cdn.ncbi.nlm.nih.gov/pmc/blobs/b96a/7524524/050b6fbd465c/gr2_lrg.jpg
https://cdn.ncbi.nlm.nih.gov/pmc/blobs/b96a/7524524/dc0dc70c5ec3/gr3_lrg.jpg
https://cdn.ncbi.nlm.nih.gov/pmc/blobs/b96a/7524524/8c52292dfcb5/gr4_lrg.jpg
https://cdn.ncbi.nlm.nih.gov/pmc/blobs/b96a/7524524/3c81568ac779/gr5_lrg.jpg

相似文献

1
Vaccination take-up and health: Evidence from a flu vaccination program for the elderly.疫苗接种率与健康状况:来自一项针对老年人的流感疫苗接种计划的证据。
J Econ Behav Organ. 2020 Nov;179:323-341. doi: 10.1016/j.jebo.2020.09.010. Epub 2020 Sep 29.
2
Modeling SSI financial eligibility and simulating the effect of policy options.模拟医保补充保险(SSI)的财务资格并模拟政策选项的效果。
Soc Secur Bull. 2001;64(2):16-45.
3
An emergency department-based vaccination program: overcoming the barriers for adults at high risk for vaccine-preventable diseases.一项基于急诊科的疫苗接种计划:克服成人预防疫苗可预防疾病高危人群的障碍。
Acad Emerg Med. 2006 Sep;13(9):922-30. doi: 10.1197/j.aem.2006.04.022. Epub 2006 Aug 10.
4
[The influence of an event in the Israeli media on the compliance of patients with influenza vaccinations in the winter of 2006-2007].[2006 - 2007年冬季以色列媒体的一则事件对患者流感疫苗接种依从性的影响]
Harefuah. 2009 Dec;148(12):811-4, 856.
5
Seasonal influenza vaccination delivery through community pharmacists in England: evaluation of the London pilot.通过英国社区药剂师提供季节性流感疫苗接种服务:伦敦试点项目评估
BMJ Open. 2016 Feb 16;6(2):e009739. doi: 10.1136/bmjopen-2015-009739.
6
The free vaccination policy of influenza in Beijing, China: The vaccine coverage and its associated factors.中国北京的流感免费接种政策:疫苗接种率及其相关因素。
Vaccine. 2016 Apr 19;34(18):2135-40. doi: 10.1016/j.vaccine.2016.02.032. Epub 2016 Feb 23.
7
Increasing influenza and pneumococcal vaccine uptake in the elderly: study protocol for the multi-methods prospective intervention study Vaccination60.提高老年人流感和肺炎球菌疫苗接种率:疫苗接种 60 多方法前瞻性干预研究方案。
BMC Public Health. 2018 Jul 16;18(1):885. doi: 10.1186/s12889-018-5787-9.
8
Establishing the health and economic impact of influenza vaccination within the European Union 25 countries.确定流感疫苗接种在欧盟25个国家内对健康和经济的影响。
Vaccine. 2006 Nov 17;24(47-48):6812-22. doi: 10.1016/j.vaccine.2006.07.042. Epub 2006 Aug 4.
9
Relation between influenza vaccination and outpatient visits, hospitalization, and mortality in elderly persons with chronic lung disease.慢性肺病老年人流感疫苗接种与门诊就诊、住院及死亡率之间的关系。
Ann Intern Med. 1999 Mar 2;130(5):397-403. doi: 10.7326/0003-4819-130-5-199903020-00003.
10
Improving influenza vaccination rates for high-risk inpatients.提高高危住院患者的流感疫苗接种率。
Am J Med. 1991 Dec;91(6):584-8. doi: 10.1016/0002-9343(91)90210-o.

引用本文的文献

1
Determinants of influenza vaccination uptake among older adults in Catalonia using a longitudinal population study: the role of public health campaigns.利用纵向人群研究确定加泰罗尼亚老年人流感疫苗接种率的影响因素:公共卫生运动的作用
BMJ Public Health. 2025 Aug 7;3(2):e002698. doi: 10.1136/bmjph-2025-002698. eCollection 2025.
2
Evaluating Free PPV23 Vaccination for the Elderly in Nanning, China: A Cost-Effectiveness Analysis.评估中国南宁市老年人免费接种23价肺炎球菌多糖疫苗:一项成本效益分析。
Vaccines (Basel). 2025 Jul 18;13(7):763. doi: 10.3390/vaccines13070763.
3
Optimal approaches for COVID-19 control: the use of vaccines and lockdowns across societal groups.

本文引用的文献

1
COVID-19 and flu, a perfect storm.新冠疫情与流感,一场完美风暴。
Science. 2020 Jun 12;368(6496):1163. doi: 10.1126/science.abd2220.
2
The Dutch influenza vaccination policy and medication use, outpatient visits, hospitalization and mortality at age 65.荷兰流感疫苗接种政策与药物使用对 65 岁以上人群门诊就诊、住院和死亡率的影响。
Eur J Public Health. 2020 Apr 1;30(2):275-280. doi: 10.1093/eurpub/ckaa016.
3
Effectiveness of vaccination recommendations versus mandates: Evidence from the hepatitis A vaccine.疫苗接种建议与强制接种的有效性:来自甲型肝炎疫苗的证据。
新冠疫情防控的优化方法:跨社会群体的疫苗使用与封锁措施
Front Epidemiol. 2024 Jul 9;4:1308974. doi: 10.3389/fepid.2024.1308974. eCollection 2024.
4
A review of factors influencing vaccination policies and programs for older adults globally.全球老年人疫苗接种政策和计划的影响因素综述。
Hum Vaccin Immunother. 2023 Dec 31;19(1):2157164. doi: 10.1080/21645515.2022.2157164. Epub 2023 Jan 19.
J Health Econ. 2017 Mar;52:45-62. doi: 10.1016/j.jhealeco.2017.01.002. Epub 2017 Jan 18.
4
THE EFFECT OF STATE INSURANCE MANDATES ON INFANT IMMUNIZATION RATES.国家保险授权对婴儿免疫接种率的影响。
Health Econ. 2016 Mar;25(3):372-86. doi: 10.1002/hec.3153. Epub 2015 Mar 16.
5
Social determinants of health and seasonal influenza vaccination in adults ≥65 years: a systematic review of qualitative and quantitative data.社会决定因素与 65 岁及以上成年人季节性流感疫苗接种:定性和定量数据的系统评价。
BMC Public Health. 2013 Apr 25;13:388. doi: 10.1186/1471-2458-13-388.
6
Effectiveness of state-level vaccination mandates: evidence from the varicella vaccine.州级疫苗接种强制令的有效性:来自水痘疫苗的证据。
J Health Econ. 2011 Sep;30(5):966-76. doi: 10.1016/j.jhealeco.2011.06.003. Epub 2011 Jun 12.
7
Anatomy of a health scare: education, income and the MMR controversy in the UK.健康恐慌的剖析:教育、收入与英国的麻疹、腮腺炎、风疹联合疫苗争议
J Health Econ. 2011 May;30(3):515-30. doi: 10.1016/j.jhealeco.2011.01.009. Epub 2011 Feb 11.
8
Effectiveness of pandemic and seasonal influenza vaccine in preventing pandemic influenza A(H1N1)2009 infection in England and Scotland 2009-2010.2009-2010 年英格兰和苏格兰季节性流感和大流行性流感疫苗预防大流行性流感 A(H1N1)2009 感染的效果。
Euro Surveill. 2011 Jan 13;16(2):19763.
9
What determines influenza vaccination take-up of elderly Europeans?什么决定了欧洲老年人接种流感疫苗?
Health Econ. 2011 Nov;20(11):1281-97. doi: 10.1002/hec.1672. Epub 2010 Oct 14.
10
DOES MEDICARE SAVE LIVES?医疗保险能挽救生命吗?
Q J Econ. 2009;124(2):597-636. doi: 10.1162/qjec.2009.124.2.597.